- +1
CVPR 提前看:视觉常识的最新研究进展
机器之心
机器之心分析师网络
作者:仵冀颖
编辑:Joni Zhong
2020 年 CVPR 将于 6 月 13 日至 19 日在西雅图举行。今年的 CVPR 有 6656 篇有效投稿,最终录用的文章为 1470 篇,接收率为 22%。作为计算机视觉三大顶会之一,CVPR 今年的论文方向依然为目标检测、目标跟踪、图像分割、人脸识别、姿态估计等等。CVPR 是老牌的视觉、图像和模式识别等研究方向的顶会,本篇提前看中,让我们在人工智能、深度学习热潮的冲击下,一起关注一下视觉常识的最新研究进展。
具体的,我们关注下面四篇文章:
1、What it Thinks is Important is Important: Robustness Transfers through Input Gradients
2、ClusterFit: Improving Generalization of Visual Representations
3、Learning Representations by Predicting Bags of Visual Words
4、AdderNet: Do We Really Need Multiplications in Deep Learning?
1、What it Thinks is Important is Important: Robustness Transfers through Input Gradients

这篇文章关注的是模型面对对抗样本时的鲁棒性的问题。在源任务和目标任务使用模型架构相同的情况,对扰动具有鲁棒性的权重在不同任务间也具有鲁棒性。本文作者选择了输入梯度(input gradient)作为不同任务间迁移的媒介,从而实现任务不可知和体系结构不可知的鲁棒性迁移,称为「输入梯度对抗匹配(input gradient adversarial matching (IGAM))」。之所以选择输入梯度,是因为鲁棒的对抗训练(Adversarial Training, AT)模型得到明显的输入梯度,而非鲁棒模型则给出有噪声的输入梯度,如图 1。每个像素的输入梯度定义了微小的变化如何影响模型的输出,并且可以粗略估计出每个像素对于预测的重要性。
IGAM 的核心思想是:训练一个具有对抗性目标的学生模型(student model)以愚弄鉴别器,使得鉴别器将学生模型的输入梯度视为来自一个鲁棒的教师模型(teacher model)的输入梯度。为了在不同的任务之间迁移,教师模型的逻辑层首先对目标任务进行简单微调,随后,在极大极小博弈中,冻结教师模型的权重,使用单独的鉴别器训练学生模型,以便学生模型和教师模型的输入梯度具有语义相似性。IGAM 的训练包括两个阶段:1)在目标任务上微调鲁棒的教师模型;2)在学生模型训练过程中,对抗正则化输入梯度。

首先,根据目标任务微调教师模型 f_t 的权重。将模型权重参数化为,微调阶段使用交叉熵损失训练模型:
我们使用微调的结果替换模型中的最终逻辑层,除逻辑层外冻结教师模型 f_t 的所有权重。将逻辑层前的所有被冻结权重表示为.^+,替换后新的逻辑层表示为_logit,得到教师模型的微调目标函数为:
在对目标任务的逻辑层进行微调之后,教师模型的所有参数()都固定不变。
其次,下一步我们在学生模型的训练过程中进行输入梯度匹配:在目标任务数据集 D_target 上表征学生模型 f_s 的分类交叉熵损失为:
通过梯度反向传播,得到学生模型 f_s 的输入梯度为:

参考 GAN(包含生成器和鉴别器模型的框架)的思想,为了使学生模型的输入梯度与教师模型的输入梯度相似,定义对抗正则化损失函数如下:
同时考虑在目标任务数据集 D_target 上表征学生模型 f_s 的分类交叉熵损失函数 L_θ,xent,可以通过快速梯度下降(SGD)来优化,以近似得到如下的最佳参数:
鉴别器通过最大化对抗损失项来学习正确地区分输入梯度。将 f_disc 参数化表示为φ,同样使用 SGD 训练鉴别器:


IGAM 的完整训练过程如图 2:

以及,代码如下:

