- +1
从统计的角度看混沌
原创 丁玖 返朴从直观的意义上来理解,混沌和统计两个术语,显而易见地意味着不确定性。而当我们深入到数学的细微处,却会发现,混沌的特征往往发生在确定性意义上,而从内在不确定的统计意义出发,却可以找寻到混沌的几许确定性。其间向我们展示着混沌的不尽风光。
撰文 | 丁玖(美国南密西西比大学数学系教授)
这篇科普文章如同它的标题所言,关心的是“从统计的角度看混沌”,但为了进入这个主题,我们不得不首先谈论“确定性意义上的混沌”,这也是人们通常所理解的“混沌”所指。只有对通常意义上的混沌基本概念至少略知一二,历经“从有序到无序”的函数迭代风光之旅,才会合乎逻辑并从容不迫地进一步追问:确定性意义上的混沌在概率统计的意义上会发生什么?
让我们考察一个映射y = S(x),它把定义域映到自身内,这样我们就可以迭代S,即取定义域内的一个初始点x0,带入到S的表达式中计算出其对应的映射值,得到下一个点x1,再将x1带入到S的表达式中进行计算,就得到再下一个点x2,一般地,对所有的自然数n = 1, 2, 3, …,在得到第n-1个迭代点xn-1后,将它带入到S的表达式中计算,就得到第n个迭代点xn。如此这般,我们获得S的一个迭代点列(也称为S的一个迭代点轨道,或简称为轨道):
x0,x1,x2,… ,xn,…
如果映射S的定义域中有个点x*,满足S(x*) = x*,这个点就称为S的一个不动点。不动点在代数上的意义就是方程S(x) = x的解,而在几何上的意义就是映射S在xy-直角坐标系中的图像与坐标轴的对角线y = x的交点。
取一个初始点x0,如果将映射S迭代到第n步后,又第一次返回到初始点x0,即迭代从初始点算起的前n个点
x0,x1 = S(x0), x2 = S(x1) = S2(x0),…,xn-1= S(xn-2) = Sn-1(x0)
互不相同,但第n个迭代点xn= S(xn-1) = Sn(x0)恰好等于初始点x0,则称x0为S的一个周期为n的周期点,其对应的点列
x0,x1, x2,…,xn-1
称为S的一个周期-n轨道。上面的记号Sn表示n个S复合而成的复合映射,即S0(x) = x,S1(x) = S(x),S2(x) = S(S1(x)),S3(x) = S(S2(x)),等等。显见一个周期-n轨道中的每一个点都是周期为n的周期点。不动点就是周期为1的周期点。从周期点开始的迭代点列是其周期轨道的“周而复始”而无穷地复制下去,因此该点列的最终性态是已知的,或言之,是可以预测的。
但是,当初始点不是周期点时,由此出发的迭代点列的最终性态是不是一定不可以预测?
如果我们稍嫌通过数值计算映射值来迭代映射太花费时间,我们可以沿着一条几何的快捷路径急速行走,这样就能更直观地检视迭代点列的“行动路线”。
首先作出映射y = S(x)的图像,然后在坐标轴的对角线y = x上找到坐标为(x0,x0)的点,它代表了迭代的初始值。然后从那个点出发向上或向下沿着竖线走,一直走到和映射的图像相交为止,在交点处向左或向右转弯沿着横线走,一直走到和对角线相交为止,这个交点就代表着第一个迭代点x1。然后从这点向上或向下沿着竖线走,一直走到和映射的图像相交,在交点处向左或向右转弯沿着横线走直到和对角线相交,这个交点则代表着第二个迭代点x2。如此走下去,我们就依次得到对角线上代表迭代点x0,x1,x2,x3,x4,x5,…… 的一个点列。
我们先迭代几个非常简单的映射来个热身。考虑线性映射
S(x) = x/2。
