- +1
埃及金字塔地坑建造方法研究
李后强 李海龙 严周兴禹
摘 要:金字塔是古埃及文明的象征,吸引着世界各国的游客参观和学者研究。然而,在当时生产力相当落后的情况下,古埃及人是通过何种方式建造金字塔,特别是如何将众多巨大石块堆砌至如此高度仍是世界之谜。学界提出了辅助坡道、杠杆提升、滑轮原理、水运法、现浇混泥土等观点,但至今没有统一定论。本文以著名的胡夫金字塔为例,基于力学原理和当时生产力水平,提出了地坑建造的观点。主要步骤为挖坑、向坑内运输石块、逐层修建、逐层填土直至塔顶,核心思想是利用石材自身重力来实现石块运输,把势能转变为动能,从而避免向上提升巨型石块大量做功。地坑建造观点符合入土为安的墓穴修建文化习俗,也符合古埃及当时生产力水平。
关键词:埃及金字塔;建造方法;地坑;力学原理;重力势能
李后强: 四川省社会科学院 教授、博士生导师
李海龙: 四川省社会科学院智库工作处,成都,610071,E-mail: 307910967@qq.com,13551865227
严周兴禹: 南肯特学校(美国)South Kent School
一、引言
金字塔是古埃及文明的杰出代表,也是埃及的国家标识和象征。埃及金字塔呈方锥体形状,从四面看都是等腰三角形,颇似汉语“金”字故被称为“金字塔”。迄今为止,埃及境内已经发现了约110座金字塔。这些金字塔高低不同、大小不一,其中,胡夫金字塔规模最大、最宏伟、也最神秘,被誉为“世界七大奇迹”之一,吸引着世界各地的人们游览参观。胡夫金字塔原高146.59米,相当于40多层大厦的高度,是埃菲尔铁塔建成之前世界上最高的建筑物,由230多万块平均重量为2.5吨的石块砌成,最重的石块超过50吨(金德华,1978)。
学界对金字塔的修建目的、建造方法、建造者等兴趣浓厚,众多考古学家纷纷前往实地考察、挖掘、研究,以致于一门新兴学科——“金字塔学”由此而诞生。虽然学者们做了大量研究工作和学术贡献,但关于埃及金字塔仍有很多谜团没有解开,建筑方法就是其一。在当时的生产力条件(工具、绳索、机械等)下古埃及人是如何将这么多巨型石块运输到100多米的高度,并且构筑成严丝合缝的紧密结构4000多年屹立不倒?学者们对此各持己见,但至今没有形成统一定论。有提出通过修建辅助斜坡来运输石块的,有提出利用杠杆将石块逐层往上撬起的(Lehner Mark,1997),有提出石块利用定滑轮原理进行提升的(Akio Kato,2020),还有提出利用风筝提升技术的(雨辰,2004)。此外,还有学者认为修建金字塔的石块不是天然的,而是通过石灰岩碎石(limestone rubble)和水泥(cement)现场浇注而成(Davidovit Joseph,1988)。更有甚者提出金字塔由外星人、失踪了的大西洲神岛活下来的人、北非阿特拉斯山中麓一个柏伯尔部落等建造的神学观点(吴德成,1986)。
本文在总结分析已有观点的基础上,结合古埃及当时的生产力条件和社会形态,基于力学原理提出了地下挖坑建造金字塔的观点,并以胡夫金字塔为例给出了建造方法和步骤。主要思路是将传统方法中的向上提举石块变为向下输送石料,将重力势能转化为石块向下滑行的动能,大大节约能量且符合当时的生产力条件和墓穴安埋于地下的文化习俗,为揭开金字塔建造之谜提供了新思路和新视角。
二、对传统建造方法和观点的评述
本文只针对物质世界存在的建造方法进行探索,外星人、上帝、大西洲神岛活下来的居民、北非柏伯尔部落修建等神话、神学观点不在科学研究范围内,因此不予讨论。由于石材的来源和运输方法已经有了比较一致的结论,本文不再研究。
(一)辅助坡道理论
