- +1
难倒GPT-4,“韦神”出题,初二学生给出标准答案
2023-03-31 10:02
来源:澎湃新闻·澎湃号·湃客
听全文
字号
近日,北京大学北京国际数学研究中心推出的一道数学题,获得了数学爱好者的广泛关注。
出题的是北京大学数学科学学院研究员,第49届、第50届国际数学奥林匹克竞赛满分金牌得主韦东奕。
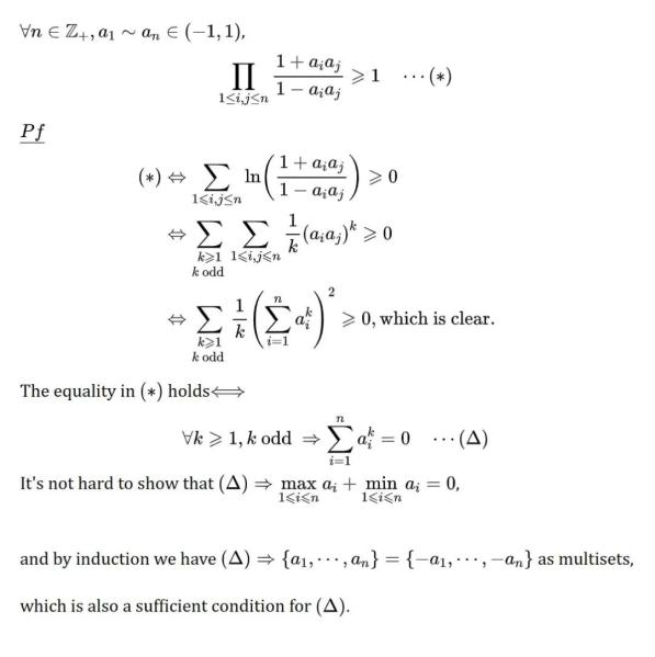
题目
截至目前,已有近百位读者提交了解答。出题人韦东奕从中挑选了三份作为“较好的解答举例”。据韦东奕介绍,本题的解答线索只有一个,因此他挑选出来的三份解答相似度高,均可以作为标准答案来使用。特别是其中有一位初中二年级的同学,给出了简洁、完备的答案,令人欣喜。较好的解答案例
解答1
答题人来自国内某大学

解答2答题人来自国内某中学
解答3答题人来自海外某大学
网友表示


另据南方都市报报道,解出“韦神”题目的中学生,是来自深圳中学初二年级的王羿骁同学。深圳中学数学竞赛教练阮中楠老师接受采访时表示:“这道题具有一定难度,需要用到高等数学的知识,一位初中生能做出来很难得,但也在情理之中。”阮中楠老师分析,这道题目王羿骁同学观察到对题目的连乘式取对数后用Taylor级数展开,可以消去级数的偶次项,并通过交换求和顺序将奇次项配成完全平方和,从而证明其非负,最后对于等号成立条件的讨论简洁而严谨,展现了他敏锐的代数直观和熟练的代数技巧。“解这道题目需要用到大学的数学知识。”
在阮中楠眼中,王羿骁是一个特别有钻研精神的学子,平时会花很多的时间去思考和解决疑难问题,具有刻苦和专注的优秀品质。“初二年级就能解答出这样一道题目,所运用的数学知识和技巧也非常简洁、直观,实属难能可贵。”但阮中楠也表示,应当客观看待,不宜过度吹捧。小彩蛋
最近火爆全球的GPT-4,能不能解答韦东奕出的题目呢?下面是北京国际数学研究中心老师们测试的结果——
图片来自于董彬老师的报告中国科学院院士、北京大学数学科学学院教授、北京国际数学研究中心主任田刚说,目前看来,在“解答有挑战的数学问题”这个任务上人类大脑具有优势,但是随着AI不断升级更新,这种优势能在多大程度上保持呢?年轻一代将肩负起探寻这一问题答案的重任。
来源:澎湃新闻、南方都市报、齐鲁晚报、中国青年报等等
原标题:《难倒GPT-4!“韦神”出题,初二学生给出标准答案》
特别声明
本文为澎湃号作者或机构在澎湃新闻上传并发布,仅代表该作者或机构观点,不代表澎湃新闻的观点或立场,澎湃新闻仅提供信息发布平台。申请澎湃号请用电脑访问http://renzheng.thepaper.cn。
+1
收藏
我要举报





查看更多
澎湃矩阵
新闻报料
- 报料热线: 021-962866
- 报料邮箱: news@thepaper.cn
互联网新闻信息服务许可证:31120170006
增值电信业务经营许可证:沪B2-2017116
© 2014-2026 上海东方报业有限公司
反馈




