- +1
1.5万人研究验证:你能想到的血脂指标,都可能用于预测糖尿病
原创 Nina、博文 医学界内分泌频道 收录于合集 #医学前线 11个
*仅供医学专业人士阅读参考
血脂参数不仅是能够看出你胖不胖,还能看出你会不会得糖尿病!
受邀采访专家:
邹阳医生 江西省人民医院
2021年国际糖尿病联盟(IDF)发表的糖尿病地图显示,在全球20-79岁成年人中,糖尿病患者总数达5.37亿,其中1/4(约1.41亿)生活在中国[1]。“盛糖大国”的帽子带来了巨大的公共卫生负担,为了顺利摘掉这顶“帽子”,除了要关注已确诊糖尿病患者的规范诊疗,更要关注新发糖尿病的预防和监测。
在之前的医学前线专栏中,江西省心血管研究所的一项研究推荐了非常规的胆固醇指标——非高密度脂蛋白胆固醇与高密度脂蛋白胆固醇比率(NHHR)用于预测2型糖尿病发病风险。但研究者也向“医学界”指出,医务人员和普通群众对NHHR的了解有限,而且现有的研究成果还不足以将其作为常规预测项目来推广。
那么,除了NHHR之外还有哪些血脂指标能够预测糖尿病风险呢?他们的预测效果如何?带着这些疑问,医学界再次联系到江西省人民医院邹阳医生,这一次,邹阳医生分享了一项刚刚发表不久的、覆盖目前已知的绝大多数常规和非常规血脂参数的纵向研究[2]。
计算了1.5万人的血脂参数,
你能想到的指标都有!
图1 研究于6月11日发表在Journal of Translational Medicine该研究纳入15,464 名基线血糖正常的参与者进行的纵向随访研究,平均随访年限为6.13年,在基线时,研究团队测量/计算了几乎所有的常规和非常规血脂参数。
图2 研究队列及纳排标准常规血脂参数包括低密度脂蛋白胆固醇(LDL-C)、甘油三酯(TG)、总胆固醇(TC)、高密度脂蛋白胆固醇(HDL-C)。非常规脂质参数包括非HDL-C,残余胆固醇(RC)和一系列比值参数:LDL/HDL-C、TG/HDL-C、NHHR、TC/HDL-C和RC/HDL-C。
此外,研究团队还计算了受试者胰岛素抵抗代谢评分(METS-IR)[注1]、观察了糖尿病患者脂肪肝发生情况。随访期间,糖尿病发病率为3.93人/千人/年(n=393),诊断标准为:HbA1c≥6.5%或空腹血糖(FPG)≥7.0 mmol/L,受试者自我报告的糖尿病诊断也被纳入其中。
不同血脂参数用法不同!研究者亲自解读!
研究结果显示:
01. 非常规血脂参数和胰岛素抵抗之间的关系更清晰!
Pearson 相关分析显示,所有血脂参数在基线时都与METS-IR相关;相比常规血脂参数,非常规血脂参数(RC、non-HDL-C、LDL/HDL-C、TG/HDL-C、NHHR、TC/HDL-C和RC/HDL-C)与胰岛素抵抗之间存在更强的线性关系 [表1 红框内为非常规血脂参数(黄框内为比率血脂参数)]。
表1:基线时血脂参数与胰岛素抵抗的相关性
邹阳医生点评及解读医学界:这一结果有何临床意义?
邹阳医生:在这篇文章刚开始的部分,我们首先评估了所有血脂参数与METS-IR的关联,采用Pearson 相关系数定量的评估了这些血脂参数与胰岛素抵抗的关联程度。从结果上来看,非常规血脂参数与METS-IR的相关性普遍高于常规血脂参数,其中血脂比率与METS-IR的相关程度最高,可以更好的反映METS-IR信息。这些结果也进一步提示了非常规血脂参数可能在评估/预测糖尿病方面具有巨大的潜力,为下一步的研究分析和讨论提供了有力的证据。
02. “坏胆固醇”LDL-C反而不适合预测糖尿病风险!
使用COX回归分析时,在针对人群特征和生活方式进行调整的模型中(表2,Model1 & Model2),所有血脂参数都能预测未来的糖尿病风险。在进一步调整基线血压和血糖的模型(Model 3)和调整了除血脂外所有的非共线变量的模型(Model 4)中,三个最常规的血脂参数(LDL-C、非HDL-C和TC)与糖尿病风险之间的关联消失了。
表2 Cox回归分析下各项血脂参数与糖尿病风险的关系
邹阳医生点评及解读医学界:非常规血脂参数为什么和糖尿病风险联系更加紧密?可能的机制是什么?:
邹阳医生:从临床角度来看,非常规血脂参数和糖尿病的紧密关联最可能的机制我们认为更多的与非常规血脂参数介导的胰岛素抵抗和致动脉粥样硬化作用有关。
从非常规血脂参数的组成成分上可以看出,多数非常规血脂通常由致动脉粥样硬化性血脂参数(例如LDL-C, TG, RC等)以及抗动脉粥样硬化性血脂参数(HDL-C)组合而成,这些组合后的非常规血脂参数同时收集了致动脉粥样硬化和抗动脉粥样硬化脂质颗粒的信息,在反映动脉粥样硬化和胰岛素抵抗方面通常更加灵敏,这一点在当前的研究中也得到了验证(Additional file 3: Table S1)。
03. 非常规血脂参数可更好的覆盖短期、中期和中长期糖尿病风险预测!