显然x* = 0是S唯一的不动点。从任一初始点x0出发,第n个迭代点xn = x0/2n,故当n趋于无穷大时,xn趋向于极限0。在初始点取为1时,这就是庄子名言“一尺之捶,日取其半,万世不竭”的意思。因为不动点0“吸引”了其周围各点的迭代点列,它被称为是吸引的不动点。从下面的几何迭代法图示中,上述结论一目了然。
因此对这个线性映射,所有初始点的迭代点列的最终性态是趋向于不动点0,这是在迭代之前就可以预测到的。对于另一个线性映射
S(x) = 2x,
0依然是唯一的不动点,但对任何不等于0的初始点x0,第n个迭代点xn = 2n x0,故当n趋于无穷大时,xn趋向于无穷大或负无穷大,这取决于x0是正数还是负数。因而所有迭代点列的最终性态也是可以预测的。由于不动点0“排斥”了从周围的各点出发的迭代点列,它被称为是排斥的不动点,如下图所示。
上面两个典型的线性映射只有不动点,没有周期点。下面我们看看有周期点的一个例子:
S(x) = - x3。
0还是唯一的不动点,但S有了一个周期-2轨道1,-1。从下面的几何迭代图示
就可知道,对位于开区间(-1,1)内的任意一个初始点x0,迭代点列{Sn(x0)}将趋向于极限0,故不动点0是吸引的,而当初始点x0的绝对值大于1时,迭代点的绝对值数列{| Sn(x0)|}将趋向于无穷大。也就是说,S的周期-2轨道1,-1排斥了从它附近的各点出发的迭代点列。上面映射的逆映射
S-1(x) = - x1/3
给出了周期轨道的另一个性质。图示
告诉我们,现在0变成了排斥的不动点,而周期-2轨道1,-1则成了吸引的了,理由是当非零初始点x0的绝对值小于1或大于1时,点列{(S-1)n (x0)}都会趋向于周期-2轨道1,-1。这两个非线性映射都展示出对所有初始点,迭代点列的最终性态都是可以预测的。此外,除了唯一的不动点和两个周期为2的点外它们没有其他的周期点。
对于曾在人口动力学中引起“混沌热潮”的逻辑斯蒂映射
Sμ(x) = μx(1-x),
我们将看到另一番景象。这里的参数μ在0和4之间取定,以保证Sμ将区间[0,1]映到自身,因而对属于[0,1]的初始点可以永远迭代下去。虽然被迭代的映射是个简单的二次多项式,但对于参数取值的不同范围,迭代点序列展现了丰富多彩的现象。
首先,当0 < μ ≤ 1时,Sμ在[0, 1]中只有0这个不动点,而当1 < μ ≤ 4时,Sμ增加了一个不动点1 – 1/μ。澳大利亚籍的科学家梅(Robert May,1936-2020)以及美国物理学家费根鲍姆(Mitchell Feigenbaum,1944-2019)在上世纪的70年代分别对研究Sμ的迭代留下了里程碑式的工作。前者被英国女王封爵,后者荣获了沃尔夫物理学奖。
用初等代数加上初等微积分可以证明,当0 < μ ≤ 1时,唯一的不动点0是吸引的;当1 < μ ≤ 3时,0变成了排斥不动点,但第二个不动点1 – 1/μ是吸引的;而当3 < μ ≤ 1 + √6 ≈ 3.45时,两个不动点都是排斥的,但这时产生了一个吸引的周期-2轨道。更进一步,存在参数μ值的一个严格单调递增无穷序列{μn},其中μ0 = 3,μ1 = 1 + √6,使得当参数μ 满足条件μn-1 < μ ≤ μn时,
1. 0和1 – 1/μ是Sμ的两个排斥的不动点;
2. 对所有k = 1,2,…,n-1,Sμ有一个排斥的周期-2k轨道;
3. Sμ有一个吸引的周期-2n 轨道。
由于当μ通过这些特殊值μn后,周期点的个数和性质发生了改变,因此每个μn被称为带参数映射族{Sμ}的分叉点,而由于每次分叉后产生了一个新的周期加倍的周期轨道,这一依赖于参数变化的迭代过程称为倍周期分叉。分叉点序列{μn}单调递增并且有上界,它必定收敛到一个数,其极限为μ∞ = 3.61547…,被命名为费根鲍姆数。