辅助坡道理论在学术界影响较大,是指在建造金字塔的过程中,同时在金字塔边上修建一条长土坡道,建筑工人通过这条坡道将石块逐层逐级运送至合适高度。此理论貌似有理,实际纯属空中楼阁。学者们对此观点提出了许多质疑,主要集中在两方面:一是修建辅助坡道本身是一件浩大的工程。Smith指出,通往胡夫金字塔顶部的辅助坡道将至少超过半英里长,并且需要超过金字塔本身三倍的材料(Smith,2004)。Lepre提出1000英尺的辅助陡坡需要超过金字塔本身体积的50%(Lepre,1990)。二是修建辅助坡道需要大量石块或泥土等材料,然而考古过程中没有发现修建辅助坡道的建筑材料遗迹。
在此基础上,有学者对辅助坡道理论进行了修正,提出了螺旋状坡道,即沿着金字塔外侧修建一个如盘山公路一样的坡道通到塔顶。此观点仍然存在两个明显漏洞:一是螺旋状的长坡道必然要在塔顶建好后,才能修建到坡道所在位置,否则容易松动且影响后期建设;二是螺旋状坡道也需要约1600米的长度,耗材量仍然巨大,同样没有发现考古遗迹。
法国建筑学家皮埃尔·乌丹提出现在金字塔外侧地基上修建43米高的斜坡,可保证金字塔底部修建石块的运输。然后在金字塔内部距外墙10米至15米的空间内修建螺旋状坡道直至塔顶,此坡道负责43米至塔顶这部分石块的运输(彭杰明,2007)。乌丹认为这条内部斜道至今还存在于金字塔中,并估算此方法修建胡夫金字塔只需要4000工人而不是10万。然而,截至目前还没有发现任何考古学证据支持,在力学上也没有可行性。
(二)提升观点
除坡道运输外,一些学者也提出了修建金字塔可能采用的其他提升装置。Lehner认为,修建金字塔可能利用杠杆逐层将石块往上撬动(Lehner,1997),Gerard(2007)同意此观点并为减轻提升过程中的摩擦力还给出了悬臂式支撑架等装置示意图(Gerard,2007)。Akio Kato认为,金字塔的修建过程中预留了“中心井”专门用来提升石块(Akio Kato,2020)。其原理是利用定滑轮装置,绳索的两端分别系着需要提升的石块和空箩筐,不断往箩筐中放入小石块直至总重量超过绳索另一端的石块重量,石块就会被提升。他还指出正是因为要留出“中心井”来提升石块,因此国王墓室、王后墓室、大通道以及其他通道都至少远离中心轴7米以上。
莫琳·克莱门斯基于古埃及一幅天空大鸟牵引着地上物体的图画,提出金字塔的石块是利用风筝原理提升的想法。风筝提升技术的好处是不需要修建巨大的坡道并便于横向运输,然而,Gerard通过空气动力学原理进行计算,发现采用风筝提升石块是不可能的,一是木头和布料无法承受巨大石块的重量,二是提升如此巨大的石块需要很大的风力,而大风不可能随时都有;三是即便存在满足提升力的大风,古埃及建筑工人也不可能具备精确控制石块输送的能力(Gerard,2007)外,还有人提出水运法提升石块,将石块与充满气的羊皮捆绑在一起,利用水的浮力将石块提升至设定高度,但这一想法从力学上讲不具有现实性和操作性。
(三)混泥土浇筑
法国化学家Davidovit Joseph石块进行化学分析,认为修建胡夫金字塔的石块大多是由约93%的石灰岩碎石(limestone rubble)和约7%的水泥(cement)浇注而成的混凝土(Davidovit Joseph,1988)持这一观点的另一证据是在石块中发现了一根古人的长头发和从化学和显微的角度发现石料中夹有矿物质和气泡(吴德成,1986)。这一观点的核心是“化整为零”,避免了大量石块的切割、运输、提升问题,又能很好解释石块和石块之间严丝合缝的精密对接。然而,有学者对此提出了质疑,认为埃及金字塔绝不可能是混凝土浇筑的,理由有三方面:一是切割成小碎石比切割成规则的整石块所需的时间大约多出三分之一,古埃及工人完全没有必要花大量时间先粉碎、再浇筑;二是浇筑过程需要连续地安装和拆卸模具,所用时间不会明显短于运输大石块的时间;三是公元前2500年还没有出现水泥浇筑的技术(Gerard,2007)。古文物学家穆赫塔尔指出,古埃及人绝不可能弃置既有的天然石块而采用复杂工艺去制作230万块人造石,而且尼罗河东岸的图拉采石场、阿斯旺等地都已证实是金字塔石块来源的来源之处(吴德成,1986)。
