- +1
广义相对论与连续介质力学在几何学中基于张量的统一及其应用
原创 汪志义 张弛 等 物理与工程
摘 要
以张量作为工具,广义相对论与连续介质力学可以实现几何意义上的统一。二者的差别在于前者统一的是时空与物质,后者针对的是连续介质模型并需要考虑物性。这种统一具有数学上的形式,但其本质是物理的。这种统一可应用于引力理论和工程力学中的非协调变形等问题,对相关的教学和科研工作有参考价值。
关键词 广义相对论;连续介质力学;张量;几何;统一
Abstract With tensor, general relativity and continuum mechanics can be unified geometrically. The difference between the two is that the former unifies space-time and matter, and the latter aims at the continuum model and needs to consider the physical properties. This unification has a mathematical form, but is physical in nature. This unification can be applied to problems such as the theory of gravity and uncoordinated deformation in engineering mechanics, which has reference value to the related teaching and research work.
广义相对论与连续介质力学是现代物理学在学科与教学方面的两大分支。前者属于物理学的基本原理[1],后者实际上是对宏观物性的模型描述[2,3]。有学者研究过在考虑相对论效应下的连续介质力学[4]。从物理学的角度来看,在几何学的框架之下,以张量为工具,可以将连续介质力学形式地统一到广义相对论之中(当然,对物性的描述额外需要考虑统计物理学或者电动力学等物理学分支)。相关的一些具体结论实际上已经被具体给出,本文尝试进行总结,为这一问题的讨论提供一个基础,以利相关的教学和科研工作。
1 平直时空与应变协调方程的统一
相对论力学中,两个距离无穷小的事件的间隔 ds 被定义如下[5]
ds 2 = gij dx i dx j (1)
其中的 i、j 和后文的角标 k、l、m 可分别取值 0、1、2、3,下同;重复下标代表求和;x1、x2、x3 对应空间坐标的逆变分量;x 0 = ct,对应时间坐标的逆变分量;c 为真空中的光速;t 为时间;gij 为四维时空度规张量的协变分量。用来判定时空是否平直的 Riemann 曲率张量的分量有如下表达[5]
为第二类 Christoffel 符号,其与度规张量的分量的关系为
根据[5]中 § 91,时空平直的条件与下式等价
如令光速 c→+∞,并假定空间被连续介质所占据,则(2)~(4)的形式都不变,只是去掉了所有含角标 0 的项。
连续介质力学中,在介质点上建立随体坐标系,坐标随着介质变形而变形的描述被称为 Lagrange 描述。凡是在 Lagrange 描述下,连续介质力学中的物理场(如温度场和速度场等等)都是定义在物质点坐标上的。此时介质变形前后的构形分别被称为初始构形和现时构形。两种构形下,无限接近的两个相邻介质点的距离分别用(5)和(6)两式描述[6]
与式(1)中的 gij 类似,
和
被称为 Lagrange 描述下初始构形与现时构形的空间度规张量的分量,且 α 和 β 只能取 1、2、3(对应空间坐标,下同),这两套度规张量在各自构形的意义下通过式(3)和式(2)各自对应一套第二类 Christoffel 符号和 Riemann 曲率张量;ξ 表示物质点坐标,且相同的物质点在变形前后其坐标不变(即 d ξ α 不变),只是构形的度规张量发生改变(由
变化为
)。根据文献[6]第二章 § 5 的式(5.3),可定义连续介质力学中的应变张量具有如下协变分量
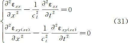
