- +1
上海80后夫妻存款300万提前退休过“躺平”生活,网友吵翻!
近日
上海本地一对80后夫妻
存到300万后
决定双双“退休”
引发网友热议

据@毒秒财经 报道
陈女士向记者表示
他们没有生育孩子的打算
目前想享受二人世界的轻松生活
算了下每个月理财收入有1万元
她预计300万能用到约70岁
双方都只有一位父母了
两位老人都支持他们的决定
因为年事已高也带不动孩子
支持子女做让自己开心的事
目前他们在B站上
分享了自己的生活
《上海30+夫妻用300万“提前退休”》
并展示了每日的花销数目

存款到300万,决定双双“退休”
据了解,陈女士今年33岁,丈夫43岁,去年两人双双失业。
陈女士原来是游戏设计师,年前失业。她去应聘了几家单位,人事主管都会问相同的问题:“你打算什么时候要孩子?”得知她不想要孩子,对方觉得不可思议,并且透露出不信任,面试好几次都落选。于是,她放弃了找工作。
丈夫原先则从事房地产行业。两人目前住在上海外环外,有车有房无娃无贷款,基本没有生活压力,两人打算丁克到底,猫猫就是他俩的孩子。
而对于这个决定,双方父母也都支持。陈女士透露,双方父母都有退休金,养老也不需要他们操心,因为老人年事已高也带不动孩子,看到两人坚持丁克,也表示支持,“支持子女做让自己开心的事。”

陈女士计算了一下,夫妻两人的生活开支,最多的一天一千,最少的一天一分钱不花,平均一个月也就6千左右。工作以来,两人共存了300万元,把钱存入大额存单,再拿出一部分去炒股或者买基金,预计每个月理财收入有1万元,足够两人用到约70岁。
躺平后,“身体灵魂彻底自由”
陈女士直言,自己责任心不强,所以不想养育孩子。想趁着年轻吃喝玩乐,享受生活。“躺平”后,紧绷的神经得到彻底放松:早上再也不会被闹钟吵醒,晚上再也不用看着手机生怕错过客户老板的信息。每天睡到自然醒,自由支配完全属于自己的时间,身体和灵魂都彻底自由了!

不上班不用应付同事,拒绝无效社交 ,衣服裤子鞋子化妆品护肤品消费全都减少了,有更多的时间关心呵护自己的身体,拒绝外卖,自己动手健康饮食! 陈女士表示:在上海2人2猫一个月花1w绰绰有余!
她说,也许物质并不富裕,但精神富足了人更快乐了,活在当下,相信一切都是最好的安排!

你认为存多少钱能有安全感
相关话题
#你认为存多少钱能有安全感#
冲上同城热搜榜第一
网友对此也是各抒己见

有羡慕这对夫妻的




不过还有许多网友表示
过于自信了

有网友认真替两人算了一笔账
最后得出结论
300万想“躺”30年,不太行

事实上,在累积了一定财产后就选择退出职场专心经营自己生活的朋友越来越多。
在社交平台上,Alex也分享了自己在36岁开始每天的退休生活。

与陈女士相比,他的这个决定似乎更加“大胆”:Alex夫妇不但养了猫,还养了娃,同时家里还聘用着一位住家阿姨。至于存款则是130万元,不过他也透露,自己除了自住的房产外,还有一套出租的房子,每月租金一万。

对于他的分享,大家最关心的就是,养娃那么“烧钱”,Alex的退休计划,能跟上吗?对此,他表示,“不卷”,“佛系”,孩子的计划支出为一年1.5万元。

在每天的Vlog中 ,他也会晒出自己一天的家庭花销。三口之家每个月在一万左右。

在评论区,不少网友表示,自己也“正躺”或者计划“躺”。




攒够多少钱能提前退休?
1994年,麻省理工学院学者威廉·班根提出“4%原则”:只要在退休第一年从退休金本金中提取不超过4.2%,之后每年需要提取的金额=总额×(4%+通胀率),即使到过世,退休金都花不完。
根据这个原则,按照你每年需要多少生活费,就可以计算出你要存到多少钱才能提前退休。
你支持提前“躺平”吗?
要有多少存款
才能有底气做出这样的选择呢?