三、地坑建造金字塔的方法和步骤
埃及金字塔的建造方法首先必须在力学上可行,再是要符合当时人们的认知能力和社会生产力状况。到目前为止,学界提出的关于埃及金字塔所有的建筑方法在力学上都不具有操作性,同时也超越了4500多年前埃及的生产力水平,都属于科技畅想和科幻故事。地坑建造方法主要包括挖坑、沿坑壁向下输送石块、逐层搭建石块和填土直至塔顶端,建造好的金字塔整体或绝大部分埋于地下,尼罗河多年的大洪水将金字塔周边的泥土、河沙逐渐冲刷移走,金字塔逐渐露出地面,后人发现并把它们保护下来。这一方法在力学上可行,符合当时古埃及实际情况,有助于破除神话和邪说。本文以胡夫金字塔为例给出古埃及人建造金字塔的主要方法和步骤。
(一)地下挖坑
4500多年前,古埃及人已经开始使用木铲、石铲、铜铲、青铜铲等工具,他们可利用这些工具顺利的挖土耕作。修建金字塔的沙坑呈上大下小的方形漏斗状,如图1所示。沙坑的底部形状与金字塔底部相似,为正方形,边长为a。底部面积略大于胡夫金字塔底部面积(230m×230m),挖坑深度(h)与金字塔原高146.59米基本相同,即h =146m。斜坡倾角α小于52º,确保斜坡不会自然塌落。当然,古埃及工人会在坑的四周壁面铺设由圆木、树条、莎草等编制的木梯,一方面可起到斜坡加固的作用;另一方面可作为古埃及工人上下的道路。

图1 修建胡夫金字塔的沙坑示意图
沙坑的底部必须是坚硬的石头或硬土,才能支撑金字塔巨大的重量。如果有需要或必要,还可以继续向下挖掘(或凿)地下墓室和通道,譬如胡夫金字塔。
(二)逐层修建
将准备好的石块沿着斜坡滑至沙坑的底部,工人们只需用较小的力量推动或稳住方向即可。相比向上提升石块,向下滑动石块大大节省体力。利用石块自身重力向下输送,将势能转化为动能,在力学上完全可行,在实践上可大大节省能量。石块运送至沙坑底部后,工人们采用简单的杠杆、绳索、滑轮、木棍等工具将石块运输至指定位置,按照设计逐层搭建。第二层修建完毕后,将沙或土填至第一层高度;完成第三层修建后,将沙或土填至第二层高度;如此边修建、边填土直至金字塔顶端,如图2所示。

图2 金字塔逐层修建示意图
金字塔是由下而上逐层修建的,内室和外层也是同时进行的,内部国王墓室、王后墓室、大走廊等由精磨石修建,外层石头由粗磨石修建。粗磨石可以用石头和铜器等简单工具打造完成,而精磨石必须进行精细打磨。古埃及人将石块置于水中,通过人力或畜力拉动石块与硬石板来回摩擦就能将石块磨平磨光,磨平磨光的石块可以实现无缝衔接。水磨可以减少摩檫力,节省拉力,提高磨制速度和石块的平整度,其操作示意见图3。

图3 水磨石块过程示意图
(三)金字塔显露
地坑法修建的金字塔整体或绝大部分埋在沙土里,为何现在显露在外呢?这是由于四周沙土被洪水和大风带走而导致地平线降低所致。埃及金字塔大多坐落在尼罗河边,受印度洋季风影响尼罗河连年洪水泛滥,洪水巨大的冲击力将包围在金字塔周边的沙土冲走。经过多年洪水的冲刷,金字塔逐渐显露出来,胡夫金字塔的外层石头上留下的被洪水冲刷的明显痕迹便是证据。此外,风吹沙移也加快了地平线降低和金字塔显露的速度。埃及吉萨的狮身人面巨石上的水冲痕迹也是旁证。几千年后的埃及人发现金字塔露出部分后,怀着好奇心开始人工挖掘直至金字塔全部显露出来,作为古埃及文明的标志性建筑保护传承至今。
四、支持地坑建造金字塔的相关证据
1.挖坑符合修建墓穴的文化习俗