在连续介质力学所对应的实际问题中,初始构形意义下的介质都是处于 Euclid 空间(即平直空间)的。所以,如果要保证连续介质的变形是协调的(即连续介质变形前后在同一个平直空间内保持其整体性和连续性,例如物质既不发生撕裂、又不发生重叠,或者不会从低维空间翘曲到高维空间等等),则由 g′αβ 所对应的现时构形意义下的 Riemann 曲率张量也必须满足式(4)。如果基于式(7)将此时的 g′αβ 用应变张量 εαβ 表示出来并最终用于计算式(4),则式(4)成为了连续介质力学中的应变协调方程。对比文献[6]第二章 § 5 的式(5.54),可知此结论对有限变形问题也成立。
由此可知:基于式(4),广义相对论中时空的平直性与连续介质力学中的应变协调方程是统一的。
2 能量守恒与本构方程的统一
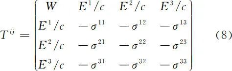
对于弱引力场,相对论力学中的能量动量张量 T 的逆变分量的定义可如下[5]
其中,W 是能量密度;E 1、E 2、E 3 是三维能流密度矢量 E 的分量;-σ αβ 组成三维空间中的动量流密度张量,其物理意义相当于连续介质力学中的应力张量取负号。此外定义 Ricci 张量的协变分量如下将式(9)进一步缩并,得到不变量被称为空间的曲率标量
R = g ij R ij = g ik g jl R ijkl (10)
利用式(8)~(10),广义相对论中的 Einstein 方程可被记为
其中,G 为万有引力常量。式(11)左端被称为 Einstein 张量。利用式(2)、(3)、(9)、(10)以及曲率张量的对称性,可知式(11)左端的散度恒为 0,故可得
其中,分号表示协变导数。
为了叙述上的简便,本节调整了一下式(8)~(12)在一般广义相对论教材中的逻辑上的顺序。
在(12)中取 i = 0,可得
显然,式(13)即能量守恒。
在连续介质(热)力学中,若令熵为 S,温度为 T,可定义 Helmholtz 自由能 F
F = W-TS (14)
根据文献[7]的 § 4,此时的能量守恒定律的增量形式可被改写为
dF =-SdT + σαβ dεαβ (15)
相关的物理图景是把“存在能动张量流的时空”换成“空间中的介质”,但其物理本质都是能量守恒。对于固体在等温可逆过程中的小变形问题,如果 F 能够被展开为 εαβ 的幂级数,精确到二阶项
γ 只能取 1、2、3。对比(15)和(16),可以直接得到等温过程下“线性均匀无初应力各向同性弹性力学”中的本构方程
σαβ = λδαβεγγ + 2μεαβ (17)
其中,δαβ 为 Kronecker 符号,λ 和 μ 为弹性常数。对于绝热过程有类似结论。如将“应力应变关系”改为“应力应变率关系”,可得线性粘性流体力学本构方程。更复杂的讨论从略。
连续介质力学本构方程的核心在于对物性的描述,相关要求除了能量守恒之外,还包括客观性(比如张量的使用)、相容性(比如不能违反熵增原理)和确定性等等。但能量守恒显然是核心要求。由此可知:基于式(12)中的第一式,广义相对论中的能量守恒与连续介质力学中的本构方程是统一的。当然,后者一般需要额外补充物性特征。
3 角动量守恒与应力对称性的统一
在广义相对论中,定义体系的四维角动量张量的逆变分量[5]
其中,Sl 为四维时空中的超曲面。根据文献[5]的 § 32,角动量守恒定律要求上式右侧被积函数的散度为 0,即
整理得
T ij = T ji (20)
连续介质力学中的角动量定义与式(18)是完全类似的,因此所得到的结论也与之类似。只需对比式(8),把式(20)中的 i 和 j 换成 α 和 β 即得
σαβ = σβα (21)
相关的物理图景依旧是把“存在能动张量流的时空”换成“空间中的介质”,但其物理本质都是角动量守恒。请注意前文已指出 σ αβ 的物理意义相当于连续介质力学中的应力张量,因此式(21)实际上就代表连续介质力学中的应力对称性。
由此可知:基于式(12),广义相对论中的角动量守恒与连续介质力学中的应力对称性是统一的。
4 动量守恒与应力平衡方程的统一
在广义相对论(以及一般力学问题)中,平动和转动是同权的[8,9],动量守恒与角动量守恒应该具有相似的地位。在(12)中取 i = 1~3,并考虑到(21),可得
再考虑连续介质力学,显然式(22)在形式上对应连续介质力学中 Euler 描述下的应力平衡方程
其中 f α 代表体力分量(表示某种动量的“输入”,在非惯性系中亦可包含惯性力)。显然式(22)右端项的物理意义相当于式(23)中的体力,所以式(22)与(23)的物理本质都是动量守恒。对于小变形问题,应力平衡方程的 Euler 描述与 Lagrange 描述相同。
