- +1
开普勒三定律和万有引力定律的几何证明
原创 李都 刘颖 等 物理与工程
摘 要
在高中教材中“由开普勒定律推导出万有引力定律”“由万有引力定律推导开普勒定律”,采用的是近似方法求解,结果不能令人信服。在大学教材或者相关文献中都是通过微积分知识求解,学生不易理解。本文采用哈密顿速度矢量图,结合简单的几何知识,巧妙地解决了上述问题。
关键词 开普勒定律;万有引力定律;哈密顿定理;矢量图;几何方法
Abstract In high school textbooks, “the law of universal gravitation is derived from Kepler's law” and “Kepler's law is derived from the law of universal gravitation”, which are solved by approximate method, and the result is not convincing. In university textbooks or related literature, it is solved by calculus knowledge, which is not easy for students to understand. In this paper, Hamilton velocity vector diagram and simple geometric knowledge are used to skillfully solve the above problems.
开普勒(Kepler)从第谷(Tycho)的观测数据中总结出开普勒行星运动三大定律,牛顿(Newton)由此在他的著作《自然哲学的数学原理》中得到有心力必须与距离的平方成反比的万有引力定律,这便是开普勒第一类问题。后来万有引力定律被作为基本定律,约翰内斯·伯努利(Johannes Bernoulli)证明在有心引力场中,若力与距离的平方成反比,轨迹总是圆锥曲线,这便是开普勒第二类问题。
在现行的大学教材或者论文中,求解开普勒问题都是通过微积分解决的[1,4-6]。由于高中学生微积分的知识储备不够,所以在高中教材通常都是将行星的椭圆运动近似看做圆周运动来加以推导得到万有引力定律。这种推导一般高中学生都能理解,但总是有一种近似的感觉,不能完美地解决开普勒第一类问题。
本文整理了开普勒、牛顿、哈密顿等人在开普勒问题上的研究成果,并将哈密顿的重要研究思想:哈密顿定理加以推广应用。将行星运动过程中的每个速度矢量起点平移到同一个点,速度矢量的终点构成的轨迹称为速度矢量图。哈密顿发现行星运动的速度矢量图是一个圆,称为哈密顿定理[7]。本文的主要工作是基于哈密顿定理,加上一些高中学生都能理解的几何知识,巧妙地“由开普勒定律推导万有引力定律”“由万有引力定律推导开普勒定律”。
1 椭圆的光学性质及其应用
全日制普通高级中学教科书(必修)《数学·(第二册(上)》(2006 年人民教育出版社)第 138—139 页[2]的阅读材料“圆锥曲线的光学性质及其应用”中写道:
定理 1 从椭圆的一个焦点发出的光线,经过椭圆反射后,反射光线交于椭圆的另一个焦点上。
推论 1 如图 1 所示给定一个椭圆和椭圆的切线,焦点 F1、F2 在切线上的投影为 X、Y,则 F1X · F2Y = b2(b 为椭圆的半短轴)。
证明可参考文献[2]。
2 哈密顿定理(Hamilton's theorem)定理 2(哈密顿第一定理)如果开普勒第二定律成立且物体运动的轨道是一个椭圆,那么它的速度矢量图就是一个圆[7,9]。
定理 3(哈密顿第二定理)如果一个物体在与距离平方成反比的中心力作用下绕固定点运动,那么它的速度矢量图是一个圆[7,9]。
我们先用一个简单的例子来说明什么是速度矢量图。一个做平抛运动的物体,它的水平速度是恒定的,竖直方向上的速度从零开始均匀增加。如图 2(a) 所示将速度的起点平移到同一个点 O,速度的终点 A、B、C、D、E……在同一条竖直线上,这些由速度终点组成的图形称为速度矢量图。显然平抛运动的速度矢量图为一条竖直线。在速度矢量图上任意相邻的两点的有向线段为该过程的速度变化量 ΔV,速度变化量 ΔV 的方向与物体加速度方向和力的方向相同。由平抛运动的速度矢量图为一竖直线可以求出做平抛运动的物体受到的重力方向为竖直方向。若将该速度矢量图旋转 90°,可得其旋转 90°的速度矢量图为一条水平线,与重力方向垂直,如图 2(b) 所示。
