- +1
高铁十年,中西部省会成最大赢家
以下文章来源于搜狐城市 ,作者徐中华 等
搜狐城市.网罗城市热点,解读城市政策,给你另一种角度品读城市。

图片来源:摄图网_502366964高铁网络在世界范围内的运行已经有近60年的历史,在我国也已经有十余年的历史。
根据我们的研究,高铁网络的建设,让我国省会城市的经济腹地从50km级别跃迁至200~300km级别,有助于提升省域整体的公共服务水平,但同时也减弱了都市圈内人口规模较小城市的商业与服务业的吸引力。其中受影响最大的为原来的地县级城市,可能会强化这些城市财富与人口大幅度流失的趋势。
经过十多年的省会强化发展,目前内陆省会占全省的GDP比例通常都达到20%以上,国内城市群正日益分化为“省会—地县”的二元不平衡结构。但从另一方面讲,省会的强化也为地县级城市提供了更好的区域性服务环境,为下一步这些后发地区的赶超进行了蓄力。
01.作用机制
人口从聚集到回流 产业辐射不明显
高铁效应是指高速铁路对沿线城市经济和社会发展所施加的积极或消极影响。
综合目前国内外的相关研究成果,高铁对沿线城市的正负效应是同时存在的,正效应主要包括可达性提高,经济结构优化,知识传播增益,经济增长加速,人口增长等,负效应主要为经济增长减速,财富流失,人口减少等。
具体来说,高铁效应是由人口加速流动所导致的三个经济机制的共同作用所导致。第一个机制,即商业和服务业的循环累积因果机制。
高铁与普通铁路不同,其主要承担的是客运交通,因此高铁效应首先起源于消费者的跨区消费,并由此引起循环累积因果效应。
根据欧洲的经验,高铁开通后,高铁网络中心的超大城市中商业、商务和公共服务设施可以服务更广大地区的人口,引起这些部门规模的扩张,进而增加更多的就业岗位,提供更高的工资,然后吸引更多的人口,而更多的人口又进一步增加这些地区的市场规模,形成更多的就业岗位,高铁网络加重了超大城市的循环累积因果效应。
随着人口和产业的加速集聚,高铁网络也加速了省会以上城市的拥挤度,加重了包括房地产价格上涨、环境污染加重、创新力下降、犯罪率提高等方面的问题。而这些问题会加重特大以上城市的生存压力。
而这,就引发了第二重机制,人口和产业的挤出机制。
随着特大城市拥挤压力逐步加重,一部分人口和制造业会“溢出”,而溢出的方向主要为环境优美、交通便利的周边城市,城市群中的高铁网络节点城市会成为其落户的优先选择。
在欧美国家,从大城市中溢出的往往是中产以上阶层。我国最近几年农民工以及外地籍大学生返乡就业人数也呈现上升趋势,但与国外不同的是,我国中产以上阶层仍然在加速向大城市集聚,说明我国的人口流动存在身份选择机制。
高铁对产业的扩散作用并不直接,虽然近年来我国低端产业的溢出效应也比较明显,但其中很大一部分并没有向不发达地区转移,反而是向海外转移。
但高铁网络有助于大公司跨城业务的展开,大量的金融资本会通过控股的方式向后发地区渗透。这种渗透一方面有助于后发地区的发展,另一方面也可能会导致其经济自主性的逐步丧失,因而需要合理引导。
第三重机制,就是隐性知识的扩散机制。
在高铁网络经济时代,对省会以上城市来说,虽然所有的产业都会得到加强,但是其中商业、公共服务业与金融业将得到更快的增强,制造业及为其服务的研发与科技中介产业增强的速度则会慢得多。
同样对于后发地区来说,虽然所有的行业都会被削弱,但是商业和金融业的削弱速度会更快,而制造业和科研教育业受到的负面影响则相对较少。
尤其是作为国家统一拨款和管理的科教行业,即使是边缘地区城市的科教单位,仍然能够提供相对较高的工资水平。因此在后发地区,科教人力资源是相对富裕的,但是缺乏对外信息交流以及推动新技术市场化的能力与动力。
省会城市与地县级城市之间存在较大的知识储备差距,形成隐形知识流动的内在动力。高铁网络极大地方便了后发地区科教人员与外部世界的交流活动,有利于隐性知识的有效吸收与应用,而隐性知识是真正影响后发地区提升创新创业能力的短板所在。
