- +1
服用维生素D有助于预防失智症
原创 Louise Vennells 阿尔茨海默病
一项新的大规模研究表明,服用维生素 D 补充剂可能有助于预防失智症。
埃克塞特大学2023年3月1日消息
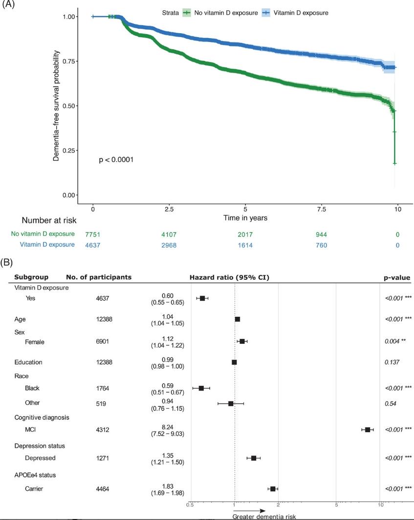
加拿大卡尔加里大学(University of Calgary)的霍奇基斯脑研究所(Hotchkiss Brain Institute)和英国埃克塞特大学(University of Exeter)的研究人员在美国国家阿尔茨海默病协调中心(National Alzheimer's Coordinating Center,NACC)的超过 12,388 名参与者中探索了补充维生素 D 和失智症之间的关系,这些人的平均年龄为71岁,注册时没有失智症。在这组人群中,37%(4,637人)服用了维生素 D 补充剂。
这项研究近日发表在《阿尔茨海默病与失智症:诊断、评估和疾病监测》(Alzheimer's & Dementia: Diagnosis, Assessment & Disease Monitoring)杂志上,由英国国家健康与保健研究所(National Institute for Health and Care Research,NIHR)埃克塞特生物医学研究中心(Exeter Biomedical Research Centre)支持。服用维生素 D 可以延长无失智症的生活时间,他们还发现服用补充剂的那组人患失智症的几率降低了 40%。
研究于2023年3月1日发表在《Alzheimer's & Dementia: Diagnosis, Assessment & Disease Monitoring》(最新影响因子:4.791)杂志上在整个样本中,2,696 名参与者在十年内发展为失智症,其中,2,017 人(75%)在失智症诊断前的所有随访中都没有接触维生素 D,679 人(25%)有基线期接触维生素 D。
卡尔加里大学和埃克塞特大学的 Zahinoor Ismail 教授领导了这项研究,他说:“我们知道维生素 D 对大脑有一些影响,可能会减少失智症,但到目前为止,研究得出的结果相互矛盾。我们的发现对那些可能是维生素 D 补充的特定目标群体提供了关键的见解。总的来说,我们发现的证据表明,在认知能力开始下降之前,早期补充维生素 D 可能特别有益。”
虽然维生素 D 对所有组都有效,但研究小组发现,与男性相比,女性的效果明显更大。同样,与那些报告有轻度认知障碍迹象的人相比,认知能力正常的人受到的影响更大,认知能力的变化与失智症的高风险有关。维生素 D 对没有携带 APOEe4 基因的人的影响也明显更大,与非携带者相比, APOEe4 基因被认为具有更高的患阿尔茨海默病的风险。作者认为,携带 APOEe4 基因的人可以更好地从肠道吸收维生素 D,这可能会降低维生素 D 的补充效果。然而,没有采血来验证这一假设。
之前的研究发现,低水平的维生素 D 与较高的失智风险有关。维生素 D 参与大脑中淀粉样蛋白的清除,淀粉样蛋白的积累是阿尔茨海默病的标志之一。研究还发现,维生素 D 可能有助于保护大脑免受 tau 蛋白的积聚影响,tau 蛋白是另一种与失智症发展有关的蛋白质。
研究报告的合著者、埃克塞特大学的 Byron Creese 博士说:“考虑到受影响的人越来越多,预防甚至延缓失智症的发病至关重要。这项研究与维生素 D 的联系表明,服用维生素 D 补充剂可能有助于预防或延缓失智症,但我们现在需要临床试验来证实是否真的如此。埃克塞特大学正在进行的维生素 D 研究正在进一步探索这个问题,随机分配参与者服用维生素 D 或安慰剂,并随着时间的推移检查记忆和思维测试的变化。”

始创于1838年的英国埃克塞特大学内容停更三天 2023年3月4-6日,3月7日复更,望知悉。
参考文献
Source:University of Exeter
Taking vitamin D could help prevent dementia, study finds
Reference:
Maryam Ghahremani, Eric E. Smith, Hung‐Yu Chen, Byron Creese, Zahra Goodarzi, Zahinoor Ismail. Vitamin D supplementation and incident dementia: Effects of sex, APOE , and baseline cognitive status. Alzheimer's & Dementia: Diagnosis, Assessment & Disease Monitoring, 2023; 15 (1) DOI: 10.1002/dad2.12404
免责声明
本公众号上的医疗信息仅作为信息资源提供与分享,不用于或依赖于任何诊断或治疗目的。此信息不应替代专业诊断或治疗。在做出任何医疗决定或有关特定医疗状况的指导之前,请咨询你的医生。
本文为澎湃号作者或机构在澎湃新闻上传并发布,仅代表该作者或机构观点,不代表澎湃新闻的观点或立场,澎湃新闻仅提供信息发布平台。申请澎湃号请用电脑访问http://renzheng.thepaper.cn。





- 报料热线: 021-962866
- 报料邮箱: news@thepaper.cn
互联网新闻信息服务许可证:31120170006
增值电信业务经营许可证:沪B2-2017116
© 2014-2026 上海东方报业有限公司