2.1 哈密顿第一定理的证明如图 3 所示,作一个焦点为 F1,F2 的椭圆轨道,其中 F2 为太阳所在位置,A 为远日点,B 为近日点,该椭圆的半长轴为 a,半短轴为 b,半焦距为 c。设 P 是椭圆上的任意点,以 F2 为圆心,2a 为半径作圆,连接 F2P 并延长与圆的交点为 U,连接 F1U 过 P 点作椭圆的切线 l,l 与 F1U 的交点为 X,过 F2 作 l 的垂线,垂足为 Y。
由椭圆的光学性质 ∠XPF1 = ∠YPF2 (1)由对顶角得 ∠UPX = ∠YPF2 (2)
由(1)(2)两式得 ∠XPF1 = ∠UPX (3)
2a = UP + PF2 = PF1 + PF2 (4)
由式(4)可得 UP = PF1 (5)
由(3)(5)两式得 UF1⊥l,即 UF1⊥v (6)
由开普勒第二定律得
令
(8)
由推论 1 得
(9)
由(7)(8)(9)三式得
(10)
由(6)(10)两式得行星的旋转 90°速度矢量图是一个圆,其中圆心为太阳所在位置,所有速度矢量的起点为椭圆的另一个的焦点,终点在这个圆上,哈密顿第一定理得证。
2.2 哈密顿第二定理的证明
假设行星运动的轨道形状是未知的,为了便于说明,如图 4 所示,现以太阳为固定点,将轨道平面按角度等分成 8 块,每一段轨迹对太阳的张角均为
设分割线与轨道交点处速度分别为 Vn,将这 8 个速度矢量起点移动到一固定点,如图 5 所示,将 8 个速度的终点依次相连,将形成一个正八边形。

相邻两速度的终点相连的有向线段为ΔV = Vn-Vn-1 (11)
由万有引力定律得
(12)
由牛顿第二定律得
(13)
容易证明,如果物体受到的合力方向是径向的,那么开普勒第二定律成立,角动量守恒即
由(12)(13)(14)三式得
(15)
如图 5(a) 所示,轨迹上相邻的两点在万有引力的作用下转过相同的角度 Δθ 后每个有向线段 ΔV 长度相同,后一速度变化量相对于前一个逆时针旋转了 Δθ 角,故速度矢量的终点依次连接形成了一个正八边形,当分割的边数趋于无穷大时,正多边形变为圆。哈密顿第二定理证毕。应当注意的是该圆的圆心 O 并不是速度矢量的起点 F。将该速度矢量图旋转 90°后得到旋转 90°的速度矢量图,如图 5(b) 所示,不难看出旋转 90°的速度矢量图仍为一个圆,速度矢量的起点为圆内某一固定点,与每一个速度对应的有向线段大小不变,方向与速度垂直。
3 由开普勒定律推导万有引力定律的几何证明
接下来论文将证明根据开普勒定律可推导得到万有引力定律,即行星运动受到的力为有心力,指向太阳所在位置(椭圆的一个焦点);力的大小与距离的平方成反比。
由图 3 和定理 2(哈密顿第一定理)得在满足开普勒第一定律和第二定律的旋转 90°速度矢量图是一个圆,其中圆心为太阳所在位置,所有速度矢量的起点为椭圆的另一个焦点,终点在圆上,如图 6 所示。
在图 6 中,取一段很短的时间 Δt,速度矢量的终点由 U 处沿着圆弧线向 W 移动,有向线段与此过程中旋转 90°的速度变化量 ΔV 相同,与此过程的速度变化量 ΔV 方向垂直。在 Δt 取很短时有向线段
沿该圆的切线方向,由此可得此过程的速度变化量 ΔV 垂直于该圆的切线方向即沿径向方向,行星在绕太阳运动过程中的加速度和受到的力与速度变化量 ΔV 方向相同,即都沿径向方向。行星受到太阳的引力为有心力。
由开普勒第二定律得单位时间内扫过的面积
由矢量三角 形 ΔF1UW 类比得
(17)
由(10)(17)两式得
(18)
由几何知识得 UW = 2aΔθ (19)
由牛顿第二定律得
(20)
联立(16)(18)(19)(20)四式得
(21)
其中 k 是一个与行星有关的常数。
椭圆的面积为 S = πab (22)
行星运动的周期
(23)
由开普勒第三定律
(24)
联立(21)(23)(24)三式得
(25)
4π2k1 是一个与行星无关的常数。
4 开普勒三定律的几何证明
4.1 开普勒第一定律的几何证明
由于太阳对行星的万有引力为保守力和有心力,所以行星运动过程中的机械能守恒,角动量守恒。
不妨设(28)
由机械能守恒,得 R 为一定值。
