- +1
随机对照研究发现,空腹运动相比于饭后运动燃脂效果提高约70%,还能降低全天能量
原创 奇点糕 奇点网 收录于合集#减肥 6 个 #运动 44 个
*仅供医学专业人士阅读参考

如今,对于大多数都市“打工人”来说,高节奏的生活、久坐和缺乏运动成为生活常态,随之而来的超重和肥胖成为日益严峻的问题,减重的需求也越来越多。运动和饮食管理,是首选推荐的体重控制方式,但有时我们会发现,尽管努力迈出了运动的步子,减肥的效果却并不明显。简单来说,要减掉身上多余的肥肉,需要达到能量负平衡,即消耗的能量超过摄入的能量。但人体内一系列“代偿”机制,可能导致运动后饮食摄入增加或基础代谢降低[1],这也解释了为什么运动减肥的效果有时并不明显。
那么,如何才能高效减重呢?研究表明,空腹运动或许是一种解决办法。
近日,来自英国诺丁汉特伦特大学、拉夫堡大学的David J. Clayton和Lewis J. James教授团队在International Journal of Sport Nutrition and Exercise Metabolism 期刊上发表研究成果,这项研究表明,空腹运动相比于饭后运动燃脂效果提高约70%,同时还降低了全天的能量摄入。
文章首页截图超重或肥胖正逐渐成为严峻的社会性问题。根据《中国居民营养与慢性病状况报告(2020年)》,我国目前有一半以上成年居民超重或肥胖,成年居民超重率为34.3%、肥胖率为16.4%[2]。绝对数量上,我国也有全世界最多的超重和肥胖人群,达到6亿人[3]。运动和饮食,分别是能量消耗和摄入的主要路径,那么增加运动和控制饮食,自然成为了体重管理的重要组成部分。
近年来,关于各种不同饮食模式(如间歇性禁食、限时进食等)在减重中的研究层出不穷,但空腹运动对能量平衡的影响还有待进一步研究。既往研究表明,早上空腹运动能够显著降低全天能量摄入。这有助于短期内形成能量缺口,燃烧更多的热量[4,5],大部分有减肥需求的人,或许可以用这种方法来减掉更多体重。
但目前的研究大都仅聚焦于早晨空腹运动对能量摄入的影响,这种情况在现实中还是比较少的,而其它时间点空腹运动对全天能量摄入、食欲及运动积极性等指标的影响还缺乏相关证据。因此,研究者们针对傍晚空腹运动对全天能量摄入等指标展开了探究。
空腹运动能不能High起来?那么研究是如何开展的呢?
本研究是一项随机、开放标签、交叉对照试验(NCT04742530)。研究人员一共招募了16名健康男性和女性,随机分配到空腹运动组和进食后运动组。之后再进行交叉试验。
试验设计方面,所有参与者在规定时间内进食,具体来说是受试当天8:30和11:30,分别进食早餐及午餐,所有餐食均由研究人员统一配制。唯一不同的是,饭后运动组(FED)需要在16:30进食晚餐,而空腹组(FAST)则需要继续保持空腹。之后,所有参与者均在18:30进行运动评估。
运动方案方面,所有参与者们均接受包括30分钟的稳定有氧骑行(约60%的最大摄氧量)和15分钟的全力冲刺训练。运动期间,研究人员会监测参与者的心率和主观用力程度分级(rating of perceived exertion,RPE,用于反应参与者自我感知运动的劳累程度)。除此以外,参与者的主观感受如饥饿感、饱腹感、食欲及运动积极性等指标也被评估。
运动结束后15分钟,所有参与者进行20分钟的无限制进食,在此期间,所有参与者进食的食物热量由研究人员进行记录。在此时间段外,参与者不允许进食任何食物或饮料(除了研究者准备的饮水)。
结果表明,能量摄入方面,FED组相比于FAST组在早餐及午餐的能量摄入方面没有显著的差异。FAST组虽然相比于FED组在运动后摄入更多的能量(882 vs 783 kcal,p < 0.05),但是整体来看,FAST组全天的能量摄入相比于FED组减少了约443kcal(p < 0.001)。
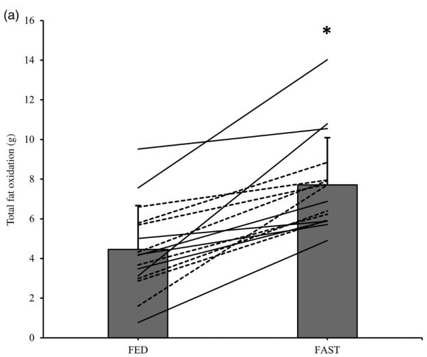
FAST组的全天热量消耗少于FED组约443kcal燃脂效果方面,FAST组具有更高的脂肪氧化效率:在30分钟的有氧骑行中,FED组燃烧的脂肪约4.5g,FAST组约7.7g,提高约为70%[6]。
FAST组具有更高的脂肪氧化效率除上述的结果以外,FAST组中的运动积极性、运动表现及运动后的享受程度显著低于FED组。不过,FAST组进食后的进食欲望(DTE)和预期进食量(PFC)相比于FED并没有显著差异。
关于如何减重,本研究给我们提供了一个可参考的模式:与其吃饱饭运动,不如尝试空腹运动,这样不仅可以燃烧更多的脂肪,还降低了全天的能量摄入,并且空腹运动的益处并不受时间的影响,傍晚空腹运动同样有效。
需要注意的是,上述的研究结果均基于短期内的试验,并且有严格的限制措施,试验时间外参与者不允许摄入任何食物,而这可能与现实情况有所出入。近期的一项网状meta分析显示,空腹运动后进食人员的24小时能量摄入并未显著降低[7],这表明参与者在试验外的进食,可能会抵消空腹运动带来的热量缺口。
