- +1
量子纠缠概念的起源:谁是量子纠缠研究的最大功臣?
以下文章来源于墨子沙龙 ,作者施郁
墨子沙龙.
墨子沙龙是中国科学技术大学上海研究院于2016年起举办的沙龙活动,主要以面向大众的自然科学科普为主,后期还将陆续添加人文、艺术、健康等主题的讲座或讨论内容。墨子沙龙每月一次,邀请国内外知名科学家为大家讲述科学的那些事儿。
作者| 施郁
整整100年前,1922年,爱因斯坦在上海收到通知——他获得了1921年的诺贝尔物理学奖(1921年曾空缺)[1]。诺贝尔奖的颁奖词是:“奖励他对理论物理的工作贡献,特别是他作出的光电效应定律的发现。”[2]作为光量子假说的应用,“光电效应定律”是他1905年光量子论文[3]的一部分。爱因斯坦说过:“我思考量子问题的时间是相对论的一百倍。”[4]量子纠缠研究也是由爱因斯坦开创,那是在1935 [5] 。
1.量子力学、量子态和光子偏振
量子纠缠是量子力学中的一个概念。量子力学是电子、光子、原子核等微观粒子所服从的基本物理规律。而我们日常生活中肉眼可见的经典粒子服从经典物理。
量子力学起源于上世纪初。自上世纪二十年代以来,量子力学成为整个微观物理学的基本理论框架,并且取得了巨大的成功。在量子力学之前已经建立的物理学框架被则称作经典物理。量子力学的数学工具并不比经典物理的更复杂,但是量子力学的概念框架却与之截然不同。玻尔说:“没被量子理论震撼,你就没懂它。” 在人类思想史上,量子力学改变了实在观,是最重大的革命之一。
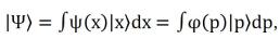
量子力学的中心概念是量子态[6]。顾名思义,“量子态”即“量子状态”。量子态并不是像质量、速度那样的物理量,而是一个类似概率的描述——从它可以计算出概率分布,但是又比概率的信息更多。当测量量子系统的某个属性时,量子态就以一定的概率(原来的量子态决定这个概率大小)随机变为明确具有这个属性的量子态之一。所以量子态包含了各种可能性。
比如,量子粒子在空间中的运动由一个量子态描述。粒子可以确定处于一个位置,也就是说,它的空间量子态代表它处于某个确定位置,叫做位置本征态。但是一般来说,描述空间运动的量子态是不同的位置本征态的叠加。也就是说,测量它的位置时,有一定的概率得到各种位置,从而量子态塌缩为相应的位置本征态。这个概率等于“位置波函数”大小的平方。
用数学符号表示,空间量子态可以写成
其中
是位置本征态,对x积分代表位置本征态的叠加,是位置波函数,
是测量位置得到x的概率。
量子粒子也可以具有确定的动量,这时的量子态是动量本征态。一般情况下,描述空间运动的量子态,同一个
,也可以看成不同的动量本征态的叠加。因此,测量动量时,有一定的概率得到各种动量,从而量子态塌缩为相应的动量本征态。这个概率等于“动量波函数”大小的平方。
用数学符号表示,
是动量本征态,对
积分代表动量本征态的叠加,
是动量波函数,
是测量动量得到p的概率。
用来叠加出原来量子态
的一套量子态叫做基矢态,统称基。采取测量哪个物理量(位置或动量)的测量方式,测量之后就得到哪个物理量的某个本征态。
再比如,光本质上是电磁波,有个内部性质叫偏振,是电场方向,总位于与光的传播方向垂直的平面上。电场沿着偏振方向振动,振动的快慢就是光的频率。麦克斯韦告诉我们,有振荡电场,就有形影不离的振荡磁场,与传播方向和电场都垂直,磁场最大值等于电场最大值(高斯单位制)或再除以光速(国际单位制)。太阳光是各种偏振光的混合,偏振太阳镜只允许太阳光中偏振方向与镜片透光轴一致的线偏振光通过。
光的偏振(图片来自网络)偏振方向可以用沿着这个方向的单位长度的箭头来代表。因为偏振方向总是垂直于传播方向,我们总可以在垂直于传播方向的平面上,设置一个直角坐标系,偏振箭头的起点位于原点,末端的横坐标和纵坐标就代表了偏振方向。