由此可知:基于式(12)的后三式,广义相对论中的动量守恒与连续介质力学中的应力平衡方程是统一的。
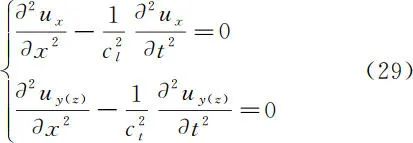
5 弱引力波方程与弹性波方程的统一
在广义相对论中,真空中的弱自由引力场的度规具有如下形式[5]
上式左端代表扰动后的度规,右端第一项代表 Galileo 度规,第二项代表某种微弱扰动。根据文献[5]的 § 107,基于张量 hij 的规范任意性,补充如下条件
如果参考系在相差一个小量下的任意变换是可能的,Ricci 张量式(7)具有如下形式
对比式(12)和(11),可知对于真空中的弱自由引力场,Rij = 0。所以式(26)被改写为
其中,Δ为 Laplace 算符。上式即为真空中的弱引力波方程。在笛卡尔坐标中取 x 轴方向为波的传播方向,则显然有
在连续介质力学中,根据文献[7]的 § 22,在各向同性的无限弹性介质中,对于沿相同方向传播的弹性波,其纵波和横波的波动方程分别为
其中,ux、uy、uz 分别为 x、y、z 方向的位移,cl 和 ct 分别为纵波和横波的波速
其中,ρ 为弹性体的密度。计算式(26)对 x 的微商,可得
此处的 εxx 等物理量即为应变分量。请注意式(24)中的 hij 和式(7)中的 εαβ 形式上对应,分别表示广义相对论中时空度规的变化以及连续介质力学中从初始构形到现实构形的度规的变化(即应变)。显然式(31)的第一式在形式上对应式(28)中 i = j = 1 的情况,式(31)的第二式在形式上对应式(28)中 i = 1、j = 2 或 3 的情况。由此可知:广义相对论中的弱引力波方程与连续介质力学中的弹性波方程是统一的。
附注1:弹性体的 Possion 效应导致了弹性力学中存在两个不同的弹性常数,而广义相对论中各向同性的均匀时空不存在这一差别,所以真空中的引力波方程只有一个波速(即真空光速),但各向同性无限介质中的弹性波有两个波速(纵波与横波)。
附注2:如果像本文第一节那样,直接将式(27)中的空间替换为充满空间的弹性介质并令 c→+∞,显然式(27)将变成调和方程,并不能与弹性波方程对应。这是因为真空中的光速并不对应弹性介质中的信号传播速度,所以需要用弹性力学中的应力平衡方程与本构方程将惯性力的作用[10-13]表现出来。
6 Einstein-Cartan理论与偶应力理论的统一
建于黎曼几何上的广义相对论无法描述内禀角动量与轨道角动量间的交换,其根源在于黎曼几何的对称性。在黎曼几何中,Ricci 曲率张量必须是对称的。1922 年,
认为广义相对论应该被延伸成包括仿射扭率,其允许 Ricci 张量可以是不对称的。包含了仿射扭率的黎曼几何的扩充被称为 Riemann-Cartan 几何。
与之对应的,Cosserat 弹性理论假设介质点上存在偶应力,但是偶应力与 Einstein-Cartan 中的自旋在几何描述上有很好的相似性。相关分析较复杂,可参见 Scholz 的工作[14]。
由此可知:Einstein-Cartan 理论与连续介质力学中的 Cosserat 弹性在 Riemann-Cartan 几何的意义下是统一的。
7 关于这种统一的本质的讨论
广义相对论侧重的是物理学原理,诸如能量动量守恒以及时空的弯曲等等,所以它的适用性是普遍的。连续介质力学虽然是一个“模型”式的学科,但其亦为理论物理学分支,需要遵守理论物理学的基本原理。广义相对论可以被视为经典力学针对时空与物质关系的自然推广,而连续介质力学则可视为经典力学从质点和刚体向连续可变形介质的推广(补充了对物性的建模),也就是说,两者都可以在经典力学范畴内完成相同形式的退化。
此外,从几何学的角度来看,几何学是现代力学的重要基础。欧氏几何对应牛顿力学,黎曼几何对应拉格朗日力学,辛几何对应哈密尔顿力学[15]。几何是描述时空的基本工具,而连续介质力学和广义相对论都严重依赖时空概念(包括存在于时空中的物质),两者所研究的物理对象都是时空与物质,都是在(描述时空的)几何学中对物理过程或物理状态进行表征,所使用的数学工具(张量)自然有相通处。所以两者的统一不仅仅是数学的,更是物理的,根源是物理的。
因此,广义相对论和连续介质力学在几何学中基于张量能够实现描述方式的统一,是因为物理上的原因,其数学描述的统一是自然的结果。
8 这种统一在广义相对论中的应用
