- +1
全球3500万人患药物滥用障碍,阿片类药物最具危害
原创 Milly MedSci梅斯
众所周知,阿片类药物(Opioid)作为镇痛的主要类别,在缓解中度至重度疼痛疗效非常显著,尤其是对癌症造成的剧烈疼痛具有良好的效果。同时,阿片类药物在用于麻醉时可有效抑制气管插管和手术疼痛刺激引起的应激反应,维持血压、心率的稳定。可以说,阿片类药物在麻醉和疼痛治疗中无可替代。
虽然,阿片类药物能缓解疼痛,但长期使用与诸多不良反应相关,包括免疫抑制、自我奖惩机制失调和神经激素缺陷等。大规模观察性研究发现,阿片类药物的使用与重度抑郁症(MDD)和焦虑/压力相关障碍(ASRD)高度相关,而精神障碍患者也更有可能长期使用阿片类药物。
近日,发表在JAMA Psychiatry的一项研究显示,处方阿片类药物和其他非阿片类镇痛药物与重度抑郁症(MDD)、焦虑/压力相关障碍(ASRD)之间存在密切的相关性。
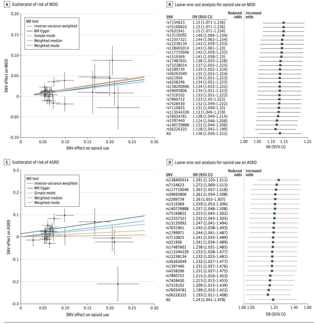
Rosoff, D. B., Smith, G. D., & Lohoff, F. W. (2020). Prescription Opioid Use and Risk for Major Depressive Disorder and Anxiety and Stress-Related Disorders. JAMA Psychiatry. doi:10.1001/jamapsychiatry.2020.3554研究者使用全基因组关联研究(GWAS)的汇总统计数据进行孟德尔随机化,以评估处方阿片类和非阿片类镇痛药(包括非甾体抗炎药(NSAIDs)和类似扑热息痛的衍生物)与MDD和ASRD的潜在关联。数据分析于2020年2月20日至2020年5月4日。
在这项高达70多万人群样本中,结果显示处方阿片类药物使用增加的遗传倾向与重度抑郁症和焦虑/压力相关障碍风险的增加相关。使用多变量MR,在考虑了其他非阿片类镇痛药物后,这些阿片类药物的使用估计值保持不变。而且值得关注的是重度抑郁症是处方阿片类药物使用增加的一个潜在的因果风险因素。
处方阿片类药物和非阿片类止痛药使用对MDD(A和B)和ASRD(C和D)风险的结果.doi:10.1001/jamapsychiatry.2020.3554阿片类药物通过存在于中枢神经系统和消化系统的阿片类受体起作用。已知的主要阿片类受体有μ阿片类受体,κ阿片类受体和δ阿片类受体。其中,μ阿片类受体又可分为μ1阿片类受体,μ2阿片类受体和新发现的μ3阿片类受体。阿片类药物包括海洛因、吗啡、可待因、芬太尼、美沙酮、曲马多和其它类似物质。
维基百科.https://www.wiki-wiki.top/wiki/Wikipedia近年来,全球国阿片类药物过量的现象有所增加。阿片类药物摄入后可引起欣快感,这是非医疗使用阿片类药物的主要原因之一。联合国毒品与犯罪办公室当天发布《2020年世界毒品问题报告》。报告显示,全球3500万人患有药物滥用障碍,仅1/7的人获得治疗。
全球阿片类药物年流行率情况.https://dataunodc.un.org/zh/node/1679
1998-2018年全球阿片类药物生产情况.https://dataunodc.un.org/zh/node/1679据美国疾病预防控制中心(CDC)统计,在过去20年里,美国阿片类药物处方的使用增加了大约5倍,与阿片类药物相关的死亡也正在迅速增加,2013年至2017年,美国702000例药物过量死亡中约68%涉及阿片类药物。而在苏格兰,阿片类药物滥用情况加剧。
1999-2018年美国阿片类药物过量死亡情况..https://dataunodc.un.org/zh/node/1679同样,我国阿片类药物的使用一度呈现较快的增长趋势,2006年到2016年消耗频度增长了3倍以上,从9.7亿DDDs增长到2016年的37.03亿DDDs。显然,“阿片类药物大流行”已成为全球性的公共卫生危机。
我国阿片类镇痛药物临床使用现状分析.部分原因是阿片类药物在慢性疼痛管理中的使用增加,以及非法药物市场上出现的强效阿片类药物的使用增加,其中最强药效的合成阿片类药物当属芬太尼,其效力大约是吗啡的50-100倍。各种剂型的芬太尼被列入了世卫组织《基本药物示范清单》。
据数据显示,近30%的慢性疼痛患者存在阿片类药物滥用,其中约12%的人群发展为阿片类药物使用障碍(OUD)。
然而,长期使用阿片类药物对于慢性疼痛及功能改善证据仍存在不足。临床指南建议在获益大于潜在风险的情况下使用阿片类药物是合理的。先前,发表在EClinicalMedicine杂志的一项研究显示,在英国,经常使用阿片类药物很普遍,特别是在社会经济地位低下的人群中。大多数使用者仍报告慢性疼痛,总体健康状况不佳,并且过早死亡的风险增加,尽管尚未确定这种关联具有因果关系。