关于埃及金字塔的修建目的众说纷纭,有的认为是为了培养古埃及年轻人的忠诚和自信(Gerard,1998),有的认为是能量接收塔,还有的认为是纪念碑、农民分割田地的标定物,但坟墓是主流的观点(罗福午,2001)。古埃及人通常采用土葬方法埋葬尸体,木乃伊制法毕竟是少数,而且也要埋于地下,因此地下挖坑修建金字塔符合修建墓穴的文化习俗,即入土为安。
2.挖坑修建符合当时的生产力水平
关于金字塔的修建方式,最大的困惑是如何将巨大石块运输至100多米的高度。学界以前的所有研究都是围绕向上提升石块开展的。向上提升需要克服石块重力做功,由于石块自身重力很大且提升高度很高,因此需要大量做功。这对于公元前2500年的古埃及生产力水平来说是巨大挑战,在力学上完全不可行。虽然学者们试图从省力的角度给出了多种提升装置和方案,对拥有大功率升降装置的今天完全可行,但对古埃及工人来说难以实现。公元前2500年还没有出现铁器,木制或铜制滑轮、杠杆、草绳等工具根本无法承受如此巨大石块的重力提升。地坑修建方法不仅避免了克服石块巨大的重力做功,反而利用石块自身重力滑动至合适位置,将重力势能转化为运输石块的动能,实现了“不可能”向“可能”的根本转变。
3.比其他方法更节约工程量
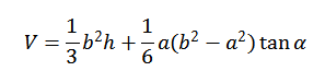
地坑修建方法解决了石块巨大重力提升的问题,但同时增加了挖坑这一工序。挖坑工程量直接由沙坑的体积决定,而沙坑体积一方面与金字塔的体积有关,另一方面与斜坡倾角(α)大小有关。α越小,斜坡越稳定,但挖坑工程量越大;α越大,工程量越小,但容易滑坡。沙坑体积(V)与斜坡倾角的正切(tan α)成线性关系,具体数学公式为:

其中,h为沙坑深度,a为沙坑正方形底的边长,b为沙坑顶部正方形敞口的边长。
图4给出了修建胡夫金字塔所需沙坑体积随斜坡倾角的变化关系。可以看出,沙坑体积随斜坡倾角的增加快速降低,60°倾角时,沙坑体积仅为30°倾角时的30%。因此,为减少挖沙体积,应尽量保持较大的斜坡倾角。按斜坡自然塌落的临界角度52°计算,挖沙量约为1000万立方米。虽然1000万立方米的挖沙量对现在来说都是一个不小的工程,但这是完全可以实现的。按一个人每天10立方米计算,1万工人100天(约3个月)即可完成。

图4 挖坑体积随斜坡倾角变化的关系图
我们再回顾一下辅助坡道建造法。图5给出了辅助坡道的体积(V1)随坡道倾角(β)的变化形态,V1与β的正切(tan β)成反比。可以看出,倾角越大,辅助坡道所需的堆沙量越小,但运输更难;倾角越小,运输更省力,但辅助坡道体积越大。有学者推算,在当时生产力条件下,运输如此多和重的石块,辅助坡道的极限倾角是8°(彭杰明,2007)。按辅助坡道倾角为8°、宽度为塔底边边长的一半计算,修建胡夫金字塔需要的辅助坡道体积约900万立方米。考虑到辅助坡道在运输石块的过程中受到巨大重力的挤压,其堆积密度必然更大,因此修建胡夫金字塔所需辅助坡道的沙土量与地坑建造方法的挖沙量的大致相同。对地坑建造方法来说,沙坑挖好后搭建就容易了,而辅助坡道法还需要将大量巨型石块提升和堆砌。因此,地坑修建时间将远远少于古希腊历史学家希罗多德估算的辅助坡道修建法所需的10万工人和20年时间。

图5 辅助长坡道体积随斜坡倾角变化的关系
如果需要省工省力,地坑深度不一定与金字塔高度完全一样,可以略小于金字塔的高度,这样挖沙的工程量就能进一步减小。地坑的深度小于金字塔的高度会导致部分塔顶露出地平面,这也符合墓穴通常会留下标识便于辨别的风俗习惯。露出地平面的高度一般不会超过10米,这部分体积占整个金子塔体积的比例很小,向上运输石块的工程相对容易,古埃及工人完成能够做到。当然,这种情况出现的概率较低。修建金字塔过程中把石棺预埋在塔中,石棺内不会放置真正的尸体而是法老的衣冠(如胡夫还健在),真正的尸体埋葬于埃及卢克索的帝王谷等其它地方。同时,在回填沙土时也要留下通往墓室的暗道,这种方法在中国也很流行。根据人类起源于喜马拉雅的观点(Li Houqiang等,2021),埃及文明可能来源于中国,从胡夫(Khufu)塑像的衣装和神态可见东方元素很多特别是中国特征非常明显,如图6。中国自古以来都以土葬为主,特别是统治者都修建大型陵墓于地下。

