- +1
俯卧位通气在COVID-19 ARDS患者中的早期生理作用
原创 苗继文 山中麻署

背 景
BACKGROUND
在COVID-19 ARDS(急性呼吸窘迫综合征)患者中,俯卧位通气因被认为能有效改善患者氧合而得到广泛应用,但潜在机制尚不清楚。在非 COVID-19 ARDS中,俯卧位通常可使肺背侧区和腹侧区域之间的通气分布更均匀,而血流灌注没有显著变化。在COVID-19 ARDS患者中,关于俯卧位下的通气/血流比变化情况,当前尚无确切的研究证据。研究者假设COVID-19 ARDS患者行俯卧位通气后,由于肺部通气/血流灌注匹配得到优化因此改善了动脉氧合情况。因此研究者设计了本项前瞻性临床试验,在插管行机械通气的COVID-19 ARDS患者中,评估予以俯卧位通气后的早期疗效。
方 法
METHODS
研究对象
本研究纳入了所有在2020年12月1日-2021年4月1日期间,予以气管插管机械通气的COVID-19 ARDS患者。根据既往已发表的指南,患者接受了至少一个周期(平均17.5h)的俯卧位通气。
所有患者均予以了低剂量类固醇和中等剂量低分子肝素治疗。所有患者都在俯卧位通气的第一个周期中进行了研究。
排除标准是年龄小于18岁;存在俯卧位和/或电阻抗断层扫描的禁忌证。若患者在俯卧位60min后提示PaO2 /FiO2 增加超过 20%,则被认为是俯卧位通气治疗响应者。
主要结局
俯卧位90min后评估效果:主要结局评估俯卧位引起的通气/血流灌注匹配的百分比变化。次要结局是肺通气和灌注的分布和均匀性、肺过度膨胀和塌陷、呼吸系统顺应性、驱动压力、通过电阻抗断层扫描评估的最佳呼气末正压(PEEP)和PaO2/FiO2的变化。研究方案见图1。

▲ 图 1
结 果
RESULTS
本研究共纳入了30名Covid-19 ARDS患者,纳入研究时为新冠症状出现后中位数第10天 [四分位距IQR,7-13天],入院天数中位数为第4天 [IQR,2-7天]。入组流程见图2,患者的基线特征见表1。24名患者(80%)在住院后中位数第16天[IQR,10-24天] 后从ICU活着出院。在患者俯卧位后,每次测量之间电阻抗断层扫描带不需要重新定位。