如图 7 所示,设行星绕太阳运动的轨道为 Г(形状未知),太阳处在 O 点,A、B 分别为行星运动过程中的远日点和近日点。由哈密顿第二定理得旋转 90°的速度矢量图为圆,假定该圆以 O 为圆心,以 R 为半径。接下来,将确定速度矢量的起点 F 和速度大小与对应有向线段的比例系数。
由 A、B 的势能处在极值,动能也为极值得 A、B 对应的速度垂直于 A、B 与 O 的连线。旋转 90°的速度矢量图中速度矢量垂直于对应的有向线段。由此可得速度矢量的起点 F 在 AOB 直线上。由图 7 可得 FU1 + FU2 = 2R (29)
对 A、B 两点由角动量守恒可得
L = mv1r1 = mv2r2 (30)
由于 FU1、FU2 为 A、B 两点速度对应的有向线段
由式(29)(30)(31)得
由式(32)得速度矢量的起点为圆内一固定点。
不妨设轨道上任一点 P 的速度与对应的有向线段 FU 的关系为 FU = kv。(33)
对 A、B 两点由能量守恒定律得
将式(30)代入式(34)消掉 r1,r2 后,将(34)中两式相减后整理得由式(32)(35)得
(36)
对比(33)(36)两式可得比例系数
(37)
由以上分析可得,旋转 90°的速度矢量图有如下性质。旋转 90°的速度矢量图为一个圆;速度矢量的起点 F 为圆内一固定点,速度矢量的终点在圆上;任一点的速度 v 与对应的有向线段垂直且比例系数为一定值。
如图 8 所示,太阳的质量为 M,处在 O 点,一质量为 m 的行星的初始位置为 P0,初速度为 v0,v0 与
的夹角为 θ0,接下来要证明行星运动的轨道为椭圆。
以太阳所在位置 O 为圆心,以 R 为半径作圆,连接 OP0 并延长与圆相交,交点为 U0,作 U0 关于初速度 v0 的对称点 D(为一固定点)。取行星在运动过程中的任一点 P,设在 P 点的速度为 v,连接 OP 并延长与圆相交,交点为 U,OP 与速度 v 的夹角为 θ,速度 v 与 DU 的交点为 X。由机械能守恒得
(38)
由角动量守恒得 L = mv0 r0 sinθ0 (39)
由几何关系得 DU0 = 2(R-r0) sinθ0 (40)
由三式(38)(39)(40)得
(41)
对比三式(33)(37)(41)可得图 8 中的 D 点与图 7 中速度矢量的起点 F 与点为同一点,图 8 中的圆与图 7 中的旋转 90°的速度矢量图为同一圆。由旋转 90°的速度矢量图的性质可得行星运动轨道上任意点 P 的速度 v 与对应的有向线段 DU 满足以下关系
由角动量守恒得 L = mvr sinθ (43)
由机械能守恒得
(44)
由几何关系得 UX = (R-r) sinθ (45)
得三式(43)(44)(45)得
(46)
由两式(42)(46)得
(47)
由式(47)得
为等腰三角形
即 DP + OP= R (48)
行星运动过程中到两定点 D、O 的距离之和为一定值 R(为椭圆的长轴),所以行星运动的轨道为椭圆,D、O 为椭圆的焦点,开普勒第一定律得证。可令
R = 2a(a 为行星运动的椭圆轨道的半长轴)(49)
4.2 开普勒第二定律的几何证明
单位时间内扫过的面积
(50)
由角动量守恒易得行星与太阳的连线在单位时间内扫过的面积相等。
4.3 开普勒第三定律的证明
在图 8 基础上作出图 9。如图 9 所示,椭圆为行星运动轨道,设该椭圆的半长轴为 a,半短轴为 b,半焦距为c。以 O 为圆心,以 R(R 等于椭圆的长轴)为半径的圆为行星旋转 90°的速度矢量图,D 为速度矢量的起点,P 为椭圆轨道上的任一点,连接 OP 并延长与圆相交于 U
令 q = DU,r = OP,R = 2a (51)
由式(42)(47)可得
为等腰三角形,P 点的速度垂直平分 DU,设 P 点的速度与 PU 之间的夹角为 θ。
由上述几何知识得
(52)
对三角形
由余弦定律得
(2c)2 = (2a)2 + q2-2·2aq cos∠OUD (53)
sinθ = cos∠OUD (54)
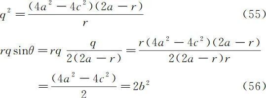
由(52)(53)(54)
由(27)(42)两式得(57)
由(51)整理(57)得
(58)
由式(50)得
(59)
由(58)(59)两式得
(60)
开普勒第三定律得证
