- +1
热量限制减缓健康成年人的衰老速度
原创 Stephanie Berger 阿尔茨海默病

在一项史无前例的随机对照试验中,一个国际研究小组表明,热量限制可以将健康成年人的衰老速度减慢 2-3%,在其他研究中,这意味着死亡风险降低 10-15%,这种效果类似于戒烟干预。

哥伦比亚大学梅尔曼公共卫生学院
2023年2月9日消息
哥伦比亚大学梅尔曼公共卫生学院(Columbia University's Mailman School of Public Health)巴特勒哥伦比亚老年中心(Butler Columbia Aging Center)的科学家、流行病学副教授、资深作者 Daniel Belsky 博士说:“对线虫、果蝇和小鼠来说,限制热量摄入可以减缓生物衰老过程,延长健康寿命。我们的研究旨在测试热量限制是否也能减缓人类的生物学衰老。”研究结果近日发表在《自然-衰老》(Nature Aging)杂志上。

研究于2023年2月9日发表在《Nature Aging》杂志上
CALERIE™ 2 期随机对照试验由美国国家衰老研究所(NIA)资助,是有史以来首次研究长期限制热量摄入对健康非肥胖人群的影响。该试验将美国三个研究中心的 220 名健康男性和女性随机分为两组,一组限制 25% 的热量摄入,另一组正常饮食,为期两年。CALERIE™ 是“减少能量摄入的长期影响的综合评估”( Comprehensive Assessment of Long-Term Effects of Reducing Intake of Energy)的缩写。
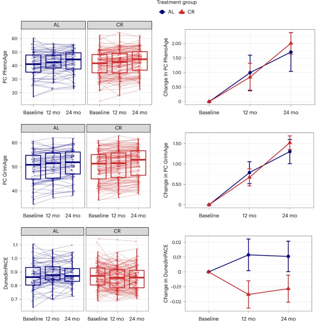
为了测量 CALERIE 试验参与者的生物学衰老,Belsky 的团队分析了试验参与者在干预前的基线以及 12 个月和 24 个月随访后的血液样本。“人类寿命很长,” Belsky 解释说,“所以在我们看到与衰老相关的疾病或存活率的差异之前,跟踪他们是不现实的。相反,我们依靠开发的生物标志物来测量研究期间生物衰老的速度和进展。”研究小组分析了从白细胞中提取的 DNA 上的甲基化标记。DNA 甲基化标记是位于 DNA 序列上的化学标记,可调节基因的表达,并随着年龄的增长而变化。

在最初的分析中,Belsky 和他的同事集中在 DNA 甲基化数据的三种测量方法上,这些数据有时被称为“表观遗传时钟”(epigenetic clocks)。前两个,PhenoAge 和 GrimAge 时钟,估计生物年龄,或一个人的生物学表现“正常”的实足年龄。这些测量可以被认为是“里程表”,提供一个人经历了多少老化的静态测量。研究人员研究的第三个指标是 DunedinPACE,它估计了衰老的速度,或者说是随着时间的推移生物退化的速度。DunedinPACE 可以被认为是一个“速度计”。
巴特勒哥伦比亚老年中心的研究科学家、该研究的共同主要作者 Calen Ryan 博士指出:“与 DunedinPACE 的结果相反,干预对其他表观遗传时钟没有影响。结果的差异表明,像 DunedinPACE 这样的动态‘衰老速度’指标可能比静态生物学年龄指标对干预效果更敏感。”

Ryan 说:“我们的研究发现了热量限制减缓人类衰老速度的证据。但热量限制可能并不适用于所有人。我们的发现很重要,因为它们提供了来自随机试验的证据,证明减缓人类衰老是可能的。它们还让我们意识到,在间歇性禁食或限时进食等可能吸引更多人的干预试验中,我们可能会寻找哪些影响。”
目前正在对试验参与者进行随访,以确定干预措施是否对健康老龄化产生长期影响。在其他研究中,较慢的 DunedinPACE 与心脏病、卒中、残疾和失智症风险降低相关。负责 CALERIE™ 参与者长期随访的资深科学家和 CALERIE 研究员 Sai Krupa Das 说:“我们对 CALERIE™ 干预的遗留效应的研究将测试在试验期间观察到的短期效应是否转化为与衰老相关的慢性疾病或其危险因素的长期减少。”

DunedinPACE 是由 Daniel Belsky 和杜克大学(Duke University)及奥塔哥大学(University of Otago)的同事开发的。为了开发 DunedinPACE,研究人员分析了达尼丁纵向研究(Dunedin Longitudinal Study)的数据,这是一项关于人类发育和衰老的里程碑式出生队列研究,跟踪了新西兰达尼丁(Dunedin)1972 ~ 1973 年出生的 1,000 人。研究者首先分析了 19 种生物标志物在 20 年随访期间的变化率,从而得出衰老速度(Pace of Aging)的单一综合指标。接下来,研究人员使用机器学习技术将 20 年的衰老速度提取为单时间点的 DNA 甲基化血液测试。DunedinPACE 算法的值对应于单个历年经历的生物衰老年数,提供了衰老速度的衡量指标。



创立于1754年的哥伦比亚大学
内容停更四天 2023年2月23-26日,2月27日复更,望知悉。
参考文献
Source:Columbia University's Mailman School of Public Health
Calorie restriction slows pace of aging in healthy adults
Reference:
Waziry, R., Ryan, C.P., Corcoran, D.L. et al. Effect of long-term caloric restriction on DNA methylation measures of biological aging in healthy adults from the CALERIE trial. Nat Aging (2023). https://doi.org/10.1038/s43587-022-00357-y
免责声明
本公众号上的医疗信息仅作为信息资源提供与分享,不用于或依赖于任何诊断或治疗目的。此信息不应替代专业诊断或治疗。在做出任何医疗决定或有关特定医疗状况的指导之前,请咨询你的医生。
本文为澎湃号作者或机构在澎湃新闻上传并发布,仅代表该作者或机构观点,不代表澎湃新闻的观点或立场,澎湃新闻仅提供信息发布平台。申请澎湃号请用电脑访问http://renzheng.thepaper.cn。





- 报料热线: 021-962866
- 报料邮箱: news@thepaper.cn
互联网新闻信息服务许可证:31120170006
增值电信业务经营许可证:沪B2-2017116
© 2014-2026 上海东方报业有限公司