随后,可以计算教师模型的交叉熵损失如下:
由于仿射函数是连续可微的,可以通过反推得到输入梯度:
图 3 给出了令图像与教师模型输入维度的匹配转换的三个示例,分别为图像缩放、图像切割和图像填充。

实验分析
本文在由 MNIST、CIFAR-10、CIFAR-100 和 Tiny-ImageNet 组成的源-目标数据对上完成了 IGAM 实验。图 4 给出了不同数据集中的输入梯度,与标准的模型相比,IGAM 模型的输入梯度噪声较少。表 1、表 2 以及图 5 分别给出了不同数据库中的实验结果,这些结果表明 IGAM 可以在不同的任务之间,甚至在不同的模型结构之间传递鲁棒性。

表 1. 迁移无噪和对抗性 CIFAR-10 测试样本的准确度



小结
这篇文章讨论的是在图像处理的源任务和目标任务的模型架构相同的情况下,寻找在不同任务间具有鲁棒性的视觉相关的指标。本文作者使用的是输入梯度,并通过大量实验验证了其有效性。类似的,下一步研究可以探讨其它衡量输入梯度语义的指标,以及探讨引入其它指标或特征来实现对抗鲁棒性。
2、ClusterFit: Improving Generalization of Visual Representations

通过引入自由标注,弱自监督预训练方法具有良好的适应性。但是,弱自监督预训练方法需要预先逼近一个代理目标函数,以及,假定这个代理目标函数与随后的转移主任务一致,通过优化该代理目标函数就能够生成合适的预先训练的视觉表示。这一假设在充分监督的预训练(fully-supervised pre-training)中基本能够保证成立,但是对于弱自监督学习来说,这很难保证。这篇文章探讨的问题是「有没有一种方法可以解决弱自监督的预训练阶段对代理目标函数过度拟合问题?」作者的思路是:通过对代理目标学习到的特征空间进行平滑处理(smooth)来解决这一问题。本文提出一种简单的框架 ClusterFit (CF),该框架与经典的弱自监督预训练(迁移学习)之间的关系见图 1。一个经典的迁移学习框架包括两个阶段:预训练+迁移学习(即图 1 的上半部分),而 ClusterFit 相当于在这些阶段之间增加了一个步骤,即图 1 下半部分虚线引出的内容。在图 1 中,D_cf 表示 CF 框架引入的数据库,D_pre 是经典预训练数据库,D_tar 是测试目标数据库,N_pre 表示经典预训练网络,N_cf 表示 CF 框架引入的网络。

CF 框架介绍
CF 主要包括两步骤的工作,第一步,Cluster,给定一个使用代理目标函数和新数据集进行训练的网络,利用学习到的特征空间对该数据集进行聚类。第二步,Fit,使用聚类作为伪标签在这个新数据集上从头开始训练一个新网络,见图 2。

首先得到一个在数据库 Dpre 和标签 Lpre 中预训练的神经网络 Npre。使用 Npre 的预处理层从另一个数据库 Dcf 的数据中提取特征。接下来,使用 k-means 将这些特性聚集到 K 组中,并给这些聚类分配新分类「标签」(Lcf)。最后,基于 Dcf 利用交叉熵损失函数得到另一个网络 Ncf。
作者讨论了在受控设置下从「代理目标函数」训练学习到的特征的泛化程度。作者设置了这样一个实验场景:在 ImageNet-1K 数据库中,人为添加合成的标签噪声,目的是使得代理目标函数的预训练与下游的训练任务尽量不同。图 3 给出了不同的标签噪声 p 取值的 N_pre(即 CF 之前)和 N_cf(即 CF 之后)的迁移学习性能。在训练前存在大量的标签噪声的情况下,CF 仍然能够学习到可迁移的有效特性,对于更细粒度的目标任务,如 ImageNet-9K,CF 甚至可以改进有监督的 ResNet-50 模型(p=0)

实验分析
在 11 个公开的、具有挑战性的图像和视频基准数据集上,ClusterFit 显示出显著的性能提升,具体见表 1。ClusterFit(CF)适用于各种不同的预训练方法、模式和结构。
表 1. 实验结果汇总



