- +1
为什么大多数减肥以失败告终?(下)
作者:朱为模
美国运动科学院(National Academy of Kinesiology仅限160人)院士
美国伊利诺伊大学终身教授,博士生导师
朱教授是运动与健康在测量与评价方面的国际知名学者
在SCI和SSCI杂志上发表科研论文100多篇
曾担任美国体育测量与评价协会主席(1997-1999年)
美国总统体质与竞技体育委员会科学顾问(2003-2006年)
美国著名《锻炼与运动研究季刊》)主编(2012-2018年)
文章首发于:纵横中美
已授权《中国临床营养网》转载
笔者在“为什么大多数减肥以失败告终?(上)和(中)”两文中把什么是肥胖,人为什么会肥胖,肥胖和众多疾病之间的关系,以及为什么大多减肥以失败告终做了介绍。
当然大家最关心的还是这肥到底该怎么减?
虽然大多数人的减肥最终以失败告终,但仍有大约1-5% 的人还是成功了,掌握他们的成功经验是非常重要和关键的。根据美国体重控制注册研究对减肥成功人士的调查,发现了以下成功诀窍:
1. 每天吃早饭
科学界的这一建议与中国养生一贯提倡“早吃好,中吃饱,晚吃少”的忠告不谋而合。早饭吃好了(注意要保证蛋白质的摄入),一天精神抖擞,精力旺盛,自然愿意小动动,而“小劳”的行为多了,一天积累下来的能量消耗也不知不觉地增多了。常言道“马无夜草不肥”,如果晚上吃多了,多余的能量就会很快转化为脂肪存储下来。
(图片来源:微信公众平台公共图片库)2013年的一项研究发现,早上吃得多的一组受试者的饿素(Ghrelin)要比吃得少的一组下降得快,为“早吃好”的饮食习惯提供了科学依据。
2. 每天称体重
“只进不出点”对体重的记忆需要时间(注:因为进化中体重和脂肪是个好东西,一旦在身体内存储一段时间后就成为“正常”标准后再减就很难。专家叫这个现象为“Set Point”,我上期(中)减肥文章中把它翻译为“只进不出点”),所以一定要随时观察体重的变化,把因大吃特吃或懒于运动而刚刚增加的几斤体重立刻通过饮食控制和增加运动,迅速地把它们消灭在“萌芽”之中。一旦这些新增的体重被“只进不出点”重新定标,再想减掉它们就非常痛苦和艰难了。
研究发现:同为准备减肥的人,每天称体重者一年下来能减掉体重的3%,而不常称体重者则没有变化;该研究甚至发现每天称体重的人又过了一年以后,居然仍能保持被减下来的3%。
(图片来源:微信公众平台公共图片库)除了称体重,我个人的一个经验就是觉得衣服紧了(即体重增加了),千万不能去换新的宽松的衣服,而是要马上开始调整饮食,加大运动量,将危险的增重马上消灭!下面是我之前参加第26届全国肿瘤防治宣传周活动时录的视频。因为是重要事件,所以专门穿上我的“标准西装”去录制。说起这套西装还有段小故事。30年前的1990年应邀去Wayne State University面试。当时是个穷博士生,只有一套国内带来的中山装(虽然当时也有个RA科研助理的工作,但因为是外国学生要交较高的州外学费,剩下的连付房租都不够,所以好长时间住在一个参加过第一次世界大战的老飞行员家,照顾他起居,免了房租;太太和儿子来了后,我们又移师一个残疾人家,主要由太太照顾她的起居)。为了做好面试准备,立即和太太出发买西装。当时告诉售货员我需要一套能够应付美国大学面试的正式西装,结果他推荐这套300多美金(当时对我们可有点像天价)的西装(估计他也看到一个好的销售机会),咬了咬牙,还是决定买下,也应该对拿下第一个工作是有帮助的。因为“太珍贵”,后来也只是在开年会或很正式的场合才穿。慢慢的,它变成了我的体重和身材管理的监督,穿上去觉得小了或紧了,不是去换一套西装,而是赶快注意饮食和运动的调整。一晃30年过去,庆幸现在还能穿的挺合身。坚持锻炼,希望30年后还能穿的进!
