- +1
胖也要分类?人工智能+肥胖症=肥胖症的AIM分型
原创 林紫薇 上海十院内分泌代谢中心
对于胖子来说,减重是一个永恒的话题
最新的全国统计数据显示(2015-2019),根据中国标准,6岁以下儿童的超重率为6.8%、肥胖率为3.6%;6-17岁的儿童和青少年的超重率为11.1%、肥胖率为7.9%;成人(≥18岁)的超重率为34.3%、肥胖率为16.4%。这是首次中国成人超重和肥胖的患病率超过50%,预计到2030年,中国成人超重及肥胖患病率将达到61%。
肥胖患者的减肥治疗存在个体异质性,因此更精细的肥胖亚型分类有助于早期判断代谢紊乱及肥胖症并发症,以便及时的进行干预和治疗。传统的肥胖分类仅限于体重指数(BMI)和健康状态的评估,具有一定局限性。随着人工智能的不断发展及在医疗领域的深入应用,学者们发现,通过计算机技术可以区分肥胖的不同亚型,但既往研究在评估时却未参考一个重要临床因素——代谢异常。
那么,如何更准确、更全面的定义肥胖患者的精细分型?
近日,来自于上海同济大学附属第十人民医院内分泌代谢中心的曲伸、林紫薇教授及其团队通过计算机科学技术探索更精确的肥胖亚组分类——肥胖症的AIM分型(即AI辅助肥胖症的代谢分型),旨在为更好的个体化治疗提供临床依据。
建立模型
研究共纳入来自四个中心(上海十院,南京鼓楼医院,成都三院,上海东方医院)的2094例患者,分别有300例(14%)超重和1794例(86%)肥胖患者。其中,队列1为建模队列(来自上海十院),分为门诊肥胖患者的队列1A和需要住院进行减肥手术的队列1B,队列2、3、4为来自不同中心的验证队列(表1)。在基于BMI的分类中,虽然高血压、代谢综合征和高尿酸血症等几种代谢性疾病的发病率随着BMI增加而缓慢增加,但四个BMI亚组之间无显著差异。
表1. 各队列基线特征
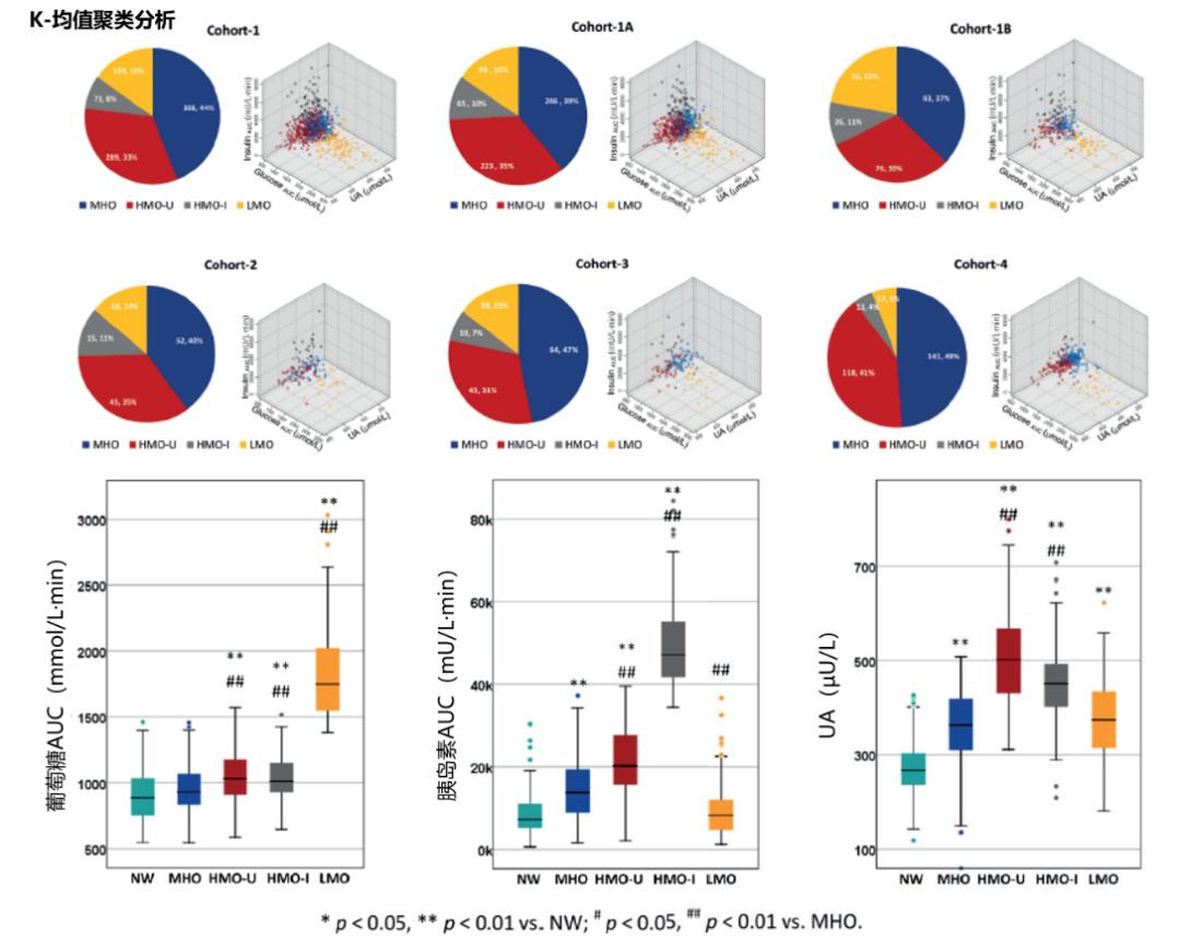
模型建立中,变量选取了代谢、激素、炎症和抗氧化,这些指标可代表肥胖并发症的潜在进展机制。并应用K-均值聚类和二阶聚类(两步聚类)法进行聚类分析(图1)。关键聚类因素为(1)OGTT葡萄糖的曲线下面积(AUC),反映能量代谢紊乱的严重程度;(2)OGTT胰岛素AUC,反映激素对身体生长需求的代偿平衡;(3)尿酸(UA),反映体内的炎症和氧化应激情况。
图1. 研究流程多维度聚类结果——四个肥胖亚型
队列1的k-均值检验聚类分析结果共产生4个亚型。(图2)
亚型1:代谢健康型肥胖(MHO),特征为血糖正常、胰岛素分泌轻微代偿和UA轻度升高;
亚型2:高代谢型肥胖-高尿酸亚型(HMO-U),即血糖轻微增加、胰岛素代偿性分泌和UA高度增加;
亚型3:高代谢型肥胖-高胰岛素亚型(HMO-I),即血糖轻微增加、胰岛素分泌过度代偿和UA增加;
亚型4:低代谢肥胖(LMO),高血糖伴胰岛素分泌失代偿。
图2. 队列1经K-均值聚类分析生成的四个集群及其在三个分类变量的比较将验证队列的患者(队列2、3、4)带入由队列1生成的模型结果显示,平均分配准确度为0.941(范围0.908-0.967)。平均Jaccard相似系数为0.882(图3)。四个独立队列之间表现出高度的一致性或再现性。