因为连续介质力学的核心任务是对物性进行建模,故其能为广义相对论提供的一个应用是为引力物体提供本构关系的描述。此处列举一个气体星球的平衡的例子[16]。
在弱引力场中,假定度规张量的分量 g00 为
g00 = 1 + 2φ / c 2 (32)
其中,φ 可被视作引力势。将式(32)代入式(11),当 i = j = 0 时,最终可得
Δφ = 4πGρ (33)
此处 ρ 为气体密度。假设星球内部压强为 p,则平衡条件为
gradp = -ρ gradφ (34)
此处 grad 表示梯度。用式(34)将式(33)改写为
此处 div 表示散度。对于静止的星体,密度和压强的分布是球对称的。式(35)可改写为
此处引入连续介质力学中的正压气体模型。假设 p 和 ρ 具有如下关系
p = Cρ1+1/n (37)
其中,C 和 n 为常数。利用式(36)和式(37)这两个方程可以解出 p 和 ρ 这两个未知数。一般而言需要采用数值方法求解,但当 ρ 恒为常数 ρ0 时,压强 p 有解析解
其中,a 为积分常数,可视为星球的外边界。此外 n = 5 时亦有解析解,感兴趣的读者可自行推导。
以上是一个简单的例子。更重要的是,连续介质力学的理论激发了许多关于引力的修正理论,特别是 Einstein-Cartan 理论。具体内容可参见 Hehl 的工作[17,18]。
9 这种统一在连续介质力学中的应用
连续介质力学针对的主要是连续体。一旦介质在变形过程中出现了不连续现象(比如介质发生破碎或者侵入),传统的描述方式难以应用,因此有学者尝试采用非协调理论(曲率张量非零)来对工程中的变形体力学进行分析[19]。这种计算一般都非常复杂,因此这里只做一般性的论述。必须注意,虽然广义相对论中的时空平直与连续介质力学中的变形协调在几何与物理的意义上是统一的,但在这两个学科中,式(4)一旦被破坏(即广义相对论中的时空弯曲与与介质的变形不协调),其原因可能不同。这里举一个简单的对比:
情况1:一张平整的布料在夹具拉伸过程中,出现了不均匀的起皱,从而无法继续用原来的平直二维空间描述。此时如果在这张起皱的布料所对应的“弯曲的”二维空间内进行描述,则起皱处的 Riemann 曲率张量取某一非零有限值,但并没有奇异性。
情况2:一张平整的布料在夹具拉伸过程中,被拉伸破坏成了两张平整的碎布料。设破坏边缘为曲线 L,此时线 L 以外的布料上的点,其 Riemann 曲率张量依旧为 0,但 L 上的点的 Riemann 曲率张量具有奇异性。
以上两种情况所对应的物理背景是有区别的。在广义相对论中,非零的曲率张量意味着时空本身的弯曲,但这种“非零”指的是“非零的有限值”,并不对应奇异性(这里不涉及 Einstein 方程一般宇宙学解的时间奇异性),而且时空本身依旧是连续的。所以广义相对论中很多的“非协调”更类似情况 1。
对于连续介质力学,在晶体的塑性理论中,非协调变形理论(例如 Burgers 矢量与 Frank 矢量)有着非常良好的应用。文献[20]曾指出过 Einstein 张量在连续介质力学中的作用;文献[21][22]显示出 Cosserat 弹性中的缺陷和广义相对论的关联。但对于一般的工程问题(尤其是土木工程问题),所研究的对象的“不连续性”远比位错或夹杂更为彻底。例如,在岩土工程中,一块岩石可能破碎成两块,并且分散到相距很远的地方。此时,在岩石的分割面附近,位移场类似于 Heaviside 阶跃函数,应变场类似于 Dirac δ 函数,曲率张量则类似于 Dirac δ 函数的二阶导数(曲率张量的“非零”实际上对应着某种奇异性,而并不简单地对应某一个非零值)。这种“非协调”更类似情况 2。
因此,使用非协调理论分析问题时,对“非协调”的物理来源和数学形式的认识必须明确,否则可能造成误用。
10 结语
在几何学的框架下,基于张量,广义相对论和连续介质力学是统一的。在某种意义上,这种“统一”可以被视作将广义相对论中的“时空”换成连续介质力学中的“物质”。广义相对论是物理学原理,而连续介质力学是物理学模型,所以这种统一以前者为基础,以补充了物性描述的后者为应用。拙文通过对这一问题的探讨,希望有助于读者在教学或科研工作中能加深对这两门学科在某些具体问题上的理解。
致谢:作者诚挚地感谢北京科技大学物理系冯澎教授的宝贵建议。
参考文献
[1]陈起辉, 黄飞杰, 傅永平, 等. 二维曲面理论引入数学物理方法的探讨[J]. 物理与工程, 2021, 31(2): 20-30.
