- +1
肥胖与21种主要疾病有关,《柳叶刀》子刊喊你来减肥……
原创 博文 医学界内分泌频道 收录于话题 #一周资讯 129个
*仅供医学专业人士阅读参考
这一期“干货满满”去年6月,《柳叶刀》子刊揭秘了中国肥胖大流行的原因后,引起了大家的强烈兴趣。()这不,《柳叶刀》今年又拿肥胖“开刀”了!
The Lancet Diabetes & Endocrinology最近的这项研究直接将肥胖作为常见疾病的共同危险因素进行检查,发现肥胖与21种主要疾病有关,且这些疾病相互关联。与健康体重的参与者相比,肥胖参与者的复杂多发病风险高出 12.4 倍!
图1 截图来源:The Lancet Diabetes & Endocrinology“一胖毁所有”可不是闹着玩儿的
该观察性研究使用了来自两项芬兰队列研究(健康与社会支持研究和芬兰公共部门研究)的汇总前瞻性数据,其中包括114657名年龄在16~78岁的成年人(平均随访时间12.1年)和来自英国生物银行的499357名成年人(研究开始时年龄为38~73岁;平均随访时间11.8年)。并根据参与者的身体质量指数(BMI)将他们分成以下4类:
肥胖:BMI≥ 30.0kg/m2。肥胖进一步又分为1级肥胖(BMI 30.0kg/m2~ 34.9 kg/m2)、2级肥胖(35.0 kg/m2 ~ 39.9 kg/m2)和3级肥胖(≥40kg/m2);
超重:BMI在25.0 kg/m2 ~ 29.9 kg/m2;
体重正常:BMI在18.5kg/m2~ 24.9kg/m2;
体重不足:BMI<18.5kg/m2。
该项研究采用分析肥胖的风险比(HR≥1.50)和计算人群归因分数(PAF)以关联研究者的健康数据。并在调整了教育背景、吸烟、饮酒和体力活动等混杂因素后,研究者分析发现:
▌肥胖与21种疾病密切相关(HR≥1.50,p<0.0006),最常发生的相关疾病包括内分泌疾病[所有成人糖尿病(75.4%)]、心血管疾病[高血压(71.8%)、心绞痛、心肌梗塞、心力衰竭、心律失常(34.4%)、脑梗塞、深静脉血栓形成、肺栓塞)],消化系统疾病(胰腺炎、肝病),感染性疾病[细菌感染(31.3%)],肌肉骨骼疾病[痛风、骨关节炎(42.1%)、背痛],呼吸系统疾病[哮喘(22.1%)],恶性疾病(肾癌),皮肤病(皮肤感染和湿疹),血液系统疾病(贫血),泌尿生殖系统疾病(肾功能衰竭)和神经系统疾病[睡眠障碍(42.6%)]。
表1 肥胖参与者中肥胖相关疾病的比例(按人数)
▌研究中还提到,由于这21种疾病相互关联,因此每种肥胖相关疾病都可以预测或被一种或多种其他肥胖相关疾病预测。其次,这种相互关联也加速了肥胖相关多发病的发展。而肥胖的程度与复杂多发病的发病风险之间呈剂量反应关系,这种关联在3级肥胖的参与者中表现最为突出。这也就意味着,肥胖的分级越高,复杂多发病的相对风险就越大。就拿死亡风险来说,芬兰队列中的结果表明,肥胖人群的总体全因死亡风险增加32%(HR=1.32),其中患3级肥胖人群的死亡风险增加90%(HR=1.90)。
▌与健康体重的人相比,肥胖人群至少患一种与肥胖相关疾病的风险是前者的2.83倍(HR=2.83),患两种相关疾病的风险是前者的5.17倍(HR=5.17),发生复杂多发病的风险是前者约12.39倍(HR=12.39)。
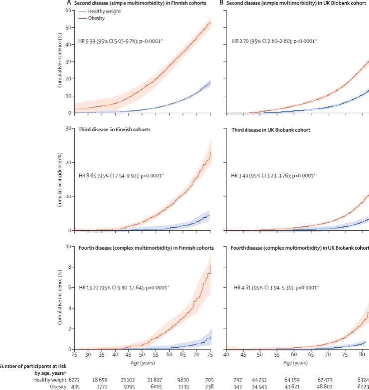
▌在发病年龄方面,相比健康体重的人群,肥胖的参与者在30岁左右,其普通的多发病就会开始增加;在约45岁时复杂多发病也开始显现。随着年龄的增长,这种影响也会持续存在。
例如在芬兰的队列中,75岁健康体重人群的复杂多发病的比例,肥胖人群在55岁就已经达到了。
图2 肥胖相关的简单多病和复杂多病的累积发病率研究者指出,肥胖与这一系列的多重疾病之间相互关联,那也就表明,干预肥胖是预防复杂多发病的一个重要且可行的方法。拥有健康的生活方式,减少导致肥胖的风险因素,是减少人群患复杂多发病的简单方法;对于肥胖症的治疗,可通过生活方式干预、药物治疗和减肥手术等治疗,也可以有效防止患者患复杂多发病。
想减肥,找对方法很重要
看完上面的研究,小编已经忍不住向身边的“胖胖”朋友们提个醒:还是赶紧把减肥提上日程吧!
但减过肥的人都知道,减肥哪有那么容易!
“不吃也胖,吃了更胖!”
“已经’管住嘴,迈开腿’了,还是瘦不下去”
……
是不是很多“胖胖”朋友们都有以上困扰?别担心!这期小编特地将既往关于这类问题的文章给大家做了个罗列,有需要的直接戳下方文章链接吧!
参考文献:
[1] Kivimäki, M., Strandberg, T., Pentti, J., Nyberg, S. T., Frank, P., Jokela, M., ... & Ferrie, J. E. (2022). Body-mass index and risk of obesity-related complex multimorbidity: an observational multicohort study. The Lancet Diabetes & Endocrinology.
本文首发丨医学界内分泌频道
本文作者丨博文
责任编辑丨曹前
版权声明
本文原创,转载请联系授权
-End-
本文为澎湃号作者或机构在澎湃新闻上传并发布,仅代表该作者或机构观点,不代表澎湃新闻的观点或立场,澎湃新闻仅提供信息发布平台。申请澎湃号请用电脑访问http://renzheng.thepaper.cn。





- 报料热线: 021-962866
- 报料邮箱: news@thepaper.cn
互联网新闻信息服务许可证:31120170006
增值电信业务经营许可证:沪B2-2017116
© 2014-2026 上海东方报业有限公司