Macfarlane, G. J., Beasley, M., Jones, G. T., & Stannard, C. (2020). The epidemiology of regular opioid use and its association with mortality: Prospective cohort study of 466 486 UK biobank participants. EClinicalMedicine, 21, 100321. doi:10.1016/j.eclinm.2020.100321在这项研究中,研究人员分析了来自英国生物银行(UK Biobank)466486名参与者,54%为女性,年龄在40-69岁,无癌症病史。结果显示,5.5%的人经常使用阿片类药物。使用阿片类药物的用量随着龄的增加而增加,在女性中更常见,并且使用这种药物的人中有87%报告有慢性疼痛。另外,家庭收入较低的人群阿片类药物使用率最高,他们在16岁就辍学并居住在贫困程度较高的地区。
EClinicalMedicine.doi:10.1016/j.eclinm.2020.100321
EClinicalMedicine.doi:10.1016/j.eclinm.2020.100321研究人员进一步发现,在因健康状况不佳而无法工作的15032名参与者中,每3名就有1名经常服用阿片类药物。经常服用者失眠率高达88.7%,最近发生过重大生活事件的几率为57.3%,而且与不服用者相比,经常服用阿片类药物者健康状况较差。
服用弱阿片类药物(占参与者的4.2%)或强阿片类药物(1.4%)者更容易在随访期间死亡。在对人口统计、社会经济、健康和生活方式因素进行调整后,死亡风险仍然会增加。同样,在调整疼痛状态后,该研究同样证明了抑郁,焦虑和失眠被认为是阿片类药物使用的不良反应。
面对滥用阿片类药物治疗慢性疼痛的种种问题。国内外制定多项实用指南,并创建了临床工具,帮助初级保健提供者帮助患者更有效、更安全地管理疼痛,同时在必要时降低处方阿片类药物的潜在风险。
美国疾病控制与预防中心(CDC)指出,当开始使用阿片类药物时,临床医生应开出最低有效剂量。临床医生应避免将剂量增加到≥90 MME/天,或谨慎地为滴定剂量至≥90 MME/天的决定辩护。不支持突然减少或突然停止阿片类药物。
这些做法可能导致严重的阿片类药物戒断症状,包括疼痛和心理压力,一些患者可能会寻求其他阿片类药物来源。同时,该指南强烈建议为阿片类药物使用障碍患者提供药物辅助治疗,而且密切监测和减轻继续服用高剂量阿片类药物的患者的过量风险。
当然,阿片类药物对机体的危害不仅仅对精神心理产生影响,还能加重肠道疾病,以及对后代畸形产生重大影响。近日,发表在BMJ杂志的一项针对近300万人群数据显示,在妊娠早期使用处方阿片类药物会增加后代腭裂和口腔裂风险,而在心血管畸形、室间隔缺损、房间隔缺损/卵圆孔未闭、神经管缺损和马蹄内翻足风险也有增加,但并没有统计学意义。
进行混杂因素校正后发现,与整体孕妇人群相比,使用阿片类药物孕妇的后代腭裂和口腔裂的相对风险最高,分别为62%与21%。进一步进行分析显示,在心血管畸形、室间隔缺损、房间隔缺损/卵圆孔未闭、神经管缺损和马蹄内翻足风险虽然分别增加9%、7%、4%、5%与6%,但并没有统计学意义。
Doi: 10.1136/bmj.n102研究人员指出,阿片类药物的致畸作用在生物学上主要与内源性阿片类药物相似,后者主要参与生长发育等各个环节。因此,大家普遍认为在怀孕的关键时期使用外源性阿片可能会扰乱正常的发育过程,导致先天性畸形。
综上,阿片类药物具有成瘾性,但在医疗中不可或缺。阿片类药物使用的理想状态是找到一个平衡点,保证此类物质不被滥用。与美国发达国家相比,我国对麻醉镇痛药物管制力度较大,但也不能放松对阿片类药物使用的警惕。
来源:梅斯医学综合报道
授权转载、投稿及爆料请联络梅斯医学管理员
本文为澎湃号作者或机构在澎湃新闻上传并发布,仅代表该作者或机构观点,不代表澎湃新闻的观点或立场,澎湃新闻仅提供信息发布平台。申请澎湃号请用电脑访问http://renzheng.thepaper.cn。





- 报料热线: 021-962866
- 报料邮箱: news@thepaper.cn
互联网新闻信息服务许可证:31120170006
增值电信业务经营许可证:沪B2-2017116
© 2014-2026 上海东方报业有限公司