3. 每天运动一小时
减体重的最基本原理还是能量收支的平衡,就维持减肥后的体重而言,运动更重要。研究发现(Leibel et al., 1995),如果你想减掉体重的10%,你需要减少摄入22%的能量,但光靠控制饮食来减肥或保持理想体重所带来的饥饿感太痛苦,也非常不容易坚持,因此结合运动自然也就变得非常地重要了。
闻鸡起舞!科学研究发现早上空腹锻炼对减肥更有效。Appalachian州立大学的一项研究发现,如果早上做45分钟中高强度的运动,可以帮助在一天里多消耗190卡路里。
(图片来源:微信公众平台公共图片库)我的几个建议:
根据我在美国参加对减肥的科学研究以及我对中国减肥失败大军的观察,我对国人的减肥有以下几点建议:
1. 不要轻易加入减肥大军
目前很多中国人,特别是年轻女性,其实并不胖,为了追求骨感美也匆匆地加入了减肥大军,结果弄巧成拙,或越减越肥,或导致了饮食失调症(也叫厌食症,Eating Disorder)。一定量的脂肪对身体健康,尤其是对于年轻女性的健康是非常重要的。纵观浩浩荡荡五花八门的中国减肥市场,他们的销售重点就在年轻女性,在各类狂轰滥炸的减肥广告和时尚杂志的影响与示范下,不少体重正常稍显丰硕的女性也误入圈套,加入与健康相悖的减肥行列。我注意到一个问题,很多即使是很成功的国外的减肥企业和品牌进了中国以后也变了味,将矛头直指中国年轻女性,这是非常可悲的。很多妙龄女郎错误地减肥结果患上了厌食症,有的因此丢掉了性命。
美国女孩子到了高中年龄时,每10个人中就有1人出现类似于厌食症的症状,当然厌食症不是女孩子的“专利”,男性患厌食症的消息也常有耳闻。我在国内高校讲学交谈中发现很多中国女大学生正在错误地减肥,有些已经游走在厌食症的危险边缘了。2. 节食减肥速度一定要慢
俗话说“罗马不是一天建成的”,多出来的几十斤脂肪当然也不是从天而降的,既然这些不速之客悄然而来,请它们走时也一定不能太快。减肥速度如果太快、太猛,身体得到的信号将是“大饥荒来了!”,身体的自然保护反应则是基础代谢率下降,饥饿感增强,结果必然导致减肥失败,并且可能越减越肥。因此那些自称能在短期内迅速减肥的服务项目,不但骗人,而且是在害人!
节食速度太快时,身体的第一保护功能就是马上降低基础代谢率(上图左);研究发现慢速度节食加运动可以明显减缓基础代谢率下降的速度。另外,女性过了45岁,男性过了50岁基础代谢率会有一个明显地下降(上图右),这也是人到中年发福的一个重要原因。3. 学会与“饥饿”作斗争的技巧
难以忍受的痛苦的饥饿感是导致减肥失败的最主要原因。19世纪末,前苏联生理学家巴甫洛夫就开始对食物的“色、香、味”与饥饿感做了深入的研究,并因此获得了诺贝尔奖。食品加工业发展到现代,制造商们对食品的口感、口味了如指掌,经过糖、油、色素等等处理过的加工食品之美味,常常令人食欲大开,这些都使立志与“饥饿”做艰苦卓绝的斗争的減肥变得格外困难。对饥饿感最敏感的身体调节是体内的血糖水平和胃的饱感,所以保证一个较为平稳的血糖水平和胃饱感是关键。
早饭必须要有一定量的蛋白质,这样消化起来慢,使得一天中不断地有能量供应;
每餐中一定要保证一定量的粗纤维,胃容易得到饱感;
午餐与晚餐之间可以吃点水果或果仁,晚饭前不会因为感觉太饥饿而过量进食;
吃饭前先喝汤,使胃得到饱感而减少进食;