02.省会受益
腹地扩大 平均增速超东部重点城市
从2008年以来的十余年时间,高铁网络主要强化的是省会城市。
在2007年以前,虽然在国家和省域层面做出了诸多的政策倾斜,但我国内陆省会仍然没有具备赶超东部发达地区的能力,两者之间的差距在不断拉大。
实际上,内陆省会发展速度缓慢的原因并不完全在于基础设施投资和政策优惠不到位,一个重要的原因在于市场腹地被压缩。而从2008年开始大规模建设、2013年初步成网的高铁网络,则在很大程度上克服了这一困难。
经济发展的第一引导力就是市场,谁更接近市场的中心,谁就能拥有更低的运输成本以及更快的市场信息反馈速度,因而具备更强的竞争力。而我国制造业的市场有40%是在国外,显然拥有港口和庞大人口规模的东部沿海地区更接近国际和国内市场的中心。
而对内陆省份来说,虽然从1949年开始,内陆各省都不同程度地采取省会城市优先的政策,1998年以来国家更是加大了对内陆地区基础设施的投资建设,但这些努力始终没有从根本上改变内陆省会城市的市场区位劣势。根本原因在于它们服务的本地市场规模太小,这些省内大部分人口的商业和服务消费是极其分散的。
直到高铁时代,省会城市的商业有效服务半径扩大到300km级别以上时,省会城市的服务人口才迅速扩大到千万级别,此时省会城市的发展优势才凸显出来。
也就是在此时,投资省会城市才成为全国资本甚至全球资本有利可图的事业。而随着外来资本的大规模投入,在循环累积因果效应作用下,规模经济才逐步发展起来。虽然高铁的初衷是方便出行,但在很大程度上可以认为,高铁极大地强化了内陆省会的崛起。
从2008年开始,随着国内高铁网络的加速成网,省会城市在人口增长、经济增长以及城市空间扩张三个层次,均开始全面超过东部发达地区以及直辖市和特区城市的平均增长率。
2008~2018年,28个省会城市人口增长率是全国总体平均水平的1.3倍,经济增长率是全国平均水平的1.4倍。2008~2018年是高铁客流井喷的十年,也是省会城市加速膨胀的十年,两者具有时间上的重叠性。
中国高铁建设阶段划分我国高铁网络建设分为四个阶段,2003~2008年为试营阶段,2008~2011年为起步发展阶段,2011~2013年为初步成网阶段,2013~2018年为加密强化阶段。以2013年为界限,可以清晰地看到,中国的财富与资本加速向高铁网络中的特大型枢纽城市流动。
那以上三个层次,分别有何具体表现呢?
03.增长表现
房价陡增 资本膨胀 城区扩大
从财富转移趋势上看,反映财富集聚的房地产价格增长指数,在2013年以前,超大城市以及省会城市房价涨幅较为平稳,而普通城市的房价涨幅较高,省会城市与普通城市房价总体相差不大。
高铁时代超大城市与普通城市房价增长分异而从2014年开始到2017年,尽管此三年期间,国家对特大以上城市的房价实行了严格调控,超大城市以及处于高铁网络枢纽地位的省会城市普遍开启井喷式增长模式,而同时期普通城市的房价涨幅却逐步下降,显示出大量财富从普通城市向高速网络枢纽城市集聚的强大趋势。
从资本控制的趋势上看,国内超大城市的资本对国内普通城市的经济控制力呈现加速膨胀趋势,逐步从东部沿海向中西部内陆渗透。
根据启信宝数据,按照控股投资比例衡量,国内北京、上海、深圳三大金融中心资本投资占优的城市数量,五年时间从74个增长到138个,增长了1.86倍,而地方资本投资占优的城市数量相应地缩小了28.5%。
但另一方面,城际投资的集中度却在快速上升,按获得城际投资额排名累积,90%以上的投资在2014年流入99个城市,而2017年则集中在60个城市,四年间缩小了33.3%。如果只考察文化、科技、金融等高端行业的城际投资情况,则绝大部分的投资集中在27个城市之内,这些城市全部为高铁网络中的重要节点和超大城市。