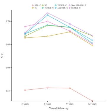
根据模型4进行进一步敏感性分析,结果与cox回归分析基本一致。绘制时间依赖性ROC曲线后,研究团队发现:所有血脂参数对糖尿病风险的预测价值随着时间的推移而下降,非常规血脂参数对糖尿病风险的预测价值略高于常规血脂参数。
值得注意的是,邹阳医生团队还对未来不同时期发生糖尿病风险进行了详细的预测,结果如下:
在预测短期糖尿病风险方面:RC/HDL-C比值是最佳的血脂参数。
在预测中期糖尿病风险方面:NHHR和LDL/HDL-C比值是最佳的血脂参数。
在预测长期糖尿病风险方面:non-HDL/HDL-C、RC和TC/HDL-C是最佳的血脂参数(图3)。
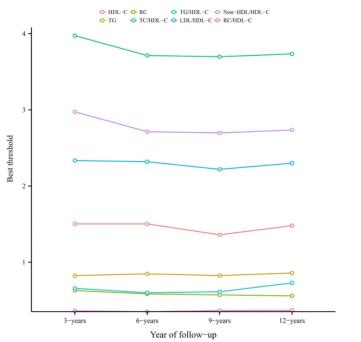
另外, 在预测不同时期糖尿病风险的血脂参数的阈值分析中,除了TG外,其它血脂参数的阈值基本稳定(图4)。
图3 血脂参数对未来糖尿病风险预测随时间推移而产生的变化
图4 随年限增加,各血脂参数预测糖尿病风险的阈值波动不大邹阳医生点评及解读
医学界:非常规血脂参数应用于风险评估的可行性如何?
邹阳医生: 结合当前研究以及既往研究的数据结果,非常规血脂参数不仅仅在糖尿病风险评估方面具有极高的推荐价值,它在心血管疾病,脑血管疾病,外周血管疾病,脂肪肝疾病以及其他多种代谢相关疾病中都显示了更高的风险评估能力/诊断价值/预测价值,相比于常规血脂参数。另外,非常规血脂参数的计算非常的简单,只需要在常规血脂参数的基础上进行简单的相除或者相减即可。因此,采用非常规血脂参数具有很高的可行性。
医学界:是否可以期待,未来的体检报告上会根据血脂参数对患者的糖尿病风险进行量化评估?您认为在走到这一步之前还有哪些学术难关需要攻克?
邹阳医生:有两个问题需要回答:
首先,我们非常期待这些还未被充分认识和重视的非常规血脂参数出现在大家的生活中,这代表了学术界的广泛认可和人类的伟大进步。
其次,正如非常规血脂的名字那样,非常规要走向常规还需要我们学术界继续进行大量的验证工作,需要通过大量的研究反复多次的去证明非常规血脂的优越性,让越来越多的学者去认识它,学习它,分享它,终有一天它会和TC、TG、HDL-C、LDL-C等脂质参数一样出现在普通大众的视野中。从非常规血脂参数的组成结构和目前已有的一些研究结果来看,我们非常的期待。
总结与展望
糖脂代谢紊乱是近年来糖尿病和心血管疾病管理中最常提到的疾病机制。血脂参数大多是可量化的血液检测指标,细微改变即可观察到数据变化;同时,血脂指标易于获取,如果结合体检中心数据,更便于管理风险人群,因此,利用血脂参数预测糖尿病风险具有明显的优势。
尽管目前理论基础和实践方案尚未完全建立,但其前景已经值得期待,更进一步地,在利用血脂参数充分预测糖尿病风险之后,临床医生更需要思考的问题是如何干预、控制疾病风险因素,最终将糖尿病扼杀在摇篮中。
注1:METS-IR=Ln [BMI ×(TG + 2FPG)]/[Ln(HDL-C)]
专家简介
邹阳江西省人民医院,江西省心血管病医院,江西省心血管病研究所
曾获2021年度江西省优秀住院医师
研究方向:从事代谢性疾病的流行病学研究4年,师从全国心血管病名家盛国太教授
学术成果:目前在代谢疾病领域以第一作者或者通讯作者发表SCI 21篇,总影响因子85.77分。同时在Lipids in health and disease、BMC Cardiovascular Disorders、Plos one、Frontiers in Endocrinology、Journal of Translational Medcine、Scientific Reports等SCI杂志担任审稿人。
参考文献:
[1]Sun H, Saeedi P, Karuranga S, et al. IDF Diabetes Atlas: Global, regional and country-level diabetes prevalence estimates for 2021 and projections for 2045[J]. Diabetes research and clinical practice, 2022, 183: 109119.
[2]Sheng G, Kuang M, Yang R, et al. Evaluation of the value of conventional and unconventional lipid parameters for predicting the risk of diabetes in a non-diabetic population[J]. Journal of translational medicine, 2022, 20(1): 1-13.
本文首发丨医学界内分泌频道
采访及审核专家丨江西省人民医院 邹阳医生
责任编辑丨曹前
版权声明
本文原创,转载请联系授权
-End-
本文为澎湃号作者或机构在澎湃新闻上传并发布,仅代表该作者或机构观点,不代表澎湃新闻的观点或立场,澎湃新闻仅提供信息发布平台。申请澎湃号请用电脑访问http://renzheng.thepaper.cn。





- 报料热线: 021-962866
- 报料邮箱: news@thepaper.cn
互联网新闻信息服务许可证:31120170006
增值电信业务经营许可证:沪B2-2017116
© 2014-2026 上海东方报业有限公司