青年时评

青年时评
一劳永逸的“躺平”真的存在吗?
青年报·青春上海评论员 陈嘉音
小夫妻存到300万后决定双双“退休”,让网友不淡定了。在讨论的声音里,大家一方面羡慕这对夫妻已经拥有的物质条件与抉择魄力,另一方面又觉得他们“理想得让人担心”。大家担心的原因,概括来说是“只要一直生活下去,就早晚会遇到意料之外的事情。”这看上去是句废话,但却蕴含社会发展的基本逻辑。
若想效仿这对夫妇,抱着半吊子的心态开始“躺平”,却只知其一,不知其二。从抖音的数据看,这对夫妇2月份迅速开设了抖音账号“m宝夫妇躺平ing”,如今已经更新了26条短视频。更新几乎一天一条,内容包括新房交房、日常购物、美食烹饪。在高强度的更新与话题的加持下,一个月积累了2万+的粉丝,获赞也突破两万。你看,人家实质上都转型做自媒体了,又怎么能算真正的“躺平”呢?
相当多的人对躺平抱有的其实是一种一劳永逸的心态,感觉有了存款/有了房子/退休了,就能没有后顾之忧了,就远离迷茫了,其实不是的。一个对自身需求缺乏清晰认知的人,并不能在脱离社会生产后就获得真正的满足感,反而很可能陷入永恒的自我证明与自我怀疑中。
“300万退休”这个话题引起广泛讨论的意义在于,展现了年轻人对于生活方式的多元选择。正如这位妻子说的,“也许物质并不富裕,但精神富足了人更快乐了,活在当下,相信一切都是最好的安排!”在多元的社会中,每个人持有不同的观点,不同的选择,恰恰显示了我们这个时代的宽容度,我们应当予以理解。
如今,每个人都在寻求个人价值的最优解。但实质上无论是理想还是现实,都必然指向“躺平不可取,躺赢不可能”。
在生存的压力与内心的平静之间,在我们个体的小境遇与浩浩荡荡的大时代之间,总有一种力量让我们不能停歇。那些看上去躺平的人,其实并没有真正躺平,他们只是换了一种方式继续。
本期的
上海共青团微信公众号影响力排行榜
也准时出炉啦!
上周又有哪些精彩内容?
赶紧来看↓

一周点评
☆ 返校持续进行,校园生活精彩不停! 小花梨发布《华理开学啦!“华理一日游”后,他们很放心!》《当华理乒乓天团遇到 <中国乒乓> 主创!超燃现场全景直击!》 中国乒乓>《小花梨!今日再获两项大奖!》,小花梨笔耕不辍,开启新学期精彩校园生活!华政青年发布《校友返校、师生进出校……这可能是最全的校门进出攻略》《有了这份攻略,这学期还不爽歪歪?!》《三轮选课后,你的课表比我还“惨”??》,展现新学期新气象。中侨青年发布《第2379期 | 校园一码通重磅来袭!》,一码通上新,校园生活更便利。



华政青年校园版“植物大战僵尸”
☆ 为爱呐喊,每一种爱都很珍贵!青春闵行发布《青春益友 | 报名开始啦!一起相约爱琴海吧~》,邂逅那个甜蜜的TA。金山团青发布《这样甜甜的恋爱谁又不想要呢?》,让爱助力青年成为更好的自己!青春杨浦发布《“一缕阳光”杨浦区青少年心灵陪伴计划暨上海12355·青春杨浦共享空间正式启动》,关爱青少年健康成长。庭前独角兽发布《一只猫的法庭独白 | 庭前独角兽》《一只法治猫的自白|庭前独角兽》,治愈系喵星人带来爱的独白,“我爱你,也请善待我!”

漫画趣说法律人的日常
☆ 砥砺前行,青春在奋斗中绽放!青春徐汇发布的《徐汇团区委招募政务新媒体实习生!一起成为青年文化星推官的一员吧!》,发出邀请,一起成为青年文化星推官。嘉定青年发布《【嘉定青年说】择业一定要专业对口吗?焦虑心态如何调整?今天我们聊聊求职和就业》,解答求职和就业问题,优秀青年为嘉定发展建言献策。中医青年发布《喜报|我校岳阳临床医学院研究生张颖荣获2022年度宝钢优秀学生奖》,彰显优秀青年热血与担当。青春交医发布《为爱呐“罕”丨交医第四届罕见病创新践行项目创意视频展示(下)》,提高交医青年对罕见病的认知和关注。青春杨浦发布《青春在奋斗中闪耀 | 2022年度杨浦区高中、中职优秀团组织风采展示》,让青春在奋斗中绽放绚丽之花。
一周榜单




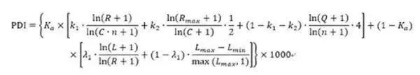
PDI指数是什么
青春上海携手上海交通大学大数据与传播创新实验室(T-Lab)打造全新的PDI(Pandata Index)全景数据评估指数,拒绝过度关注点赞数,更认真地统计峰值,认同潜力值,立志于更科学地为新媒体传播做测算:

文章发布时段:2023年2月19日~2023年2月25日
数据收录时间:2023年2月27日 10:00
往期回顾
警惕!全国多地警方发布预警!尤其是这种手机来源:上海新闻广播、新闻晨报、毒秒财经、申江服务导报、看看新闻Knews、@m宝夫妇躺平ing、Alex退休了
部分文字:青年报·青春上海评论员 陈嘉音
制图:吴佳斐 数据:张璐
实习生:乔甜甜
原标题:《上海80后夫妻存款300万提前退休过“躺平”生活,网友吵翻!》
本文为澎湃号作者或机构在澎湃新闻上传并发布,仅代表该作者或机构观点,不代表澎湃新闻的观点或立场,澎湃新闻仅提供信息发布平台。申请澎湃号请用电脑访问http://renzheng.thepaper.cn。





- 报料热线: 021-962866
- 报料邮箱: news@thepaper.cn
互联网新闻信息服务许可证:31120170006
增值电信业务经营许可证:沪B2-2017116
© 2014-2025 上海东方报业有限公司