国内有价值投资空间快速缩减趋势从城市空间的膨胀趋势上看,2002、2009和2013年是中国商品房20年的历史中非常特殊的三年,这三年都是房价猛然放量增长波段的第一年。但三波增长的差异性却十分明显。第一波增长主要是一线城市暴涨,第二波增长为全国普涨,而起始2013年的这一轮增长,主要是高铁网络中的省会以上城市暴涨。
第一轮增长是房地产货币化导致的价格上涨,第二轮增长是货币超发带动的资产价格上涨,而第三轮增长则在很大程度上是由于高铁、地铁、高速公路等基础设施大规模投入使用导致的人口和财富集聚效应的上涨。
全国最大 20 座城市 2013 - 2018 年空间增长速度在第三轮增长中,省会以上城市获得了最大收益,2013~2018年,省会城市人口普遍增长了50%以上,相应地在城市空间扩张上的动力非常的充足。我国目前建成区最大的前20个城市中,90%为省会以上级别城市,并且铁路可达性变化量与这些城市空间增长率之间存在较高相关性,两个变量回归分析的拟合优度约为0.8,置信度为95%。
五年时间,省会以上城市总的建成区面积扩张了50%,省会城市建成区面积占比也从22.8%增长到27.6%,增长了5个百分点。目前全国县级以上城市数量约1800个,省会以上城市数量占比为1.6%,而人口占比高达35%,建成区占比近28%,表现出严重的极化现象。
04.格局分化
地县级市发展滞后
2007~2018年,我国地县级城市发展速度显著下降,部分说明在高铁网络形成的初期,对低等级城市具有削弱作用。地县级城市一旦接入高铁网络就只有两种选择,要么快速适应这种区域分工而获得跨越式发展,要么不能适应这种分工而被边缘化。
通过数据对比研究可以发现,最近十年,经济总量进入全国前50名的省会以上城市增加了4个,全部为中西部省会,数量增长29%,相应的地级城市数量减少14%,省会以上城市排名总体平均上升10个位次,前50位地级城市总体排名平均下降11个位次。
分地区来看,东部地区省会城市和地级城市,经济增长率差距大幅度减少,区域渐趋平衡发展,而中西部省会城市位次总体上升幅度极大,而地级城市下降幅度较大,经济增长率差距快速扩大,省域层面的两极分化现象较为严重。
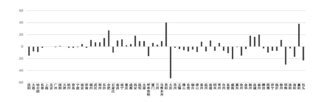
东中西部省会以上城市经济差距对比在省会层面,东部与中西部省会的总体差距大幅度缩小,而地级层面的差距在大幅度增大。以东部省会排名中位的南京和济南作参考,2007年,中西部没有一个省会超过南京,2018年有两个省会超过南京,五个超过济南,反映出高铁网络对中西部省会的强力刺激作用。
2007-2018年省会以上及全国前50位非省级地级城市排名位次变化相应的这些省的地级城市排名下降的幅度也是最大的,从2007~2018年经济总量排名上升比例来看,中西部省会全部上升,而中西部地级城市只有15%的城市排位上升,而其余90%的地级市排名下降。
经济排名数据,一方面反映出省会与地级城市之间两极分化的强大趋势,尤其是中西部地区地级以下城市的发展已经大规模滞后,另一方面也反映出东中西部城市群核心城市之间的差距已经显著缩小。
另外,众所周知的是,高铁站往往建在郊区,而郊区型高铁站也对沿线的地县级城市发展造成了一定困扰。
一方面地方财政对高铁站及其附属的配套基础设施进行了大量的投入,另一方面高铁站周边居住人口稀少,单纯的高铁客流难以对这些基础设施的可持续运营起到基础的支撑作用。
高铁沿线的地县级城市虽然身处被边缘化的被动地位,但又不愿放弃利用高铁效应来促进城市发展,或者单纯恐惧因旅客出行距离太远,而导致高铁站客流持续性降低,最终在经停车次和时间上被高铁网络“边缘化”,于是不得不选择建设“高铁新区(城)”。希望通过增加高铁站域空间经济活力,减轻政府财政负担。