CHEN Q H, HUANG F J, FU Y P, et al. The discussion on introducing 2-dimensional surface theory into the methods of mathematical physics[J]. Physics and Engineering 2021, 31(2): 20-30. (in Chinese)
[2]路峻岭, 顾晨, 秦联华, 等. 关于流体力学黏滞及伯努利方程演示实验[J]. 物理与工程, 2020, 30(1): 80-86, 92.
LU J L, GU C, QIN L H, et al. Demonstration experiments on fluid dynamics viscosity and Bernoulli equation[J]. Physics and Engineering, 2020, 30(1): 80-86, 92. (in Chinese)
[3]赵福垚. Neumann 边界条件的半空间调和方程基于广义函数的求解[J]. 力学与实践, 2021, 43(2): 302-305.
ZHAO F Y. Solution of half space harmonic equation with Neumann boundary condition based on the generalized function[J]. Mechanics in Engineering, 2021, 43(2): 302-305. (in Chinese)
[4]是长春. 相对论流体力学[M]. 北京: 科学出版社, 1992.
[5]朗道 Л. Д. , 栗弗席兹 E M. 理论物理学教程 第二卷 场论[M]. 8版. 鲁欣, 任朗, 袁炳南, 译. 邹振隆, 校. 北京: 高等教育出版社, 2012.
[6]谢多夫. 连续介质力学(第一卷)[M]. 6版. 李植, 译. 北京: 高等教育出版社. 2007.
[7]朗道 Л Д, 栗弗席兹 E M. 理论物理学教程 第七卷 弹性理论[M]. 5 版. 武际可, 刘寄星, 译. 北京: 高等教育出版社, 2011.
[8]赵福垚. 对空间与平面力系平衡条件的认识[C]. 第 16 届全国结构工程学术会议. 中国山西太原, 2007: 413-415.
[9]赵福垚, 李颖. 牛顿第一定律表述形式浅析[C]. 全国力学史与方法论学术研讨会. 中国山东烟台, 2009: 78-85.
[10]赵福垚, 宋二祥. 有限一维弹性波动问题的公理化求解及其在自由场中的应用[J]. 工程力学, 2015, 32(4): 47-51.
ZHAO F Y, SONG E X. An axiomatic solution for one dimensional finite space elasto-dynamic problem and its application to free field[J]. Engineering Mechanics, 2015, 32(4): 47-51. (in Chinese)
[11]ZHAO F Y, SONG E X, YANG J. Stress analysis of rotary vibration of rigid friction pile and stress general solution of central symmetry plane elastic problem[J]. Mathematical Problems in Engineering, 2015.
[12]ZHAO F Y, SONG E X. A note about cylindrical wave equation[J]. Soil Dynamics and Earthquake Engineering, 2018, 115(14): 933-934.
[13]ZHAO F Y, XIANG P. Analysis of rotary vibration of rigid friction pipe pile in unsaturated soil[J]. Mathematical Problems in Engineering, 2020.
[14]SCHOLZ E. E. Cartans attempt at bridge-building between Einstein and the Cosserats-or how translational curvature became to be known as torsion[J]. The European Physical Journal H, 2019, 44(1): 47-75.
[15]武际可. 力学的几何化[J]. 力学与实践, 2017, 39(4): 323-332.
WU J K. Geometrization of mechainics[J]. Mechanics in Engineering, 2017, 39(4): 323-332. (in Chinese)
[16]吴望一. 流体力学(上册)[M]. 北京: 北京大学出版社, 1982.
[17]HEHL F W. Gauge Theory of Gravity and Spacetime[M]. Einstein Studies, 2017, 13, 145-169.