▲ 图 2

▲ 表 1
俯卧位与仰卧位基线值相比的变化见表2。

▲ 表 2
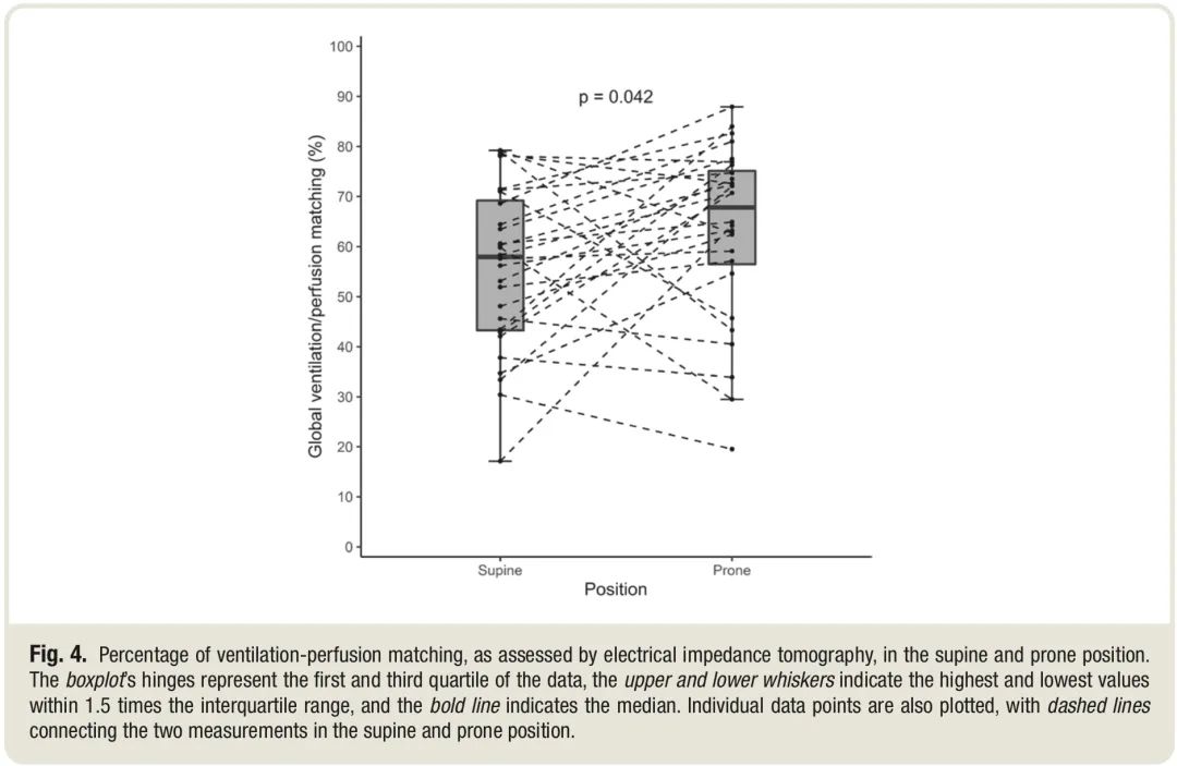
俯卧90min对患者的生理影响存在个体差异(图3),但通气灌注匹配度总体显著增加(图4),从58% [IQR,43%至69%] 增加到68% [IQR,56%至75%](P=0.042)。死腔面积(仰卧位为40% [IQR,27至55%],俯卧位为29% [IQR,24至41%],P = 0.103)和分流区域(仰卧位为2% [IQR,1至4%],俯卧位为1% [IQR,0至3%],P = 0.178)。这两个指标在两种体位中没有变化,但是从仰卧位到俯卧位不匹配面积总体下降(仰卧位为42% [IQR,31至57%] ,俯卧位为32% [IQR,25至43%],P = 0.045)。俯卧位使背侧肺通气的比例从39% [IQR,31%至43%] 增加到52% [IQR,44至62%](P < 0.001; 图5A),而不影响背侧灌注(52% [IQR,42至64%] 与57% [IQR,50至61%],P = 0.224; 图5B)。
同样如表2所示,仰卧位和俯卧位之间基于电阻抗断层扫描的中位最佳PEEP没有差异(分别为14cm H2O [IQR,12至15] 与14cm H2O [IQR,12至16] ,P = 0.086)。平台压力、驱动压力和准静态呼吸系统顺应性在仰卧位和俯卧位之间没有显著差异(图6A和6B)。俯卧位时,过度膨胀导致的肺顺应性丧失从9% [IQR,4至11%] 降至4% [IQR,2至6%](P = 0.025; 图6C),而继发于肺塌陷的顺应性丧失没有变化(仰卧位为4% [IQR,2至7%] ,俯卧位为7% [IQR,4至9%], P = 0.336; 图6D)。

▲ 图 3



21例患者(70%)为俯卧位通气治疗响应者。PaO2/FiO2的中位数从141mmHg [IQR,104 增加到182] 增加到235mmHg [IQR,164-267](P < 0.001),而PaCO2和pH在仰卧位(Paco2为45 mmHg [IQR,40至52] ,pH为7.38 [IQR,7.31至7.43])和俯卧位(Paco2为45 mmHg [IQR,42至52] ,pH为7.37 [IQR,7.33至7.42])之间没有差异(PaCO2和pH分别为P = 0.350和P =0.611)。该类患者的氧合改善良好,在完成项目研究评估后,其FiO2可从0.6 [IQR,0.4-0.9] 减少到0.5 [IQR,0.4-0.6] (P = 0.008)。
总 结
CONCLUSION
在本项观察性研究中发现,在插管行机械通气的 COVID-19 ARDS 患者中,早期俯卧位总体上与通气/血流灌注匹配改善、背侧通气增加、过度扩张减少和 PaO2/FiO2 增加相关,同时不影响背侧灌注、肺塌陷、驱动压力和准静态呼吸系统顺应性。然而,在本研究中,患者群体中俯卧位下的生理效应改变存在异质性,因此需要进一步更大规模的临床研究来评估电阻抗断层扫描分析是否可以根据肺通气-血流灌注分布的早期变化,以可靠地预测俯卧位疗效。
原始文献:
Zarantonello F, Sella N, Pettenuzzo T, Andreatta G, Calore A, Dotto D, De Cassai A, Calabrese F, Boscolo A, Navalesi P. Early Physiologic Effects of Prone Positioning in COVID-19 Acute Respiratory Distress Syndrome. Anesthesiology. 2022 Sep 1;137(3):327-339. doi: 10.1097/ALN.0000000000004296. PMID: 35708999.
编 译:苗继文
排 版:蒋 明
校 审:方 芳
缪长虹
本文为澎湃号作者或机构在澎湃新闻上传并发布,仅代表该作者或机构观点,不代表澎湃新闻的观点或立场,澎湃新闻仅提供信息发布平台。申请澎湃号请用电脑访问http://renzheng.thepaper.cn。





- 报料热线: 021-962866
- 报料邮箱: news@thepaper.cn
互联网新闻信息服务许可证:31120170006
增值电信业务经营许可证:沪B2-2017116
© 2014-2025 上海东方报业有限公司