光是由光量子组成的(这是爱因斯坦1905年提出的,如上所述,他的诺奖工作就是这个假说的应用),光量子后来也称为光子。作为一种量子粒子,每个光子有一个内部状态,叫做偏振量子态,与宏观的光偏振箭头是一一对应的。
任意两个互相正交的方向(比如沿着两个位置轴)所对应的线偏振量子态也是互相正交的,由它们可以叠加成任何偏振量子态。
当一个光子到达一个透光方向沿着某方向的偏振片,光子要么完全穿透,要么完全不能穿透,而且是随机的。穿透的概率就是它原来的偏振量子态在透光方向的分量大小(类似于坐标)的平方,穿透后,光子偏振量子态就“塌缩”成沿着透光方向的态;如果光子没有穿透,那么偏振量子态就“塌缩”成垂直于偏振片透光方向的态,被吸收。两者的概率之和是1。当然,光子原来的偏振方向也可能正好沿着偏振片透光方向,在此特殊情况下,偏振量子态不发生变化。
偏振分束器(polarizing beam splitter,PBS)不存在偏振片里的吸收光子问题。它利用双折射效应,将入射偏振态分解为互相正交的两个线偏振态,而且分别沿互相垂直的两个方向出射。将一个双折射立方体晶体沿着对角面切开,得到半立方体,再将两个这样的半立方体拼回立方体(接触面涂上合适的介电涂层),得到偏振分束器。光垂直入射后,分成正常光和反常光。正常光偏振垂直于晶体光轴方向(当然也垂直于光传播方向),穿透过对角面,再沿原来的传播方向离开偏振分束器。反常光偏振方向垂直于正常光的偏振方向(当然也垂直于自己的传播方向),在对角面反射,所以,垂直于原来方向离开偏振分束器。
单个光子垂直进入偏振分束器后,随机地从两个可能的出口出来,如果是沿着原来的运动方向,那么偏振方向垂直于原来的运动方向,而且平行于两个拼接的半立方体的接触面;如果垂直于原来的运动方向,那么偏振方向就沿着原来的运动方向。
偏振分束器(图片来自网络)我们可以以水平和竖直方向的偏振态
和
作为基矢态;也可以以45度和135度方向的偏振态
和
作为基矢态,即
其中
是相对于水平方向的角度,
是相对于45度方向的角度。我们也可以以圆偏振态
作为基矢态。相对于运动方向,
是右旋,
是左旋,或者说,它们的螺旋度分别是1和-1。可以得到
刚才说过,光子偏振态与宏观电场的偏振是一一对应的。大量处于同样偏振态的光子到达偏振片后,它们当中,穿透偏振片的比例就是单个光子穿透的概率。所以宏观电场到达偏振片后,它沿着透光方向穿透过去,透射电场大小的平方与入射电场大小的平方的比值(即两者的能量之比),也就是上面式子中的正弦或余弦的平方,就是单个光子穿透的概率。
2.爱因斯坦- 波多尔斯基-罗森疑难
量子纠缠是复合系统的量子态的一种性质。所谓复合系统,是指由若干子系统构成的系统。如果至少有一个子系统没有独立量子态(这里所谓的独立量子态指量子纯态,量子纯态的意思是说,它不包含经典概率意义上的混合),那么就说这个子系统与其他子系统之间存在量子纠缠。也就是说,量子纠缠是由两个或两个以上子系统构成的整体的量子态性质,这个量子态叫做量子纠缠态。在数学和量子理论形式上,量子纠缠的概念很清楚。事实上,绝大多数量子态都是纠缠的。
最早对量子纠缠的研究是1935年5月爱因斯坦以及两位年轻同事波多尔斯基(Boris Podolsky)和罗森(Nathan Rosen)所作的讨论[5]。他们没有使用“量子纠缠”这个名词,但是发现了量子纠缠是一个有特别涵义的性质。事实上,量子纠缠也被称为爱因斯坦-波多尔斯基-罗森(EPR)关联。
1935年5月4日《纽约时报》关于EPR论文的报道:爱因斯坦攻击量子理论,他和两位同事发现量子理论即使“正确”,也是“不完备的”。爱因斯坦是量子力学的先驱。但是他对量子力学的概率性框架不满意,提出过很多质疑。逐渐地,他的质疑聚焦于量子力学的完备性,也就是说,他认为,客观实在的某些元素可能在量子力学中没有描述。而他的理论武器就是量子纠缠。
EPR考虑一对粒子从同一源出发,向相反方向运动,保持总动量为0,离源距离相同,也就是位移也相反。这里我给出一个简化形式,将源的位置定为0,将两个粒子的量子态表示为
