- +1
单身和恋爱,哪个更快乐?答案颠覆你的认知
原创 腾讯医典
快到一年一度欢(nüe)乐(gou)的情人节。
典哥发现一个现象:现在大家一提到单身,似乎只想到空虚寂寞冷的“单身狗”形象——总在寂静的夜里辗转反侧,期望身边有个人陪。
事实上,很多人会有误解:单身虽然偶尔寂寞难耐,但大部分时候,快乐与是否单身无关,甚至有时,单身的人可能更快乐!
今天我们就来盘点一下——单身有哪些好处!
常上网冲浪的年轻人会发现单身人士常常被贴上各种负面标签:空虚寂寞
饥渴难耐
甚至容易变得猥琐油腻
……
网上还有段子调侃:“单身久了的人,看谁都眉清目秀。”不可否认,“有对象”对于很多人来说是一个幸福生活的加分项[1]。但是!这并不代表单身就不幸福,更不代表单身人士就是心理扭曲的人。正相反,很多单身人士(尤其是自愿选择单身的人),一样可以心理健康且快乐地生活[1,2]。
在波兰,一项针对单身年轻人(20~30岁)的调查发现:
单身人士整体的幸福感和心理健康与非单身人士没有显著差异;
单身人士出现焦虑、失眠、严重抑郁等心理问题的可能性也和非单身人士没有显著差异[1]。
简而言之,就是:单身和非单身,谁也不比谁差多少,不必“拉踩”。 甚至,比起那些对伴侣不满意的人,单身人士有时候还过得更幸福些[3]。
想想看,单身的话你就可以:
自己赚钱自己花
想跟谁玩就跟谁玩
一门心思搞事业
岂不美哉?

变胖或许是许多人不愿意面对的宿命。但对单身人士却有一个好消息:单身或许能够胖得慢一点。
美国一项覆盖了8000多人的研究揭示了2个“残酷”的现实:
结婚或恋爱后,双方很容易一起发胖;
发胖的速度由高到低依次是:结婚、恋爱同居、恋爱不同居和单身[4]。
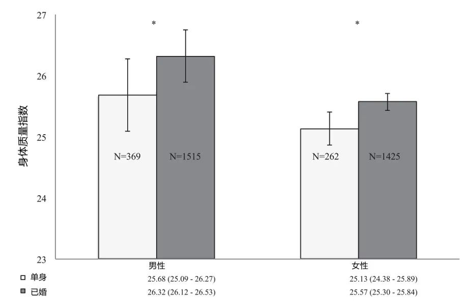
在一项跨越9个国家的研究中发现:在排除了年龄、社会经济条件、国家等影响因素后,结婚的人,无论男女,都比单身人士更胖[5]。
这项试验统计的是BMI(身体质量指数),这是一个用于评估胖瘦的指标。可以看到,已婚人士整体的BMI要高于单身人士[5]。这意味着180厘米高的已婚男性和单身男性之间,体重可能差了快4斤。这一现象背后的原因在于:恋爱结婚后,运动少了、吃得多了[5]。
很多人单身时可以顿顿吃草保持身材,而跟暧昧对象出门时,两个人可以点满一桌子菜。而且,对象晚上点宵夜,你高低不得吃两口?逢年过节,对象送的巧克力,不能不吃几颗吧?
至于运动锻炼,非单身人士可以说是几乎没啥动力,并且结婚越久的人,越容易长时间久坐[5]。对此,学者们也提出了一个有趣又现实残酷的猜想:
脱单之后,没有“求偶”压力了,也就放弃外形管理了[6]。(PS:没有说胖不好看的意思。)
而单身的人,就可以把谈恋爱的时间,用来专心地运动健身
。

和别人同床共枕无疑是给自己的睡眠质量带来了非常大的不确定性。你永远不知道对象在睡觉时会不会——
睡到一半压你头发
把你的手臂压到发麻
或是半夜抢走你的被子
……
如果和对象作息不同步也很烦恼,可能你要睡觉了,对方还在看剧打游戏,然后把你吵到睡不着;又或是对方每天早起,把你从酣睡中吵醒。
当然上面这些问题可能都是偶发或是可以规避的,最最最害怕的是找到一个打鼾的对象。当对象呼噜声响彻天际
你在一旁辗转难眠时
你将会思考一个严肃的问题:
我到底造了什么孽!!!
而且找对象就像开盲盒有的人瘦小文弱
打起鼾来震天撼地
有的人刚谈恋爱时睡觉不声不响
过了不到两年就开始打鼾
而对于单身人士,上面的问题全都不是问题,不用迁就别人的作息和睡眠习惯,怎么舒服怎么来,更不用担心被夜半鼾声吵醒。