尽管逻辑斯蒂映射的迭代过程在参数经过一个又一个分叉点后看上去愈来愈复杂,但是如上所述,当μn-1 < μ ≤ μn时,对几乎所有的初始点,其迭代点列最终将收敛到那个吸引的周期-2n 轨道,因而迭代过程的最终性态还是可以预测的,这些都属于“有序”的范畴。到目前为止,我们碰到的周期点的周期只是1和2的一些次方,而看不到周期为其他正整数的周期轨道。读者自然会问:当一个映射具有一个周期为3的点时,情况会怎么样?近半个世纪前马里兰大学的一位华人博士研究生李天岩(1945-2020)和他的博士论文导师约克(James Yorke,1941-)教授,在一篇著名文章《周期三则意味着混沌》(Period Three Implies Chaos)中,回答了这个问题,而且答案是令人惊奇的:
李-约克定理 设S是一个连续映射,将定义域区间映到自身。如果它有一个周期为3的点,则
1)对任一自然数n,S有一个周期为n的点。
2)存在定义域内的一个不可数的子集A,它不包含周期点,使得对A中任意两个不同的点x0和y0,分别从它们出发的对应迭代点的距离序列| Sn(x0) - Sn(y0)|当n趋于无穷大时,下极限为0,而上极限大于0。
3)对A中任一点x0及任一周期点p,分别从它们出发的对应迭代点的距离序列| Sn(x0) - Sn(p)|当n趋于无穷大时,上极限大于0。
定理结论中的后两部分用到了数列的上、下极限概念,对这个概念不熟悉的读者可以这样直观地理解:在n趋于无穷大的过程中,分别与初始点x0和y0对应的迭代点Sn(x0)和Sn(y0)无穷多次地相互靠近(“吸引”),又无穷多次地相互离开(“排斥”)。李-约克定理说明,存在比所有的自然数还要多的初始点x0,不仅由它们出发的迭代点列 {Sn(x0)} 不可能收敛,而且它们的最终性态也是不可预测的,其主要特征表现在迭代点列对于初始条件的敏感依赖性。
这种由周期-3点的存在性而导致的确定性意义上的迭代点轨道不规则或“无序”的行为,足以让李天岩和约克在他们的文章中第一次定义了数学名词——混沌。这篇于1975年12月刊登在世界范围内读者人数最多的数学期刊《美国数学月刊》(The American Mathematical Monthly)上的八页短文,在普林斯顿高等研究院的物理学家戴森(Freeman Dyson,1923-2020)于2008年为美国数学会该年度的“爱因斯坦讲座”而准备的演讲稿《鸟与蛙》(Birds and Frogs)中,被称为“数学文献中不朽的珍品之一。”这篇数学文章迄今已被引用了超过5500次,它的思想火花被六十年前“混沌之父”、麻省理工学院气象学教授洛伦茨(Edward Lorenz,1917-2008)关于天气预报的那篇迄今引用次数超过26500次的文章《确定性的非周期流》(Deterministic Nonperiodic Flow)所点燃,可见部分伟大数学定理的来源根植于自然界的某些科学发现之中。
我们举一个例子来帮助大家理解。最简单的非线性映射——帐篷映射T,是这样被定义的:当x属于[0,1/2]时,T(x) = 2x, 而当x属于[1/2,1]时,T(x) = 2(1-x)。它是一个逐段线性的函数。显而易见,它有一周期-3轨道2/7,4/7,6/7;见下图