小结
CF 是一个可伸缩的、通用的框架,对模型架构、数据模式和监督学习的形式没有任何限制。其中,聚类(Clustering)的处理可以看作是一种有效捕获特征空间中的视觉不变性的有损压缩方案。在此基础上,预测聚类的标签使「重新学习」的网络能够学习到对原始预训练目标不太敏感的特性,从而使这些特征更易于「迁移」。作者提出了几个下一步考虑的研究方向,包括:引入域知识、结合不同类型的预训练模型完成多任务学习、在聚类过程中引入证据积累(evidence accumulation)方法等。
3、Learning Representations by Predicting Bags of Visual Words

自监督表征学习使用图像中的可用信息(例如,预测两个图像块的相对位置)定义的无标注预文本(unlabeled pretext)训练卷积神经网络(convnet),通过这样一个基于预文本的预训练,使得 convnet 能够学习到对一些视觉任务有用的表示,例如图像分类或对象检测等任务所需的表示。
一个值得探讨的问题是,究竟哪种自监督是有效的?
类似的,在自然语言处理(NLP)中,自监督方法在学习语言表示方面获得了巨大的成功,如 BERT 预测句子中的缺失单词等。NLP 与计算机视觉的不同之处在于:(1)与图像像素相比,文字能够表征更多的高级语义概念,(2)文字是在离散空间中定义的,而图像是在连续空间中定义的,这就导致对图像像素的小扰动虽然不会改变图像描绘的内容,但是却会显著的影响图像重建任务的效果。
尽管二者之间存在很大的不同,本文作者尝试借鉴 NLP 的思想,通过对离散视觉概念进行密集描述的方法,在图像处理任务中构建离散目标函数。首先采用一种自监督方法(如旋转预测法)训练一个初始 convnet,学习捕获中图像特征的比较抽象的特征表示。其次,使用基于 k-均值的词汇库对基于 convnet 的特征映射进行密集量化,从而得到基于离散编码(即 k-均值聚类分配)的空间密集图像描述,也就是所谓视觉单词(visual words)。经过这次离散化的图像处理后,使我们借鉴 NLP 的自监督学习变为可能,例如,可以很好地训练一个类似于 BERT 的体系结构,该体系结构作为图像中的图像块的一个子集输入,预测缺失图像块的视觉单词。本文作者从计算机视觉中所谓的词袋(Bag-of-Words,BoW)模型中获得灵感,提出将其作为一个自监督的任务训练一个 convnet 来预测图像视觉单词的直方图(也称为 BoW 表示)。完整的基于视觉词袋预测的自监督表示学习流程见图 1。

给定一个训练图像 x,第一步,使用预先训练的 convnet 创建一个基于空间密集视觉词的描述 q(x)。利用 k-均值算法将 K 个聚类应用于从数据集中提取的一组特征图,通过优化以下目标,学习视觉词汇的嵌入特征:

第二步,创建图像 x 的离散表示 q(x) 的 BoW 表示:y(x)。可以采用两种表示形式:

第三步,基于提取的 BoW 表示,执行自监督任务:给定图像 x,使用扰动算子 g(·) 生成扰动图像 x˜=g(x),然后训练模型基于扰动图像 x˜「预测/重建」原始图像 x 的 BoW 表示。本文使用的扰动算子 g(·):包括(1)颜色抖动(即图像的亮度、对比度、饱和度和色调的随机变化);(2)以概率 p 将图像转换为灰度;(3)随机图像裁剪;(4)比例或纵横比失真;(5)水平翻转。
定义一个预测层Ω(·),该预测层以Φ(x˜)作为输入,输出 BoW 中的 K 个视觉词的 K 维 softmax 分布。该预测层通过 liner-plus-softmax 层实现:
其中,W = [w_1,· · · ,w_K] 是线性层的 K 个 c 维权重向量(每个视觉词一个)。为了学习 convnet 模型,最小化预测的 softmax 分布Ω(Φ(x˜))和 BoW 分布 y(x)之间的期望交叉熵损失:
其中,loss(α, β) 为交叉熵损失。
训练前随机初始化Φ(·),之后,在自监督学习过程中每次使用先前训练的模型Φˆ(·)生成 BoW 表示。作者表示,第一次迭代后得到的模型已经具有较好的效果,因此,一般只需要执行一至两次迭代就可以得到最终结果。
实验分析
本文在 CIFAR-100、Mini-ImageNet、ImageNet、Places205、VOC07 分类和 V0C07+12 检测数据库中上评估了所提出的方法(BoWNet)。
表 1. CIFAR-100 线性分类及少样本测试结果,其中,Φˆ(·)采用 WRN-28-10 架构实现