L代表某个空间范围,其中
和
分别是第一个和第二个粒子的位置本征态。
这对粒子的动量和位置有很多可能性,测量第一个粒子,等概率随机得到一个x值,可以立即预测第二个粒子的位置这时肯定是-x。
而这个量子态
也可以写成
其中h是普朗克常数。因此如果测量第一个粒子的动量得到一个p值,那么就可以立即预测第二个粒子的动量肯定是-p。
EPR说,离开源后,这两个粒子再也没有相互作用,因此对第一个粒子的测量不可能改变第二个粒子。因此上面的论证说明,第二个粒子在不被干扰的情况下,位置和动量都可以确定地预测,因此它们都是第二个粒子的固有属性,都是客观实在的元素。
以上论证基于假设量子力学的描述是完备的,推导出位置和动量同时是客观实在的元素。但是量子力学中,位置和动量算符不对易,不可能同时有明确的值,所以不可能都是客观实在的元素。因此有矛盾。据此,EPR认为量子力学不完备。
EPR也预见到一种反对意见,就是有人可能提出,两个或多个物理量只有可以同时测量或预测时,才能说它们同时是客观实在元素,而位置和动量不是同时测量的。这个情况现在称为反事实 (counterfactual)。但是EPR认为这不合理。
EPR论文的标题是《物理实在的量子力学描述能被认为是完备的吗?》,摘要是:
“在一个完备的理论中,对应于每个客观实在的元素,都有一个理论元素。物理量实在性的一个充分条件是在系统不受扰动的情况下,这个物理量能被确定预言。量子力学中,由非对易算符描写的两个物理量的情况里,一个物理量的知识排斥另一个。所以要么(1)量子力学中的波函数所给出的实在的描述是不完备的,要么(2)这两个物理量不能同时具有实在性。考虑基于对某个系统的测量,对曾经与之作用过的另一个系统做出确定预言,导致的结果是,如果(1)是错的,那么(2)也是错的。因此结论是,波函数对实在的描述是不完备的。”
需要注意的是,测量第一个粒子后,只有测量者可以对第二个粒子做出预言。控制第二个粒子的人是不知道的,除非第一个粒子的测量者将信息传递给他,而这个信息传递是受到相对论等物理定律的制约的。这一点在量子信息中尤为重要。
3.薛定谔、玻尔和玻姆
EPR的工作引起薛定谔的巨大兴趣,与爱因斯坦有多次书信讨论,并于当年发表了几篇论文。其中一篇是《关于分离系统的概率关系的讨论》[7],里面写道:
“对于两个系统,我们通过它们各自的表示,知道它们的状态。当它们进入由它们之间已知力所导致的暂时的物理相互作用,经过一段时间相互影响之后,两个系统再分离,那么它们再也不能按照以前的方式,用各自的表示来描述。我不将此情况称作量子力学的一个特征,而称作特征(没有之一),它导致与经典思路的完全背离。通过相互作用,这两个表示(或者ψ-函数)纠缠起来。”
薛定谔在另一篇文章[8]里还讨论了后来变得很著名的“薛定谔猫”佯谬,基于原子核衰变与否与猫的死活之间的量子纠缠。
同年10月,玻尔用他的互补原理也对EPR做了回应[9]。互补原理是说,测量两个不对易的物理量,需要不同的测量仪器。玻尔认为,因为物体与测量仪器的相互作用,物体对测量仪器的反作用无法控制,经典因果律要抛弃;而对于EPR讨论的情况,不确定关系和互补原理依然适用,互补原理使得量子力学描述满足所有合理的完备性要求。玻尔特别指出,EPR的客观实在判据中,“对系统没有扰动”一说含义模糊。他说,虽然对一个粒子的测量对于另一个粒子没有力学相互作用,但还是对相应物理量赖以定义的情况有本质的影响。
可见,爱因斯坦试图做更深层次的讨论,揭示了量子纠缠与定域实在论(即定域性和实在论共同成立)的冲突。定域性是指,如果两个事件的空间距离大于光速乘以时间间隔,即所谓类空间隔,那么这两个事件不可能有因果关联,这是狭义相对论的要求。实在论是指,观测量在被观测之前就已经确定了,与测量无关。EPR提出,基于对第一个粒子的测量,对第二个粒子没有扰动而确定预言的物理量是一个客观实在的元素。这与量子力学冲突。