中的一个“回路”。因而由李-约克定理知道帐篷映射是“李-约克混沌”的。事实上,对于[0,1]中几乎所有的初始点x0,其对应的迭代点列{Tn(x0)}在[0,1]中稠密,即任给[0,1]中的一个实数x,存在{Tn(x0)}的一个子序列收敛到x,因此这些迭代点好像如随机数那样在[0,1]中跳来跳去,根本无法预测它们未来的走向。另一个例子,通过一个类似矩阵相似变换那样所谓的“共轭变换”,我们可以找到当μ取4时的逻辑斯蒂映射S4(x) = 4x(1-x)的一个周期-3轨道
sin2 (π/7),sin2 (2π/7),sin2 (4π/7),
所以它也是一个混沌映射。当自变量x限制在单位区间[0,1]上,它的图像是在单位正方形[0,1]2中“顶天立地”的抛物线:
同样,对[0,1]中几乎所有的初始点x0,迭代点列{(S4)n(x0)}在[0,1]中处处稠密。然而,我们下面将知道,这些点列在区间中的分布方式和上面的帐篷映射完全不一样。总而言之,对于像帐篷映射T和逻辑斯蒂映射S4这样看似十分简单的非线性映射,对于几乎所有的迭代点列,其未来的最终走向是不可预测的。这是在“确定性意义”上的混沌,即当迭代的当前点知道后,下一个迭代点是由映射唯一所确定的,但从全局来看,迭代点又像随机数那样到处乱走,看上去似乎没有什么规律可循。由于这种迭代点的随机性并非来自像掷骰子那样的完全随机性,而是可以被认为是“局部确定性,长期随机性”,故此时混沌点列最终走向乱七八糟的状态也被称为“拟随机性”。
如上可见,对于混沌的映射,它的迭代点列的最终性态几乎是无法预测的,因而人们似乎对其长期行为难以琢磨,一筹莫展。是吗?对它们真的就找不到可循的规律吗?好的,现在让我们从另外一个角度来看混沌,也就是说,我们再从统计的观点来检视确定性意义上的混沌。
为了从统计的角度来观察混沌,我们再回到帐篷映射T。让我们在定义域区间[0,1]中取一个固定的子区间,比方说[1/4,3/5]。在区间[0,1]内随机地取一个初始点x0,我们已经知道迭代点序列{Tn(x0)}在这个区间里如同随机数那样毫无章法地蹦来蹦去,但是我们来问一问下面这个问题:在这个迭代点列中的所有点中,跳进子区间[1/4,3/5]的频度是多少?或者说,在所有的迭代点中,那些进入[1/4,3/5]中的点所占的比例有多大?这是一个统计问题,或者说是一个概率问题。
在求解这个问题之前,我们指出帐篷映射的一个明显事实。给定[0,1] 的任意一个子区间I,由下面的图示
可见I的长度与它在帐篷映射下的逆像T-1(I)(两个有I的一半长度的子区间之并集)的长度一样。如果用专业一点的术语来说,作为区间长度概念之推广的“勒贝格测度”在帐篷映射下是一个“不变测度”,而帐篷映射是一个保持勒贝格测度不变的“保测变换”。换言之,对于[0,1]的任意一个像模像样的子集(称为勒贝格可测子集),它的勒贝格测度等于它在帐篷映射下的逆像的勒贝格测度。法国数学家勒贝格(Henri Lebesgue,1875-1941)于上世纪初创立的“积分论”,是现代分析数学中不可或缺的基本工具。要回答迭代点列{Tn(x0)}中的无穷多个点落到[1/4,3/5]的频度这个问题,我们先数一数,这个点列中的前n个点,即
x0,T(x0), T2(x0),…,Tn-1(x0)
中有多少个点进入[1/4,3/5]。为了在数学上回答这个计数问题,我们引入一个集合A的“特征函数” χA概念,它的定义是:若x属于A,则χA(x)等于1,若x不属于A,则χA(x)等于0。我们把在大学数学系的分析课程《实变函数论》中用来定义勒贝格积分第一步的这个特征函数,作为计数器用在这里。只要动动脑筋想一想,就会知道下面这个n个“非0即1”的数的和式
恰恰表示前n个迭代点中进入[1/4,3/5]的那些点的个数。将这个非负整数再除以总的迭代点个数n,即