表 3. ResNet-50 线性支持向量机的 VOC07 图像分类结果

表 4. ImageNet 和 Places205 中线性分类准确度(使用 ResNet-50 结构)

表 5. V0C07+12 的目标检测任务结果(使用快速 R-CNN 微调结构)

小结
本文提出了一种新的表示学习方法 BoWNet,该方法以视觉词汇的空间密集描述为目标进行自监督训练。由本文的实验和分析可知,BoWNet 是在无标签监督的情况下学习的特征上训练的,但它获得了很好的效果,甚至优于了初始模型。这一发现以及特征空间的离散化处理(变成视觉词汇)为后续的研究提供了新的思路。
4、AdderNet: Do We Really Need Multiplications in Deep Learning?

https://arxiv.org/pdf/1912.13200
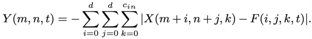
加法、减法、乘法和除法是数学中最基本的四种运算。众所周知,与加法相比,乘法计算复杂度高、计算速度慢。在深度神经网络中,度量输入特征与卷积滤波器的相似性是通过计算大量的浮点数相乘来实现的。在这篇文章中,作者提出了一种加法器网络(AdderNet),在放弃卷积运算的同时最大限度地利用加法,即,给定一系列小模板作为「神经网络中的滤波器」,使用 L1-norm 距离计算输入信号和模板之间的差异。图 1 中对比了经典 CNN 与本文提出的 AdderNet 提取特征的可视化展示。CNN 是通过角度来区分不同类别的特征,而使用 L1-norm 距离的 AdderNet 则是通过向不同类别的类中心聚集来区分别不同类别的特征。由于减法可以通过其补码通过加法实现,因此 L1-norm 距离可以是一种硬件友好的仅具有加法的度量,作者认为,它可以成为构造神经网络的卷积的有效替代方法。

模型介绍
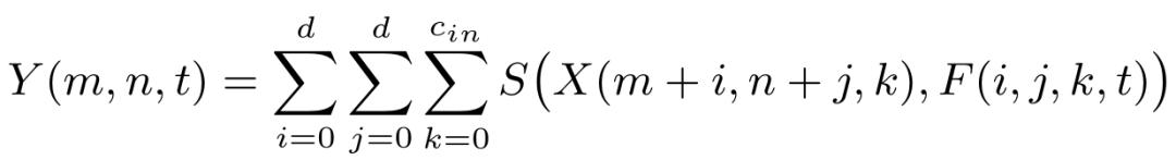
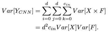
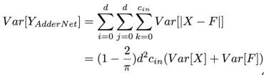
给定一个深度神经网络的中间层,考虑一个滤波器 F,其中核大小为 d,输入通道为 c_in,输出通道为 c_out。输入特征定义为 X,令 H 和 W 分别为特征的高度和宽度,输出特征 Y 表示滤波器和输入特征之间的相似性,得到公式:


模型训练
神经网络利用 BP 反向传播计算滤波器的梯度,利用随机梯度下降更新参数。在经典 CNN 中,输出特性 Y 相对于滤波器 F 的偏导数计算为:
其中,i∈[m,m+d],j∈[n,n+d]。在 AdderNet 中,输出特性 Y 相对于滤波器 F 的偏导数计算为:
其中 sgn(·)表示符号函数,梯度值只能取 1、0 或-1。然而,signSGD 几乎不接受最陡下降的方向,使用 signSGD 对大量参数的神经网络进行优化是不合适的。本文使用下式优化:
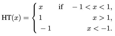
除了滤波器 F 的梯度外,输入特性 X 的梯度对于参数的更新也很重要。因此,本文也使用上式计算 X 的梯度。为了防止计算 X 梯度时出现梯度爆炸的问题,将 X 的梯度限制在 [-1,1] 区间中。输出特性 Y 相对于输入特性 X 的偏导数计算为:
其中,HT(·)表示 HardTanh 函数:

经典 CNN 中,假设权值和输入特征是独立的,并且在正态分布下分布一致,则输出方差可以粗略估计为:


其中,γ为整个神经网络的全局学习率,∆L(F_l) 是滤波器的梯度,α_l 为相应的局部学习率,具体的:

通过自适应学习速率调整,可以用几乎相同的步骤更新不同层的加法器滤波器。算法 1 给出 AdderNet 的训练过程。

AdderNet 在大规模神经网络和数据集上取得了非常好的表现,包括 MNIST,CIFAR,ImageNet。在 MNIST 中的分类结果如表 1。与 CNNs 相比,AdderNet 在没有进行乘法计算的前提下,获得了几乎相同的结果。
表 1. CIFAR-10 和 CIFAR-100 数据集上的分类结果



图 2 给出的是 MNIST 数据集上的可视化效果。尽管 AdderNet 和 CNN 使用不同的距离度量,但是 AdderNet 的滤波器仍然能够提取与卷积滤波器所提取的相似的特征。可视化实验进一步证明,AdderNet 能有效地从输入图像和特征中提取有用信息。
小结
本文探讨的是在深度神经网络中使用加法计算替代乘法计算的可能性,给出的实验结果证明了 AdderNet 能在不使用乘法计算的前提下,获得与经典 CNN 相当的分类效果,此外所提取特征的可视化也显示出 AdderNet 所提取的特征与经典 CNN 类似。不过,在这篇文章中,作者并没有给出关于计算速率、时长、消耗的定量分析结果。作者提出,下一步的研究计划是分析 AdderNet 的量化结果,以实现更高的速度和更低的能量消耗。此外,将探讨 AdderNet 的通用性,将其应用于检测和分割任务中。
作者介绍:仵冀颖,工学博士,毕业于北京交通大学,曾分别于香港中文大学和香港科技大学担任助理研究员和研究助理,现从事电子政务领域信息化新技术研究工作。主要研究方向为模式识别、计算机视觉,爱好科研,希望能保持学习、不断进步。
关于机器之心全球分析师网络 Synced Global Analyst Network
机器之心全球分析师网络是由机器之心发起的全球性人工智能专业知识共享网络。在过去的四年里,已有数百名来自全球各地的 AI 领域专业学生学者、工程专家、业务专家,利用自己的学业工作之余的闲暇时间,通过线上分享、专栏解读、知识库构建、报告发布、评测及项目咨询等形式与全球 AI 社区共享自己的研究思路、工程经验及行业洞察等专业知识,并从中获得了自身的能力成长、经验积累及职业发展。
感兴趣加入机器之心全球分析师网络?点击阅读原文,提交申请。阅读原文
原标题:《CVPR 提前看:视觉常识的最新研究进展》
本文为澎湃号作者或机构在澎湃新闻上传并发布,仅代表该作者或机构观点,不代表澎湃新闻的观点或立场,澎湃新闻仅提供信息发布平台。申请澎湃号请用电脑访问http://renzheng.thepaper.cn。





- 报料热线: 021-962866
- 报料邮箱: news@thepaper.cn
互联网新闻信息服务许可证:31120170006
增值电信业务经营许可证:沪B2-2017116
© 2014-2026 上海东方报业有限公司




