- +1
最新研究:这样喝咖啡,心血管疾病死亡风险最低
原创 shanluzuode 医学界心血管频道
*仅供医学专业人士阅读参考
生活已经很苦,咖啡加点糖,快乐一整天~
既往多项研究证实咖啡对心血管具有保护作用[1]。那无糖咖啡和加糖咖啡,到底有没有区别?每天喝多少量的咖啡比较合适?
5月31日,由南方医科大学的毛琛教授团队在《内科学年鉴》(Annals of Internal Medicine)上发表的一篇文章给出了答案。
图1 研究来源https://doi.org/10.7326/M21-2977无糖咖啡和加糖咖啡,
都能降低心血管疾病死亡风险!
该研究的参与者共171616名,他们在基线检查时都没有心血管疾病或癌症,平均年龄为55.6岁,其中130132名(75.8%)是咖啡爱好者,大多数(55.4%)更偏爱无糖咖啡,其次是加糖咖啡(14.3%)和人工甜味剂咖啡(6.1%)。
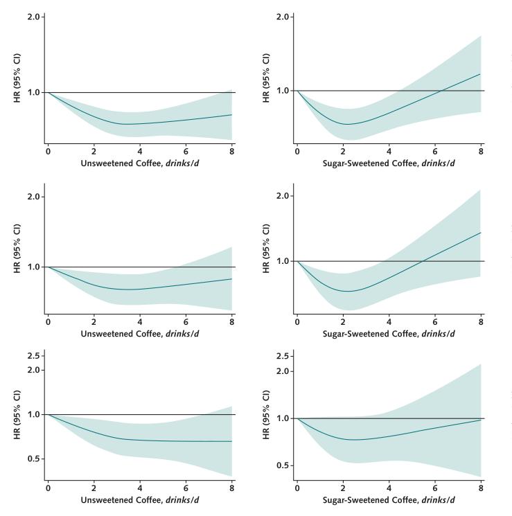
研究发现:无糖咖啡和加糖咖啡与全因、癌症和心血管疾病死亡率之间都存在显著的U型关联。
图2 咖啡摄入与全因(顶部)、癌症(中部)和心血管疾病(底部)死亡率的剂量-反应相关性与不喝咖啡的人相比,在调整生活方式、社会人口和临床因素后,每天喝0-1.5杯、1.5-2.5杯、2.5-3.5杯、3.5-4.5杯无糖咖啡(注:一杯咖啡约等于250ml)的参与者心血管疾病死亡风险分别降低21%[风险比(HR):0.79,95%置信区间(Cl),0.60-1.05]、24%(HR:0.76,95%Cl,0.57-1.00)、34%(HR:0.66,95%Cl,0.48-0.91)、25%(HR:0.75,95%Cl,0.53-1.08)。
而相对应的每天喝加糖咖啡的参与者心血管疾病死亡风险分别降低22%(HR:0.78,95%Cl,0.53-1.16)、23%(HR:0.77,95%Cl,0.51-1.18)、25%(HR:0.75,95%Cl,0.44-1.28)、28%(HR:0.72,95%Cl,0.37-1.41)。
图3 无糖咖啡和加糖咖啡消费量与全因、癌症、心血管疾病死亡率的关系也就是说无糖咖啡和加糖咖啡,适量饮用都能降低心血管疾病死亡风险。所以对于无法忍受无糖咖啡苦涩风味的人,适当加点糖也OK~
那么问题又来了,既然适量饮用无糖或加糖咖啡,区别不大。到底喝多少最好呢?
每天1.5-3.5杯咖啡
”续命“效果最好
从以上列出的研究数据看,每天喝2.5-3.5杯不加糖咖啡以及3.5-4.5杯加糖咖啡预防心血管疾病死亡死亡效果可能是最好的。
但是我们还需全面考虑,研究中还调查了咖啡摄入与全因死亡率以及癌症死亡率之间的关系,如下表所示。
表1 咖啡摄入量与全因死亡、癌症和心血管疾病相关死亡风险的关系,由图2转换而来
我们可以看到从整体来说,对于无糖咖啡,每日2.5-3.5杯的预防全因死亡率效果较好,而对于加糖咖啡,每日1.5-2.5杯预防全因死亡率的效果较好。研究中加糖咖啡消费者平均每天添加1.1茶匙(tsp)的糖,约等于5g。也就意味着每天加糖咖啡中糖摄入量可在5g左右。换言之,每天1.5-3.5杯咖啡,无论加糖与否,降低全因死亡风险的效果最好。
图4 加糖咖啡的平均含糖量
人工甜味剂咖啡VS加糖咖啡?