就是n个迭代点中落到区间[1/4,3/5]的点的相对频度。我们的目的是求出整个无穷迭代点列中进入[1/4,3/5]的那些点的频度,很自然就必须取n趋于无穷大时上述相对频度的极限了。假如极限
存在,则这个极限值就是迭代点列{Tn(x0)}落到子区间[1/4,3/5]之中的频度或频率。它的更加专业的术语是T从初始点x0出发的迭代点列落到子区间[1/4,3/5]内的时间平均。
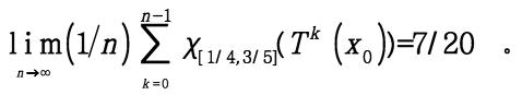
早在上世纪的30年代初,美国数学家伯克霍夫(George Birkhoff,1884-1944)发表了遍历理论中的第一个遍历定理,现被称为“伯克霍夫逐点遍历定理”,有别于比它更早几个月用泛函分析方法证明出的“冯·诺伊曼平均遍历定理”。逐点遍历定理断言,如果一个关于某个概率测度的保测变换像帐篷映射T和逻辑斯蒂映射S4那样也是“遍历”的,即该变换具有某种意义上的“不可分解性”,则上述的频率或时间平均对几乎所有的初始点都存在,并且恰好等于所考虑子区间通过不变概率测度而算出来的概率测度值,称之为空间平均。由于区间[0,1]上的勒贝格测度是帐篷映射的不变概率测度,而[1/4,3/5]的勒贝格测度值就是其长度7/20,因此对几乎所有的初始点x0,有
换言之,帐篷映射从几乎所有初始点x0出发的迭代点列{Tn(x0)}进入子区间[1/4,3/5]的频率,恰好等于同一个数——区间[1/4,3/5]的长度7/20!这里有必要对伯克霍夫介绍两句。在他之前,美国名望最高的那几个数学家都是在欧洲几大科学圣地锻造成钢的,如他在芝加哥大学的博士论文导师穆尔(Eliakim Hastings Moore,1862-1932)。伯克霍夫虽然是美国的“土博士”,日后却成了世界著名的数学家,而且一生执教于哈佛大学,并带动它的数学系脱胎换骨,成为美国乃至全球的数学研究重镇。他出道后的第一项大贡献是证明了庞加莱“最后的定理”,成为美国动力系统这一广泛领域的祖师爷。他的儿子长大后也出任哈佛的数学教授。
伯克霍夫逐点遍历定理关于帐篷映射的更一般结论是:任给定义域区间[0,1]的任一个勒贝格可测子集A,对于[0,1]中几乎所有的初始点x0,都有
的勒贝格测度。
这说明,尽管在确定性意义上帐篷映射是混沌的,具有对初始点的敏感依赖性,即初始点的微小变化导致迭代点列的可观变化,但在统计的意义上,对几乎所有的初始点,迭代点列进入定义域区间的任一“可测子集”的频率却是与初始点的选取无关的一个固定数,这个常数恰好等于所取子集的勒贝格测度。由此推出,对几乎所有的初始点,其迭代点列在[0,1]上是一致分布的。
如上结论表明,在确定性意义上的混沌,在统计的意义上却可以失去“混沌”,而变得极有规律可循,这个规律数学上归功于伯克霍夫逐点遍历定理的发现。在物理上有类似的观察:就微观而言,单个分子的运动轨迹是紊乱无序的,但是在宏观的尺度上,大量分子的运动是有统计规律可循的,这就导致统计物理这门重要学科的诞生。事实上,冯·诺伊曼(John von Neumann,1903-1957)和伯克霍夫等人所证明的第一代遍历定理,最初的动因就是来自于从数学上探讨统计物理中“玻尔兹曼遍历假设”是否具有合理性。
我们再看看另一个有名的混沌映射——逻辑斯蒂映射S4(x) = 4x(1-x)的情形。现在定义域区间[0,1] 中的子区间I的长度不再等于它在S4下的逆像(S4)-1(I)(也是两个子区间的并集)的长度,换言之,勒贝格测度不再是S4的不变测度了。但是,如果我们定义一个新的“测度”,它将区间[a,b]的测度或“广义长度”定义为一个在(0,1)上处处为正的函数