图6 胡夫塑像
五、结语
埃及金字塔是世界奇观,其建筑方式是世界之谜。以前的研究大多用今天的科技思维和生产力水平去解读,完全脱离了古埃及当时的初始条件。本文基于力学原理和当时生产力水平而提出的埃及金字塔地坑建造方法,颠覆了之前所有的方法和假说,是思路上的重大突破,解决了力学上的可行性和实践上的可能性,有助于破除神话传说和外星人假说,符合公元前2500年时期古埃及的生产力本真。为彻底揭开埃及金字塔建造之谜,欢迎有兴趣的学者提出有益建议和善意批评,但坚决反对随意谩骂和无理指责。让我们为揭示埃及金字塔之谜而携手前进,为追求人间真理而共同奋斗。
参考文献
[1] 金德华. (1978). 金字塔[M],北京:商务印书馆.
[2] Lehner Mark. (1997). The Complete Pyramids[M], Thames and Hudson, New York.
[3] Akio Kato. (2020). How they moved and lifted heavy stones to build the great Pyramid, Archaeological Discovery[J], 8:47—62.
[4] 雨晨. (2004). 靠风筝修建金字塔可能是真的[J]. 科技潮,2004年第3期.
[5] Davidovit Joseph,(1988). The Pyramid: An Enigma Solved[M]. Hippocrene Books, New York.
[6] 吴德成. (1986).金字塔之谜[M].北京:世界知识出版社.
[7] Smith Craig S. (2004). How the great Pyramid was built[M], Smithsonian Books, Washington DC.
[8] Lepre J.P. (1990). The Egyptian Pyramids: A comprehensive illustrated reference, Mcfarland and company, Inc., North Carolina.
[9] 彭杰明. (2007). 金字塔中的通天梯[J],大科技(科学之谜),(08).
[10] Gerard C. A. Fonte. (1998). Building the great pyramid in one year[M]. London: Professional Engineering Publishing.
[11] 罗福午. (2001).埃及金字塔[J],建筑技术, (09).
[12] Li Houqiang, Li Hailong & Yan Zhou Xingyu. (2021). Evidence of human origins in the Himalayas[J], Contemporary social sciences, (3):1-18.
此文已经发表在 《当代社会科学》英文版2021年第五期。





- 报料热线: 021-962866
- 报料邮箱: news@thepaper.cn
互联网新闻信息服务许可证:31120170006
增值电信业务经营许可证:沪B2-2017116
© 2014-2026 上海东方报业有限公司