近年来,以“0糖、0卡路里”为卖点的无糖饮料不甚枚举,深受人们喜爱,这些饮料中就是加入了人工甜味剂。人工甜味剂(artificial sweeteners)是一类人工合成或半合成的蔗糖替代品,几乎不含热量[2]。
基于如今人工甜味剂饮料(ASBs)盛行。该研究同时还调查了添加人工甜味剂的咖啡与死亡率之间的关系。
图5 人工甜味剂咖啡摄入量与全因(顶部)、癌症(中部)和心血管疾病(底部)的剂量-反应相关性
图6 人工甜味剂咖啡消费量与全因、特定原因死亡率的关系结果发现添加人工甜味剂的咖啡与死亡率之间的关系不太一致。也就是说并无证据证明添加人工甜味剂的咖啡能降低死亡风险,因此对于嗜甜的咖啡爱好者来说不如喝加糖咖啡。
值得注意的是!研究者发现当每天喝>4.5杯加糖咖啡时,死亡风险反而会增高,全因死亡风险会比不喝咖啡的人群增加5%(HR:1.05,95%Cl,0.82-1.36),癌症死亡风险更会增加14%(HR:1.14,95%Cl,0.82-1.60)。
因此,凡事过犹不及,加糖咖啡虽好,但不要贪多哦。
总结:
这项研究有几个优点,包括前瞻性设计、样本量大以及收集到了广泛的咖啡消费信息。利用这些详细的数据研究了加糖、人工加糖和不加糖的咖啡的区别。这是其他研究中未进行的。
但研究也存在着潜在的局限性。首先,鉴于研究的观察性质,不能排除残余混杂的可能性,基线检查时不健康的人(例如患有慢性病的人)可能会从加糖的咖啡转向人工加糖或不加糖的咖啡。
另外,个人饮食习惯会随着时间的推移发生变化,饮食摄入测量中的误差是流行病学研究中的一个严重问题,因为它会阻碍确定饮食因素与疾病发生之间的关系。
并且本研究中提到的加糖咖啡是相对局限的,平均每杯咖啡的含糖量甚至不到半勺,市面上的加糖咖啡含糖量远高于此,因此饮用加糖咖啡时对含糖量仍需保持谨慎。
但总而言之,这项前瞻性研究发现,适量饮用无糖咖啡和适应加糖咖啡都能降低全因、癌症和心血管疾病的相关死亡风险。
参考文献:
[1]Good News for Coffee Lovers:Daily Coffee May Benefitthe Heart.Retrieved Mar 24,2022
[2]马铃,冯碧婷,周萌,等.人工甜味剂在不同类型土壤中的淋溶行为研究[J].生态毒理学报,2016,11(2):8.
[3]]Liu D,Li ZH,Shen D,Zhang PD,Song WQ,Zhang WT,Huang QM,Chen PL,Zhang XR,Mao C.Association of Sugar-Sweetened,Artificially Sweetened,and Unsweetened Coffee Consumption With All-Cause and Cause-Specific Mortality:A Large Prospective Cohort Study.Ann Intern Med.2022 May 31.doi:10.7326/M21-2977.Epub ahead of print.PMID:35635846.
本文首发:医学界心血管频道
本文作者:shanluzuode
责任编辑:彭建萍 章丽
版权申明
本文原创 欢迎转发朋友圈
- End -
本文为澎湃号作者或机构在澎湃新闻上传并发布,仅代表该作者或机构观点,不代表澎湃新闻的观点或立场,澎湃新闻仅提供信息发布平台。申请澎湃号请用电脑访问http://renzheng.thepaper.cn。





- 报料热线: 021-962866
- 报料邮箱: news@thepaper.cn
互联网新闻信息服务许可证:31120170006
增值电信业务经营许可证:沪B2-2017116
© 2014-2026 上海东方报业有限公司