f*(x) = 1/[π√(x-x2)]
在[a,b]上的积分值,记为μf*([a,b])。函数f*表达式分母中有π是为了保证它在[0,1]上的积分等于1,使得它成为一个密度函数。由于上述概率测度μf*是由密度函数f*所定义的,我们说它是绝对连续的。动一下手算一下积分,就可以简单地证明逻辑斯蒂映射保持这个概率测度不变,即
μf*( (S4)-1( [a,b])) = μf*([a,b])
对[0,1]的所有子区间[a,b]都成立。这样,伯克霍夫逐点遍历定理告诉我们,逻辑斯蒂映射从几乎所有初始点x0出发的迭代点列{ (S4)n(x0)}进入子区间[a,b]的频率,等于[a,b]的新测度值:
由于上面这个密度函数的图像是像对称悬链线那样“向上弯曲”的,其结果是如果[0,1]中的两个小区间具有一样的通常长度,但它们中的一个靠近[0,1]的某个端点,另一个却靠近中间,则位于靠近边缘的那个子区间上方、被函数1/[π√(x-x2)]的图像压住的曲边矩形有大一点的面积,也就是说它有较大一点的μf*测度值,如下图所示:
因而迭代点列落到这个子区间的频率比落到另一个子区间的频率要大。这实际上表明迭代点的序列在[0,1] 上不是一致分布的。由此可见,帐篷映射T与逻辑斯蒂映射S4在确定性意义上虽然都是混沌的,但它们各自的迭代点分布方式却是不一样的。它们分别按照某一个“概率密度函数”而在[0,1]上分布,前者以常数函数1的方式均匀分布,而后者则由无界的密度函数1/[π√(x-x2)]确定其迭代点列在定义域上的分布。决定逻辑斯蒂映射迭代点列分布规律的这个特别的密度函数f*,早在1947年就被美国“氢弹之父”乌拉姆(Stanislaw Ulam,1909-1984)和“电子计算机之父”冯·诺伊曼发现了。现在的问题是,任意给出一个将[0,1]映到自身的混沌映射S,我们怎样去寻找一个在S下不变并且是绝对连续的概率测度呢?换言之,怎样找到一个密度函数f*,它所定义的绝对连续概率测度
μf*([a,b]) = ∫[a,b] f*(x) dx,
是S的不变概率测度?如果找到了它,这个混沌映射的迭代点序列{Sn(x0)}在定义域区间上的统计分布规律就会借助于伯克霍夫逐点遍历定理而得到。
对这个问题的回答,需要一个以两个德国人名字命名的算子:弗罗贝尼乌斯-佩隆算子。其实弗罗贝尼乌斯(Georg Frobenius,1849-1917)和佩隆(Osar Perron,1880-1975)这两人与该算子并无多大的关系,完全是因为他们的名气太响,以至于后人给他们再添名气,就像解非线性方程组著名的“牛顿法”名字也是“张冠李戴”所致。但是这个算子被如此命名还是有些道理的,因为在一百多年前,先是由年轻的佩隆 (1907年) 然后由资深的弗罗贝尼乌斯 (1912年) 分别对正矩阵和更广的不可约非负矩阵证明了他们的谱定理,主要内容之一为谱半径是特征值。这一套理论现以“非负矩阵的佩隆-弗罗贝尼乌斯理论”冠名,而这里提及的无穷维线性正算子和非负矩阵共享不少良好的性质,这就给予乌拉姆足够的理由在他的不朽著作《数学问题集》(A Collection of Mathematical Problems) 中慷慨地借用了他们俩的大名。弗罗贝尼乌斯-佩隆算子的正式定义需要测度论知识,但我们可以用一个人人都懂的简单例子来描绘这个算子的基本思想。
假设两个物理系的教授张三和李四及数学系的一位教授王五申请某项研究基金,他们各自成功的概率分别为1/2,1/3和1/6。试问物理系和数学系获得该基金的概率为多少?