图3. 将验证队列分配到主要模型中生成的聚类不同肥胖亚型的代谢特征
及肥胖并发症
通过四个亚型的基线特征发现,HMO-I组男性患者最多,且肥胖发病年龄最低。LMO组表现为最严重的中心性肥胖,躯干脂肪沉积比例最高,就诊时肥胖持续时间最长。HMO-I患者的黑棘皮病发病率最高。
基于不同亚型的代谢特征分析显示,四个亚型中MHO患者表现出相对健康的代谢和激素平衡。HMO-I患者肝脏和外周胰岛素敏感性最差,胰岛素分泌过度代偿,从而平衡了糖脂代谢。此外,LMO患者也表现出严重胰岛素抵抗,但胰岛素分泌不足,导致葡萄糖代谢能力显著降低,血糖升高。同时LMO患者还表现出血脂异常,颈动脉斑块和内膜中层厚度(IMT)增加的发生率最高。在妇科检查中,HMO-I患者显示多囊卵巢(PCO)的发病率较高。(表2)
表2. 四个亚型与正常体重的临床变量对比
肥胖相关并发症分析结果同样显示,MHO患者表现出相对健康的代谢状态。与MHO患者相比,HMO-U和HMO-I患者发生糖脂代谢异常的风险也略有增加,但高尿酸血症和多囊卵巢综合征(PCOS)的风险显著增加。LMO患者的糖脂代谢能力最差,其发生糖尿病和代谢综合征的风险最高。
图4. 四个肥胖亚型的肥胖合并症的校正比值比(AOR)比较肥胖的AIM分类患者特征和治疗建议总结见表3。
表3. 肥胖亚型特征总结
小结总而言之,与传统的基于健康/不健康状态或BMI水平进行的肥胖分类相比,通过计算机科学技术对来自于多家医院的肥胖患者进行精确分类,可建立更多的肥胖亚型,从而可以更准确的反映代谢紊乱的复杂性和异质性,以指导更精准的预防、诊断和治疗。
本研究也是首个将计算机科学技术应用于常见临床变量以完善肥胖代谢分类的研究。
未来有望纳入更多不同种族患者,以评估其普适性。
作者介绍
林紫薇医学博士,主治医生,美国匹兹堡大学临床医学中心访问学者。“肥胖症的AIM分型”理论创立者之一。主持6项课题/人才项目,其中国家级项目2项。以第一作者/共一作者/通讯作者发表论文14篇,其中第一作者发表SCI 9篇。《内分泌健康宝典》主编。获得2020年华夏医学奖。多次在国际国内内分泌领域的学术会议上进行报告交流并获奖。“十院内分泌与代谢病科”微信公众号管理员,编辑制作内分泌相关科普文章、科普视频百余项。主要研究方向:人工智能辅助肥胖症的诊疗。
本文编辑:施万洁
上海十院内分泌代谢中心
本文为澎湃号作者或机构在澎湃新闻上传并发布,仅代表该作者或机构观点,不代表澎湃新闻的观点或立场,澎湃新闻仅提供信息发布平台。申请澎湃号请用电脑访问http://renzheng.thepaper.cn。





- 报料热线: 021-962866
- 报料邮箱: news@thepaper.cn
互联网新闻信息服务许可证:31120170006
增值电信业务经营许可证:沪B2-2017116
© 2014-2026 上海东方报业有限公司