所以量子纠缠的研究应该溯源归功于爱因斯坦。虽然后来实验上否定了定域实在论,但是爱因斯坦开辟了这个领域。量子纠缠研究最大的功臣就是爱因斯坦,正如他在别处所说,提出问题往往比解决问题更重要。
玻尔坚持,量子力学就是理论的一切,认为客观实在就是这样,而无视定域性和实在性的概念。他的意思是,测量第一个粒子时,虽然对第二个粒子没有物理作用,但是第二个粒子依然受到影响。这只是复述量子力学的规则,没有回答EPR的质疑。很多物理学家根据玻尔的结论,以为问题已经解决,而不去深究里面的细节。
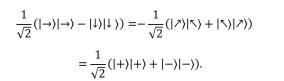
爱因斯坦等人讨论的位置或动量是连续变量。1951年,玻姆(David Bohm)首次使用更为简单的两个自旋-的量子态来讨论这些问题[10],如
今天人们将这两个纠缠态与另外两个纠缠态
统称为贝尔态。这4个态组成一组基,叫贝尔基,在贝尔基上的测量叫做贝尔测量。
4.偏振版本的EPR推理
自旋
的量子态类似于光子偏振态,但是因为自旋量子数是
,
与
正交,构成一组基。而对于光子偏振,
,物理上,只是相差一个相位的同一个量子态,
才组成一组基。
对于光子偏振态,考虑一个纠缠态例子
这三种表达方式是用了不同的基,但是它们都是用一个纠缠态。如果测量第一个光子偏振,看它是水平
还是竖直
,那么结果当然就是这二者之一。如果第一个光子偏振被测到是水平,就可以预言第二个光子的偏振量子态也塌缩为水平;如果第一个光子偏振被测到是竖直,就可以预言第二个光子的偏振量子态也塌缩为竖直。
如果测量第一个光子是
还是
,或者测量是
还是
,情况也类似。
偏振是内部性质,与空间距离无关。所以两个纠缠的光子是可能相距很远的。但是相距很远意味着在分开的过程中,更容易受到外界扰动,所以纠缠也更容易受到破坏。
我们再用这个纠缠态,给出EPR论证的偏振版本。测量第一个光子的偏振是水平还是竖直,如果测到是水平(竖直),可以明确(100%概率)预言另一个光子的偏振也是水平(竖直)。因为两个光子相距类空距离(没有物理信号传递),参照EPR的论证,对一个光子的测量不会影响到第二个光子。因此第二个光子的水平-竖直偏振性质是一个客观实在元素(事先就确定了)。
由类似的论证可知,第二个光子的45度-135度偏振性质也是一个客观实在元素。
而在量子力学中,光子偏振量子态是水平或竖直时,测量到45度或135度都有可能,反过来也如此(也就是,相应的算符不对易,不能同时有确定的值)。因此水平-竖直和45度-135度这两对性质不能同时是客观实在元素。
所以按照EPR的思想,定域实在论与量子力学完备性矛盾。EPR认为定域实在论无可动摇的,所以量子力学不完备。
5.吴健雄
1957年,玻姆和阿哈罗诺夫(Yakir Aharonov)指出 [11],1950年吴健雄和萨克诺夫(Irving Shaknov) [12] 实现了光子偏振关联(玻姆-阿哈罗诺夫并没有用“纠缠”一词)。吴健雄和萨克诺夫测量正负电子湮灭产生的光子对的康普顿散射,准确验证了量子电动力学。正负电子湮灭产生2个光子,偏振总是正交,分别被电子散射。对于不同散射角,测量这2个光子运动方向垂直和平行两种情况下,“符合概率”的非对称性,也就是这两种情况的概率的差别。吴健雄与萨克诺夫的γ探测器敏感度是前人的10倍,测到非对称性是2.04∓0.08,非常符合理论值2.00。
玻姆-阿哈罗诺夫也从理论上证明,非纠缠态不能给出吴健雄和萨克诺夫的实验结果。虽然吴健雄和萨克诺夫的关注点不在于量子纠缠,事实是,他们第一次在实验上实现了明确的、空间分离的量子纠缠态。他们实现的是光子偏振纠缠态,用我们今天的表达式,就是
参考文献
[1] 施郁. 100年前的今天,逗留上海的爱因斯坦收到诺奖通知. 知识分子, 2022-11-13.
[2] 2022年诺贝尔物理学奖官方资料,诺贝尔奖官网Nobelprize.org.
