- +1
“毒气”让人骨质疏松,酸奶让人远离糖尿病 | 一周资讯
原创 鲸鱼 医学界内分泌频道
*仅供医学专业人士阅读参考
一周资讯第223期,想要降低糖尿病前期风险,那就赶紧打开冰箱喝点儿酸奶!本周提要
这口气有毒!空气污染严重让中国人的骨头变疏松!
喝点儿酸奶!高脂发酵乳制品降低糖尿病前期风险!
全国大调查!中国年轻糖尿病患者蛋白尿风险更高!
1
这口气有毒!
空气污染严重让中国人的骨头变疏松!
现代人骨骼强度的持续降低和随之而来的骨质疏松症将大大增加骨折的发生风险,严重时还会增加残疾和过早死亡的风险。而在高污染的中低收入国家,空气污染可能与骨骼强度降低和骨质疏松风险增加有关。最近发表于J Clin Endocrinol Metab的研究就分析了中国人长期暴露于空气污染与骨强度和骨质疏松之间的关系。
图 1.1 研究发表于J Clin Endocrinol Metab这项由四川大学华西公共卫生学院/华西第四医院领衔的研究使用了来自中国多民族队列(CMEC)的数据,共纳入中国西南地区四川、重庆、贵州和云南的66598名参与者,评估了空气污染与骨骼强度之间的关联。研究估算了不同地区每天的PM1、PM2.5、PM10和NO2的浓度,以3年的结果作为参与者长期空气污染暴露水平。参与者的骨强度则通过在跟骨测量的定量超声指数(QUI)来确定,QUI值越高提示骨骼强度越好。这一手段与金标准双能 X 射线吸收测定法相比,无辐射、快速、经济,更适合大规模流行病学研究。
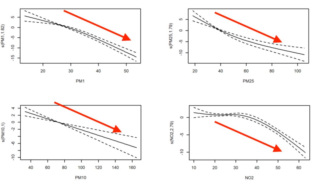
图 1.2 研究估算了四个省级行政区的空气污染水平结果发现,3年平均的PM1、PM2.5、PM10和NO2水平每增加10 μg/m3,相应的QUI指数就会下降5.38个单位(95%CI -6.17~-4.60)、1.89个单位(95%CI -2.33~-1.44)、0.77个单位(95%CI -1.08~-0.47)和2.02个单位(95%CI -2.32~-1.71),提示骨骼强度降低。
图 1.3 空气污染越严重,骨骼强度越低同时,研究还发现骨骼强度较高的人群可能更容易受到空气污染的影响。比如,QUI>88.36个单位,骨骼最强健的10%的人群中,3年的PM1暴露水平每增加10 μg/m3,相应的QUI降幅就达到5.21个单位(95%CI -5.90~-4.29);而在QUI<53.71个单位,骨骼最脆弱的10%的人群中,3年的PM1暴露水平每增加10 μgm3,相应的QUI降幅就仅为0.92个单位(95%CI -1.31~-0.52)。
图 1.4 原来的骨骼越强健,骨强度因为空气污染下降越明显此外,研究发现PM1、PM2.5、NO2对骨强度的影响在加入另一种污染物的影响后基本一致;以2年或4年的暴露水平来分析也得到了相似的结果。年龄、性别、是否吸烟、居住于农村或城市对于分析的结果有一定的影响,城市居民、女性、从不吸烟者和 65 岁以下人群对长期空气污染更为敏感。不过,空气污染越严重,骨骼强度往往更低。
图 1.5 空气污染越严重,骨骼强度往往越低研究人员指出,中国西南地区成年人长期暴露于PM1、PM2.5、PM10和NO2的污染之中,骨骼强度会明显下降。城乡差异之间的可能是由于城乡空气污染的来源和构成不同造成。大多数女性不吸烟,而女性更容易出现骨质疏松的困扰,因此女性和从不吸烟者对于空气污染会更敏感。老年人的骨质疏松主要是“老了”,因此受到空气污染的影响会比较弱。同时,分析也显示本身骨骼强度较高的人群中,空气污染暴露对骨骼的不利影响更大。
REF: Wu J, Guo B, Guan H, et al. The Association between Long-term Exposure to Ambient Air Pollution and Bone Strength in China. J Clin Endocrinol Metab. 2021 Jul 15:dgab462. doi: 10.1210/clinem/dgab462.
2
喝点儿酸奶!
高脂发酵乳制品降低糖尿病前期风险!
有研究显示,目前全世界糖尿病前期患者数量正在急速上升,到2045年可能会达到5.48亿!但糖尿病前期患者有希望通过改变生活方式重新回到正常血糖,而饮食是影响糖尿病前期风险的重要因素,最近发表在Eur J Nutr上的一项研究就分析了各种乳制品对于糖尿病前期风险的影响。
图 2.1 研究发表于Eur J Nutr这项来自荷兰蒂尔堡大学的研究使用了荷兰基于人群的Hoorn前瞻性研究数据,涉及1989~1992年和2006~2007年招募的两批参与者。第一批参与者的年龄在50~75岁之间,第二批参与者的年龄在40~65岁之间。研究排除了开始就有糖尿病或处于糖尿病前期的参与者。
该研究最终分析了2262名参与者,参与者的平均年龄为56岁,50% 为男性。参与者通过经过验证的食物频率问卷评估基线乳制品、发酵乳制品、牛奶、酸奶、奶油和冰淇淋的摄入量,分析了乳制品摄入量于糖尿病前期之间的关系。在平均6.4年的随访期间,共有810名(35.9%)参与者患上糖尿病前期。
研究分析了各种乳制品摄入最高人群和最低人群的糖尿病前期风险,发现高脂发酵乳制品(RR 0.83, 趋势P值= 0.04)、奶酪(RR 0.86, 趋势P值= 0.04)和高脂奶酪(RR 0.79,趋势P值= 0.01)的摄入与糖尿病前期风险降低14%~21%有关。每天每多吃1份高脂奶酪,相应的糖尿病前期风险降低6%(RR 0.94, 趋势P值= 0.04)。
图 2.2 荷兰人还是挺爱吃乳制品的研究人员指出,高脂发酵乳制品、奶酪和高脂奶酪与较低的糖尿病前期风险相关,而与其他乳制品类型则不相关。尽管饱和脂肪酸和钠含量很高,但奶酪似乎与 2 型糖尿病风险呈负相关。既然高脂发酵乳制品那么好,那么我们怎么去挑出这些有利于预防糖尿病前期的乳制品呢?