据统计,地县级高铁站数量占到全国高铁站总数的80%,这些高铁站中有六成被修建在了郊区,其中又有相当一部分的站场位于城市远郊区的飞地。
目前(截至原文发表时间,编者注)全国规划和在建的“地级高铁新城(区)”约30个,占所有高铁新城建项目的70%,涉及城市用地面积超过900km2,计划投资规模近2000亿元,未来必然还会有更多的城市群后发地区筹建高铁新城。
但是由于目前缺乏对高铁效应的深入研究,缺乏针对高铁站区在区域一体化发展中所承担特殊职能的考量,也缺乏对最新城市交通技术和设计理念的研究,最终造成了一些失败的案例。
05.案例分析
科教型新城或成小城出路
从京沪高铁线上建设高铁新城的主要地级城市发展状况看,高铁对沿线城市发展的影响各不相同,主要与各城市自身的经济发展状况、人口规模、政策导向以及交通区位有一定相关性。
一般位于城市群边缘区位上的城市,以及将高铁新城定位为知识型或贸易型的城市,其获得的高铁溢出效应较高。
高铁开通前,省会城市经济发展速度与沿线地级城市和直辖城市基本持平,但显著低于非省会副省级城市。开通后省会城市经济发展速度比沿线非省会地级城市平均高出约11%,比直辖城市高出37%,比非省会副省级城市高出83%。
京沪高铁开通前后沿线地级市GDP增速分化高铁开通后,高铁直接经停地级市平均比不经停地级市略高出约4%,但未能通过显著性检验,说明高铁对地级城市的影响存在较大差异性,不能简单归纳。
进一步对比地级市数据可以发现,高铁开通后,在总体经济增长率下降的情况下,高铁沿线的地级城市人均GDP增长率的变异系数却从0.21扩大到0.28,分化程度快速扩大,说明高铁对沿线城市具有较强的筛选作用,发展策略符合高铁网络作用机制的城市,可以得到较快的发展,反之则会被延缓发展。
对比京沪高铁沿线地级城市高铁新城发现,这些城市的经济超额增长率与功能定位和辖区人口、城市经济实力和城市区位的组合,具有一定相关性。一般而言辖区人口越多、经济实力越强且越接近多个区域中心城市辐射交叠区位的城市,越适合建设商业商务型高铁新城,反之则越适合建设科教型高铁新城。对后发地区来说,科教型高铁新城对城市发展的贡献度更高。
统计京沪高铁沿线11个建设高铁新城的地级市相关数据,以经济超额增长率为因变量其他参数为自变量进行回归分析(置信度97%,相关系数0.91),可以发现经济超额增长与高铁新城的科教定位、人口规模、节点等级、新城建成规模和人均GDP排名之间均具有正相关性,其中与高铁新城的定位相关性最高,达到0.014,与高铁新城建设规模相关性最低,为0.0035。
通过以上分析和国内外的建设经验证明,高铁对沿线城市的作用并不总是正向的,其实质在于各城市自身的发展策略能否适应新的区域一体化分工格局的要求。
通过对京沪高铁沿线地县级城市高铁新城发展状况的统计分析可以发现,科教型高铁新城更有有利于后发地县级城市有效接收高铁网络的知识溢出效应,从而获得更快的发展。
◎文章选编自《高铁沿线城市发展分化状况研究》 原文首发于《城市发展研究》27卷2020年06期 文章著作权归原作者所有
原文作者:徐中华 闫欲晓 严建伟
本文编辑:陈亚辉
为了给城友提供更有质感的内容,城叔邀请您花1分钟完成问卷,精彩建议有福利。
原标题:《高铁十年,中西部省会成最大赢家》
本文为澎湃号作者或机构在澎湃新闻上传并发布,仅代表该作者或机构观点,不代表澎湃新闻的观点或立场,澎湃新闻仅提供信息发布平台。申请澎湃号请用电脑访问http://renzheng.thepaper.cn。





- 报料热线: 021-962866
- 报料邮箱: news@thepaper.cn
互联网新闻信息服务许可证:31120170006
增值电信业务经营许可证:沪B2-2017116
© 2014-2026 上海东方报业有限公司