[18]
, HEHL F W. Gauge theories of gravitation: A reader with commentaries[M]. Imperial College Press, 2013.
[19]郭仲衡, 梁浩云. 变形体非协调理论[M]. 重庆: 重庆出版社, 1989.
[20]KLEINERT H. Gravity as a theory of defects in a crystal with only second gradient elasticity[J]. Annalen der Physik, 1987, 499(2): 117-119.
[21]KATANAEV M O. Geometric theory of defects[J]. Physics-Uspekhi. 2005, 48, 675-701; Uspekhi Fizicheskikh Nauk 2005, 175, 705-733.
[22]LAZAR M, HEHL F W. Cartan's spiral staircase in physics and, in particular, in the gauge theory of dislocations[J]. Foundations of Physics, 2010, 40, 1298-1325.
基金项目:长治医学院博士科研启动基金(BS202026,BS202043)。
通讯作者:赵福垚,男,长治医学院博士研究生,主要从事工程问题的科技建模研究,zhaofuyao@163.com。
引文格式: 汪志义, 张弛, 赵福垚. 广义相对论与连续介质力学在几何学中基于张量的统一及其应用[J]. 物理与工程, 2022, 32(4): 51-56.
Cite this article: WANG Z Y, ZHANG C, ZHAO F Y. Unification of general relativity and continuum mechanics based on tensor in geometric and its applications[J]. Physics and Engineering, 2022, 32(4): 51-56. (in Chinese)
END
更多精彩文章请点击下面“蓝字”标题查看:对麦克斯韦方程组拓展的评论王青教授:深入理解“拓展的麦克斯韦方程组”——2.0版王青教授:理解王中林院士“拓展的麦克斯韦方程组”“碰瓷”麦克斯韦:伽利略协变和洛伦兹协变电磁场论趣谈热点:运动介质洛伦兹协变电磁理论2021年《物理与工程》优秀论文、优秀审稿专家、优秀青年学者名单王青教授:源自苏格拉底的问题驱动式教育——在互动中共同学习和成长读后感:教育中的现实和远方王青教授:昨晚(6月9日),清华电动力学期末考试朱邦芬院士:“减负”误区及我国科学教育面临的挑战《物理与工程》2022年第3期目录乐永康:新冠肺炎疫情防控下美国物理实验教学及中美情况对比顾牡:对于重新制定的《非物理类理工学科大学物理课程教学基本要求》的认识和体会朱邦芬院士:从基础科学班到清华学堂物理班朱邦芬院士:对培养一流拔尖创新人才的思考李学潜教授:物理是一种文化李学潜教授:如何帮助物理系学生迈过从高三到大一这个坎穆良柱:物理课程思政教育的核心是科学认知能力培养穆良柱:什么是物理及物理文化?穆良柱:什么是ETA物理认知模型穆良柱:什么是ETA物理教学法吴国祯教授:我的国外研究生经历印象——应清华大学物理系“基科班20年·学堂班10年纪念活动”而写
陈佳洱,赵凯华,王殖东:面向21世纪,急待重建我国的工科物理教育王亚愚教授:清华物理系本科人才培养理念与实践葛惟昆教授:关于中外人才培养的几点思考安宇教授:为什么传统的课堂讲授模式需要改变安宇教授:其实教学就是积累的过程刘玉鑫教授:关于本科生物理基础课程教学和教材编著的一些思考沈乾若:重创理科教育的美加课程改革Henderson C:美国研究基金支持下的物理教育研究及其对高等物理教育的影响《物理与工程》期刊是专注于物理教育教学研究的学术期刊,是中国科技核心期刊,1981年创刊,欢迎踊跃投稿,期刊投审稿采编平台:
http://gkwl.cbpt.cnki.net
欢迎关注
《物理与工程》微信公众号
原标题:《广义相对论与连续介质力学在几何学中基于张量的统一及其应用》
本文为澎湃号作者或机构在澎湃新闻上传并发布,仅代表该作者或机构观点,不代表澎湃新闻的观点或立场,澎湃新闻仅提供信息发布平台。申请澎湃号请用电脑访问http://renzheng.thepaper.cn。





- 报料热线: 021-962866
- 报料邮箱: news@thepaper.cn
互联网新闻信息服务许可证:31120170006
增值电信业务经营许可证:沪B2-2017116
© 2014-2026 上海东方报业有限公司