5 结语牛顿的《自然哲学的数学原理》一书开创了经典物理,但是现在的学生在学习牛顿的原著时发现对几何知识的要求很高,而这在现在的学校教学中被普遍忽视。本文借开普勒问题的几何方法推导,梳理了开普勒、牛顿、哈密顿等人的贡献,对学生进行科学思维的熏陶。在由开普勒定律推导万有引力定律时,仅用到哈密顿第一定理和高中学生都已掌握的几何知识,学生易于理解,可以在以后的高中教材中作为阅读材料加以补充,开阔学生眼界。
参考文献
[1]何尧荣. 万有引力距离平方反比关系的三种不同思维层次的推导[J]. 物理教学探讨, 2016, 34(5): 36-37+39.
HE Y R. Thederivation of three different thinking levels of the inverse squared relation of gravitational distance[J]. Discussion on Physics Teaching, 2016, 34(5): 36-37+39. (in Chinese)
[2]甘志国. 圆锥曲线光学性质的证明及其应用[J]. 数学教学, 2017(9): 16-18+37.
GAN Z G. Proof of the optical properties of conic section and its application[J]. Mathematics Teaching, 2017(9): 16-18+37. (in Chinese)
[3]林棉璇. 用高中知识正确理解开普勒第二定律[J]. 物理教师, 2019, 40(12): 57-58+61.
LIN M X. Correctly understanding Kepler‘s second law with high school knowledge[J]. Physics Teacher, 2019,40(12): 57-58+61. (in Chinese)
[4]赵曰峰. 椭圆运动中万有引力定律表达式的推导兼谈卫星椭圆运动的运行参量及应用[J]. 物理教师, 2019, 40(12): 54-57.
ZHAO Y F. Derivation of the expression of the law of universal gravitation in elliptical motion and on the operating parameters and application of satellite elliptical motion[J]. Physics Teacher, 2019, 40(12): 54-57. (in Chinese)
[5]聂剑军, 徐顺海. 椭圆轨道下引力与距离的平方成反比的证明[J]. 宜春学院学报, 2010, 32(8): 8-9.
NIE J J, Xu S H. Proof that gravity is inversely proportional to the square of distance under elliptical orbit[J]. Journal of Yichun University, 2010, 32(8): 8-9. (in Chinese)
[6]孔庆国, 郑红伟. 利用椭圆知识和物理规律解析天体运动问题[J]. 物理教师, 2013, 34(9): 63-64.
KONG Q G, ZHENG H W. Using ellipse knowledge and physical laws to analyze celestial motion[J]. Physics Teacher, 2013, 34(9): 63-64. (in Chinese)
[7]DERBES D. Reinventing the wheel: How do graphic solutions to the Kepler problems[J]. American Journal of Physics, 2001, 69(4): 481-489.
[8]DOUGLAS W. Tiberiis. Comment on “Reinventing the wheel: Hodographic solutions to the Kepler problems,” by David Derbes[J]. American Journal of Physics, 2002, 70(1): 79-79.