恋爱结婚之后,大部分人都要肩负更多的家庭责任,其中就包括了——做家务。国外的一项调查显示:在2005年,单身女性每周家务的工作量达到13小时,而已婚女性则达到17小时。单身和已婚的男性,分别是9小时、14小时[7]。
国内外的调查还显示:女性通常需要承担更多的工作量。一项对我国城镇双职工家庭的调查就发现:已婚男性和已婚女性,在工作日每天做家务投入的时间分别为45分钟和107分钟[8]。
大部分人都不喜欢干家务。一个人住的时候,你可能衣服随处扔、脏衣服攒个三四天再洗;但两个人同居时,可能你刚把外套放在椅子上,你的对象就会“温柔”地“提醒”你:“你怎么又乱扔衣服!!!”
一段好的恋爱或婚姻是需要用心经营的,小到逢年过节送礼,大到共同规划人生。但是呢,有时候你在做很多决策的同时也多了一份顾虑——
公司给你外派的机会,可以涨薪和晋升,但可能就要和对象异国分居两年;
你想到了一个好的创业机会,但有一些风险,而你和对象本来打算明年买房结婚;
你最喜欢的游戏更新了,但你的对象并不喜欢打游戏;
……
面对以上这些问题,你会怎么选呢?随便一题做错,可能就是一个情感危机。
而对于单身人士,完全不需要考虑这种问题。无论是当卷王,还是躺平,只要一人吃饱,全家不饿
。
今天这篇文章,并不是想把“单身”与“恋爱”“结婚”两者对立起来。恋爱、结婚本就是是非常美好的事情。很多研究也表明,一段健康的亲密关系,对于每个人的身心健康都非常有益。
只是典哥发现,现在大家给单身人士的压力着实太大了:
现实生活里,家长天天催婚催育;
上网冲浪,处处都是对单身人士的调侃甚至矮化。不知道什么时候,“单身狗”成为了大家对单身人士的习惯称呼;
一个三四十岁的人,哪怕事业有成,如果没有对象,也会被人在背后议论纷纷;
……
无论是因为哪种原因单身,找到自己喜欢且舒服的生活状态,就可以过得开心且健康。要知道,单身也是一种生活态度。而抱着“找个人凑合过”的心态,可能只会把自己从单身的焦虑与寂寞推向另一种不幸中。
审核专家:乔颖
上海市精神卫生中心精神科副主任医师
参考文献
[1] Adamczyk K, Segrin C. Perceived social support and mental health among single vs. partnered Polish young adults[J]. Current Psychology, 2015, 34: 82-96.
[2] Adamczyk K. Voluntary and involuntary singlehood and young adults’ mental health: An investigation of mediating role of romantic loneliness[J]. Current Psychology, 2017, 36(4): 888-904.
[3] Till B, Niederkrotenthaler T. Romantic Relationships and Mental Health During the COVID-19 Pandemic in Austria: A Population-Based Cross-Sectional Survey[J]. Frontiers in psychology, 2022: 2094.
[4] The N S, Gordon‐Larsen P. Entry into romantic partnership is associated with obesity[J]. Obesity, 2009, 17(7): 1441-1447.
[5] Mata J, Frank R, Hertwig R. Higher body mass index, less exercise, but healthier eating in married adults: Nine representative surveys across Europe[J]. Social Science & Medicine, 2015, 138: 119-127.
[6] Teachman J. Body weight, marital status, and changes in marital status[J]. Journal of family issues, 2016, 37(1): 74-96.
[7] https://www.nsf.gov/discoveries/disc_images.jsp?cntn_id=111458
[8]佟新, 刘爱玉. 城镇双职工家庭夫妻合作型家务劳动模式——基于2010年中国第三期妇女地位调查[J]. 中国社会科学, 2015(6):16.
*腾讯医典内容团队出品
本文为澎湃号作者或机构在澎湃新闻上传并发布,仅代表该作者或机构观点,不代表澎湃新闻的观点或立场,澎湃新闻仅提供信息发布平台。申请澎湃号请用电脑访问http://renzheng.thepaper.cn。





- 报料热线: 021-962866
- 报料邮箱: news@thepaper.cn
互联网新闻信息服务许可证:31120170006
增值电信业务经营许可证:沪B2-2017116
© 2014-2026 上海东方报业有限公司