[3] Einstein A. Über einen die Erzeugung und Verwandlung des Lichtes betreffenden heurischen Gesichtspunkt[J]. Ann. Phys. 1905, 17: 132-148.
[4] Pais A. Subtle Is the Lord, Oxford University Press, 1982.
[5] A. Einstein, B. Podolsky, and N. Rosen, Can Quantum-Mechanical Description of Physical Reality Be Considered Complete?[J]. Phys. Rev. 47, 777-780 (1935).
[6] 施郁. 揭秘量子密码、量子纠缠与量子隐形传态[J]. 自然杂志,2016年38卷4期,241-247。
[7] Schrödinger E. Discussion of probability relations between separated systems[C]//Mathematical Proceedings of the Cambridge Philosophical Society. Cambridge University Press, 1935, 31(4): 555-563.
[8] E. Schrödinger, Die gegenwartige Situation in der Quantenmechanik[J]. Naturwissenschaften, 23: 807-812; 823-828; 844-849 (1935).
[9] N. Bohr, Can Quantum-Mechanical Description of Physical Reality be Considered Complete?[J]. Phys. Rev. 48, 696-702 (1935)。
[10] David Bohm, Quantum Theory, Prentice-Hall, New York, 1951.
[11] Bohm D, Aharonov Y. Discussion of experimental proof for the paradox of Einstein, Rosen, and Podolsky[J]. Physical Review, 1957, 108(4): 1070.
[12] Wu C S, Shaknov I. The angular correlation of scattered annihilation radiation[J]. Physical Review, 1950, 77(1): 136.
END
更多精彩文章请点击下面“蓝字”标题查看:对麦克斯韦方程组拓展的评论王青教授:深入理解“拓展的麦克斯韦方程组”——2.0版王青教授:理解王中林院士“拓展的麦克斯韦方程组”“碰瓷”麦克斯韦:伽利略协变和洛伦兹协变电磁场论趣谈热点:运动介质洛伦兹协变电磁理论2021年《物理与工程》优秀论文、优秀审稿专家、优秀青年学者名单王青教授:源自苏格拉底的问题驱动式教育——在互动中共同学习和成长读后感:教育中的现实和远方王青教授:昨晚(6月9日),清华电动力学期末考试朱邦芬院士:“减负”误区及我国科学教育面临的挑战《物理与工程》2022年第2期目录乐永康:新冠肺炎疫情防控下美国物理实验教学及中美情况对比顾牡:对于重新制定的《非物理类理工学科大学物理课程教学基本要求》的认识和体会朱邦芬院士:从基础科学班到清华学堂物理班朱邦芬院士:对培养一流拔尖创新人才的思考李学潜教授:物理是一种文化李学潜教授:如何帮助物理系学生迈过从高三到大一这个坎穆良柱:物理课程思政教育的核心是科学认知能力培养穆良柱:什么是物理及物理文化?穆良柱:什么是ETA物理认知模型穆良柱:什么是ETA物理教学法吴国祯教授:我的国外研究生经历印象——应清华大学物理系“基科班20年·学堂班10年纪念活动”而写
陈佳洱,赵凯华,王殖东:面向21世纪,急待重建我国的工科物理教育王亚愚教授:清华物理系本科人才培养理念与实践葛惟昆教授:关于中外人才培养的几点思考安宇教授:为什么传统的课堂讲授模式需要改变安宇教授:其实教学就是积累的过程刘玉鑫教授:关于本科生物理基础课程教学和教材编著的一些思考沈乾若:重创理科教育的美加课程改革Henderson C:美国研究基金支持下的物理教育研究及其对高等物理教育的影响《物理与工程》期刊是专注于物理教育教学研究的学术期刊,是中国科技核心期刊,1981年创刊,欢迎踊跃投稿,期刊投审稿采编平台:
http://gkwl.cbpt.cnki.net
欢迎关注
《物理与工程》微信公众号
原标题:《量子纠缠概念的起源:谁是量子纠缠研究的最大功臣?》
本文为澎湃号作者或机构在澎湃新闻上传并发布,仅代表该作者或机构观点,不代表澎湃新闻的观点或立场,澎湃新闻仅提供信息发布平台。申请澎湃号请用电脑访问http://renzheng.thepaper.cn。





- 报料热线: 021-962866
- 报料邮箱: news@thepaper.cn
互联网新闻信息服务许可证:31120170006
增值电信业务经营许可证:沪B2-2017116
© 2014-2026 上海东方报业有限公司