研究给出了详细的乳制品分类标准,高脂发酵乳制品包括全脂酸奶、全脂水果酸奶、全脂凝乳、高脂奶酪等;奶酪则包括高/低脂奶酪,高脂奶酪包括高达奶酪、切达干酪、奶酪酱、山羊奶酪、布里干酪、羊乳酪、 芝士火锅等,低脂奶酪包括白软干酪、布里干酪、山羊奶酪等。1份乳制品相当于200mL牛奶、150mL酸奶、20g奶酪、3g奶油或100g冰淇淋——下次去超市会选了吧!
REF: Slurink IAL, den Braver NR, Rutters F, et al. Dairy product consumption and incident prediabetes in Dutch middle-aged adults: the Hoorn Studies prospective cohort. Eur J Nutr. 2021 Jul 10. doi: 10.1007/s00394-021-02626-9.
3
全国大调查!
中国年轻糖尿病患者蛋白尿风险更高!
尽管2型糖尿病被认为是一种主要影响老年人的疾病,但现在年轻人患糖尿病的数量正在逐年增加。年龄和糖尿病病程与糖尿病患者血管并发症的风险密切相关,诊断时年龄较小的中国糖尿病患者,其大血管、微血管并发症以及死亡风险均会增加。不过,目前还没有在中国分析过2型糖尿病诊断年龄对蛋白尿风险的影响,而最近发表在J Diabetes上的研究就公布了这样一项全国性调查的结果。
图 3.1 研究发表于J Diabetes这项由上海瑞金医院领衔的研究使用了中国糖尿病患者癌症风险评估(REACTION)全国多中心前瞻性队列研究的数据,纳入了来自中国大陆25个社区超过25万名40岁及以上的成年参与者,使用结构化问卷、人体测量和生化检测对参与者的心血管代谢健康状况进行了全面检查。
排除不符合要求的参与者之后,有近20.8万名参与者参与了研究匹配。研究纳入了31366名2型糖尿病患者以及相应的年龄、性别和研究地点匹配的健康对照参与者;同时还纳入了自我报告的7490名2型糖尿病患者以及年龄、性别、研究地点和糖尿病病程匹配的健康对照参与者。
图 3.2 五六十岁是诊断出糖尿病的“高峰”结果发现,尽管老年糖尿病患者的白蛋白尿的绝对患病率较高,但2型糖尿病患者与匹配对照组的白蛋白尿风险随着诊断年龄的升高而降低。对于年龄 <50、50~59、60~69 或≥70 岁诊断为糖尿病的参与者,糖尿病患者的白蛋白风险增加了81%、60%、45%和33%,自我报告的糖尿病患者分别为中增幅分别为135%、121%、90% 和 58%。
图 3.3 年轻糖尿病患者的白蛋白风险增幅更为明显研究人员认为,中国成年2型糖尿病患者白蛋白尿的相对风险随着诊断年龄的增加而降低。与匹配的对照组相比,“英年早糖”的糖尿病患者的白蛋白尿的风险升高更为显著,诊断2型糖尿病时的年龄与白蛋白尿的风险独立相关。研究发现,被诊断为2型糖尿病的年轻人代谢状态更差,因为年轻的糖尿病患者生活方式更不健康,且自我管理和药物依从性差,日常的压力比较大,情绪也更为抑郁。
虽然目前美国糖尿病协会、美国临床内分泌学家协会和美国内分泌学会的相关指南和共识已发表声明,建议对年龄<40岁的糖尿病患者开展不太积极的风险管理,但年轻时就被诊断为糖尿病的患者发生白蛋白尿等微血管并发症的风险更显著。因此可能需要对血糖和其他危险因素进行更深入的监测和控制,以预防患有糖尿病年轻患者出现微血管和大血管并发症。诊断2型糖尿病时的年龄可以作为筛查、预防和管理糖尿病的重要风险分层因素。
REF: Wu S, Zhao Z, Liu S, et al. The Association Between Age at Diagnosis of Type 2 Diabetes and Albuminuria in Chinese Adults: A Nationwide Population Study. J Diabetes. 2021 Jul 14. doi: 10.1111/1753-0407.13213.
本文首发丨医学界内分泌频道
本文作者丨鲸鱼
责任编辑丨曹前
版权声明
本文原创,转载请联系授权
-End-
本文为澎湃号作者或机构在澎湃新闻上传并发布,仅代表该作者或机构观点,不代表澎湃新闻的观点或立场,澎湃新闻仅提供信息发布平台。申请澎湃号请用电脑访问http://renzheng.thepaper.cn。





- 报料热线: 021-962866
- 报料邮箱: news@thepaper.cn
互联网新闻信息服务许可证:31120170006
增值电信业务经营许可证:沪B2-2017116
© 2014-2026 上海东方报业有限公司