除此之外,本研究表明空腹运动可能影响运动积极性、运动表现及运动后的享受程度,意味着长期而言空腹运动似乎不太容易坚持,不过空腹运动也有一些独特的优势,比如增加脂肪氧化效率、创造能量缺口和提高胰岛素敏感性[8],所以大家也可以自行权衡利弊来考量。
另外需要提醒的是,并不是所有人都适合空腹运动,对于有增肌需求和患有低血糖的人群来说,空腹运动可能会增加肌肉的消耗、加重低血糖[8],所以还需要根据自身身体条件和预期,选择合适的减重方式。
综上,本研究为我们提供了一种可能的减重思路。短期来看,空腹运动能够有效减少全天能量摄入,更有效地燃烧脂肪,不过其长期用于体重控制的可行性,还需要更进一步的研究。
参考文献:1.Melanson EL, Keadle SK, Donnelly JE, Braun B, King NA. Resistance to exercise-induced weight loss: compensatory behavioral adaptations. Med Sci Sports Exerc. 2013;45(8):1600-1609. doi:10.1249/MSS.0b013e31828ba942
2.《中国居民营养与慢性病状况报告(2020年)》:我国超过一半成年居民超重或肥胖 [J] . 中华医学信息导报, 2020, 35(24) : 15-15. DOI: 10.3760/cma.j.issn.1000-8039.2020.24.125.
3.Pan XF, Wang L, Pan A. Epidemiology and determinants of obesity in China [published correction appears in Lancet Diabetes Endocrinol. 2021 Jul;9(7):e2]. Lancet Diabetes Endocrinol. 2021;9(6):373-392. doi:10.1016/S2213-8587(21)00045-0
4.Edinburgh RM, Hengist A, Smith HA, et al. Skipping Breakfast Before Exercise Creates a More Negative 24-hour Energy Balance: A Randomized Controlled Trial in Healthy Physically Active Young Men. J Nutr. 2019;149(8):1326-1334. doi:10.1093/jn/nxz018
5.Bachman JL, Deitrick RW, Hillman AR. Exercising in the Fasted State Reduced 24-Hour Energy Intake in Active Male Adults. J Nutr Metab. 2016;2016:1984198. doi:10.1155/2016/1984198
6.https://medicalxpress.com/news/2022-11-stomach-fat.html
7.Frampton J, Edinburgh RM, Ogden HB, Gonzalez JT, Chambers ES. The acute effect of fasted exercise on energy intake, energy expenditure, subjective hunger and gastrointestinal hormone release compared to fed exercise in healthy individuals: a systematic review and network meta-analysis. Int J Obes (Lond). 2022;46(2):255-268. doi:10.1038/s41366-021-00993-1
8.Zouhal H, Saeidi A, Salhi A, et al. Exercise Training and Fasting: Current Insights. Open Access J Sports Med. 2020;11:1-28. Published 2020 Jan 21. doi:10.2147/OAJSM.S224919

责任编辑丨谭硕本文为澎湃号作者或机构在澎湃新闻上传并发布,仅代表该作者或机构观点,不代表澎湃新闻的观点或立场,澎湃新闻仅提供信息发布平台。申请澎湃号请用电脑访问http://renzheng.thepaper.cn。





- 报料热线: 021-962866
- 报料邮箱: news@thepaper.cn
互联网新闻信息服务许可证:31120170006
增值电信业务经营许可证:沪B2-2017116
© 2014-2026 上海东方报业有限公司