这个问题连小学生都能解答,但是我们为了说明问题,故意用“高射炮打蚊子”的方式来求解。定义一个映射S,它把张教授和李教授映到物理系,把王教授映到数学系。在映射S的定义域{张教授,李教授,王教授}上已经给出了一个概率分布{1/2,1/3,1/6},而通过S可将其定义域上的如上概率分布很自然地转移到其值域{物理系,数学系}上,即子集{物理系}的概率是它在S下的逆像{张教授,李教授}的概率1/2+1/3= 5/6,而子集{数学系}的概率是它在S下的逆像{王教授}的概率1/6。将定义域上的概率分布通过映射S转移到值域上的概率分布的这一依从关系,被称之为S所对应的弗罗贝尼乌斯-佩隆算子,记为PS。
我们把上面转移概率分布的思想用于一个混沌映射
S:[0,1] → [0,1]。
任给定义域上的一个概率测度μ,对于[0,1]中的每一个子区间I,我们将它在S下的逆像S-1(I)的概率测度值μ(S-1(I))转移到它身上来,即I的新的概率测度值等于S-1(I)的旧的概率测度值。这种将概率分布μ 变为把μ与逆像运算S-1复合而成的概率分布的变换,称为对应于映射S的弗罗贝尼乌斯-佩隆算子PS。当概率分布μ由密度函数f所定义,即I的测度值μ(I) = ∫I f(x) dx时,在所论映射是“非奇异”的假设下,μ与逆像运算S-1复合而成的测度由一个记为PSf的密度函数确定,这个密度函数满足下面的等式
∫I PSf(x) dx = ∫I* f(x) dx,
其中I* = S-1(I)。由于上式对所有的子区间I都应该成立,我们可以取I = [0,x],故有
∫[0,x] PSf(t) dt = ∫I* f(t) dt,
其中I* = S-1([0,x])。两边对变量x 求导数,再利用微积分基本定理,就得到弗罗贝尼乌斯-佩隆算子的显式表达式
PSf(x) = Dx ∫I* f(t) dt,I* = S-1([0,x]),
其中Dx表示对自变量x求导运算。
我们算一算当S是逻辑斯蒂映射4x(1-x)时,其对应的弗罗贝尼乌斯-佩隆算子的表达式是什么样子的。通过下图
的演示,可以知道[0,x]在S下的逆像 S-1([0,x])是两个区间[0,(1-√(1-x))/2] 和[(1+√(1-x))/2,1]的并集,故由上述的公式得PSf(x) = [(1-x)-1/2/4]{f((1-√1-x)/2) + f((1+√1-x)/2)}。
不难验证,密度函数f*(x) = 1/[π√(x-x2)]是上述算子的不动点,即PSf*(x) ≡ f*(x)。因为f*是PS的不动点,我们也把它称为PS的一个不变密度函数。它所定义的概率测度决定了混沌映射迭代点列的统计性质。
至于帐篷映射T,因为[0,x]在T下的逆像 T-1([0,x])是两个区间[0,x/2] 和[1-x/2,1]的并集,其对应的弗罗贝尼乌斯-佩隆算子有简单的表达式
PTf(x) = (1/2){f(x/2) + f(1-x/2)}。
显然,常数函数f*(x) ≡ 1是它的不变密度函数。这就解释了为何帐篷映射对几乎所有的初始点,其迭代点序列在[0,1]上是一致分布的。
一般来说,确定性意义上的混沌映射,在统计的意义下常常具有正规的性态,它所对应的弗罗贝尼乌斯-佩隆算子的不变密度函数给出了混沌迭代点列的最终统计分布。从上世纪70年代初起,数学家们对不同类型的混沌映射所对应的弗罗贝尼乌斯-佩隆算子研究了不变密度函数的存在性,而另一方面,应用科学领域所需要的对数值求解这些不变密度函数的算法设计与收敛性分析,导致“计算遍历理论”这一当代学科的蓬勃发展。
如今,物理科学、工程科学和生命科学中的许多现象,都可以运用统计的观点进行研究而洞察其真相。这个观点不仅在统计物理这门重要学科中被发扬光大,而且导致了与人类福祉密切相关的几大新兴学科的兴起和发展,比方说无线通讯、搜索引擎、计算分子动力学及药物设计等。
这就是我们从统计的角度来察看混沌而观察到的一小片美景。
完稿于2023年1月25日星期三
美国哈蒂斯堡夏日山庄
出品:科普中国版权说明:欢迎个人转发,任何形式的媒体或机构未经授权,不得转载和摘编。转载授权请在「返朴」微信公众号内联系后台。
原标题:《从统计的角度看混沌》
本文为澎湃号作者或机构在澎湃新闻上传并发布,仅代表该作者或机构观点,不代表澎湃新闻的观点或立场,澎湃新闻仅提供信息发布平台。申请澎湃号请用电脑访问http://renzheng.thepaper.cn。





- 报料热线: 021-962866
- 报料邮箱: news@thepaper.cn
互联网新闻信息服务许可证:31120170006
增值电信业务经营许可证:沪B2-2017116
© 2014-2026 上海东方报业有限公司