[9]CHAKERIAN D. Central Force Laws, Hodographs, and PolarReciprocals[J]. Mathematics Magazine, 2001, 74(1): 3-18.
[10]李开玮. 利用几何知识求解天体运动轨道[J]. 物理与工程, 2021, 31(3): 36-38.
LI K W. Solving the orbit of celestial bodies by using geometric knowledge[J]. Physics and Engineering, 2021, 31(3): 36-38. (in Chinese)
基金项目:湖北省教育学会教师教育专业委员会 2020 年课题(HBJSJY2020-027)资助。
作者简介:李都,男,黄陂区第一中学一级教师,主要研究中学物理教学及强基计划,591663462@qq.com;姜付锦,男,黄陂区第一中学高级教师,研究方向为数学和数值模拟在物理问题研究中的应用,2917542082@qq.com;刘颖,女,黄陂区第一中学二级教师,主要研究中学物理教学及强基计划,961579600@qq.com。
引文格式: 李都, 刘颖, 姜付锦. 开普勒三定律和万有引力定律的几何证明[J]. 物理与工程, 2022, 32(3): 125-130.
Cite this article: LI D, LIU Y, JIANG F J. Geometric proof of Kepler's three laws and the law of universal gravitation[J]. Physics and Engineering, 2022, 32(3): 125-130. (in Chinese)
END
更多精彩文章请点击下面“蓝字”标题查看:对麦克斯韦方程组拓展的评论王青教授:深入理解“拓展的麦克斯韦方程组”——2.0版王青教授:理解王中林院士“拓展的麦克斯韦方程组”“碰瓷”麦克斯韦:伽利略协变和洛伦兹协变电磁场论趣谈热点:运动介质洛伦兹协变电磁理论2021年《物理与工程》优秀论文、优秀审稿专家、优秀青年学者名单王青教授:源自苏格拉底的问题驱动式教育——在互动中共同学习和成长读后感:教育中的现实和远方王青教授:昨晚(6月9日),清华电动力学期末考试朱邦芬院士:“减负”误区及我国科学教育面临的挑战《物理与工程》2022年第2期目录乐永康:新冠肺炎疫情防控下美国物理实验教学及中美情况对比顾牡:对于重新制定的《非物理类理工学科大学物理课程教学基本要求》的认识和体会朱邦芬院士:从基础科学班到清华学堂物理班朱邦芬院士:对培养一流拔尖创新人才的思考李学潜教授:物理是一种文化李学潜教授:如何帮助物理系学生迈过从高三到大一这个坎穆良柱:物理课程思政教育的核心是科学认知能力培养穆良柱:什么是物理及物理文化?穆良柱:什么是ETA物理认知模型穆良柱:什么是ETA物理教学法吴国祯教授:我的国外研究生经历印象——应清华大学物理系“基科班20年·学堂班10年纪念活动”而写
陈佳洱,赵凯华,王殖东:面向21世纪,急待重建我国的工科物理教育王亚愚教授:清华物理系本科人才培养理念与实践葛惟昆教授:关于中外人才培养的几点思考安宇教授:为什么传统的课堂讲授模式需要改变安宇教授:其实教学就是积累的过程刘玉鑫教授:关于本科生物理基础课程教学和教材编著的一些思考沈乾若:重创理科教育的美加课程改革Henderson C:美国研究基金支持下的物理教育研究及其对高等物理教育的影响《物理与工程》期刊是专注于物理教育教学研究的学术期刊,是中国科技核心期刊,1981年创刊,欢迎踊跃投稿,期刊投审稿采编平台:
http://gkwl.cbpt.cnki.net
欢迎关注
《物理与工程》微信公众号
原标题:《开普勒三定律和万有引力定律的几何证明》
本文为澎湃号作者或机构在澎湃新闻上传并发布,仅代表该作者或机构观点,不代表澎湃新闻的观点或立场,澎湃新闻仅提供信息发布平台。申请澎湃号请用电脑访问http://renzheng.thepaper.cn。





- 报料热线: 021-962866
- 报料邮箱: news@thepaper.cn
互联网新闻信息服务许可证:31120170006
增值电信业务经营许可证:沪B2-2017116
© 2014-2026 上海东方报业有限公司