尽量少吃加工食品,这些食品一是太容易消化(因此会导致血糖水平快升快降),二是它们多数含有不利于健康和导致肥胖的过量的糖、油、色素等。
如果是下午运动,尽可能地把运动锻炼的时间放在晚饭前进行,运动以后喝点水,食欲就不会太强,“晚吃少”也就比较容易做到了。
“民以食为天”也是巴甫洛夫在多年对“条件反射”研究以后对人做的结论(上图左);今天的商家对食物广告的精巧设计可谓发挥得淋漓尽致(上图右)。4. 警惕和消除“隐性”能量
尽可能避免饮用碳酸饮料(如:可乐等),因为除了额外的糖,这些饮料对健康没有一点好处。美国许多州的中小学校已把这些饮料请出了校门,我因为常常回到中国讲学的关系,看到的情况恰恰与美国的中小学校相反,很多中国学校(尤其是大学校园内)以及大量的现代化的公共场所(包括体育场馆和晨练的场地)正在积极安装多种碳酸饮料销售机或设立便利店、销售点。需要提醒大家注意的是,所谓的果汁饮料的隐性能量也不容忽视,在水果饮料加工中,有利于健康的粗纤维大量流失,为了调节出可口的味道和漂亮的颜色,往往加入了糖和色素。
饮用一杯小小的含糖饮料,能让你辛苦了半天的减肥努力前功尽弃!5. 保持足够的睡眠
最新的研究表明,缺觉是导致肥胖的一个危险因素,主要原因包括醒着的时候多摄入的能量(每天大约300卡路里),下降的基础代谢率和增加饿素的分泌。
6. 基础代谢!基础代谢!
我们摄入的约60-70%的能量是用于维持生命的,叫做基础代谢。所以,有效提高基础代谢是减肥最有效的方法,因为身体中的骨骼肌(即肌肉)是基础代谢消耗的大户,保证骨骼肌在身体中的比例尤为重要,而锻炼维持骨骼肌肉最有效的方法就是力量训练。
对力量训练在减肥中的作用恰恰是中国老百姓(甚至也包括不少专业人员)运动锻炼中的一大误区,中国的年轻女性往往认为自己的目的意在减肥,力量训练会把肌肉块练大了难看;中国的老年人往往认为力量训练中常要屏气,会对心脏负荷压力太大等等,其实这些认识都是“过时”的或者错误的。
年轻女性因为雌性激素的作用,一般的力量训练是不会把肌肉“块”练起来的,相反,把中小力量训练与有氧运动结合起来其实是提高肌肉百分比,从而提高基础代谢率的最佳方法。与此相反,光靠饮食控制的减肥/控重一是很难坚持,二是很容易导致“隐性”肥胖,即:体重似乎正常,但脂肪百分比却很高(注:身高、体重指数不能准确地测定脂肪百分比,需要用皮脂钳或电阻抗法或双能X线法来测定是否属于“隐性”肥胖)。
请大家照照镜子对号入座
对老年人而言,力量训练就更加重要了。人从30岁起,肌肉就开始走下坡路,如果不锻炼,到50岁时,肌肉体积即已经萎缩10%,60-70岁之间大约又萎缩15%,80岁后每10年的萎缩则可高达30%;平均下来,40岁以后每10年肌肉萎缩5斤左右,而同期脂肪约增加10斤左右,一下一上,不健康的体重在每10年中等于增加15斤!如果只靠控制饮食来调节体重,虽然对“坏体重”(即脂肪)有所帮助,但对“好体重”(即肌肉)的维持则帮助甚微。
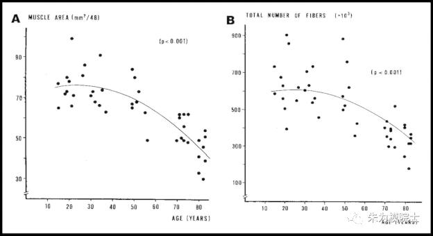
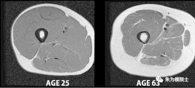
随着年龄增加,肌肉面积(上图-A)和肌纤维数量(上图B)都会减小和减少;下图为25岁和63岁男性的大腿肌肉横断扫描照片(外围白色为脂肪,里面灰色为肌肉,中间黑白为骨头),也证明了岁月的无情。
但可喜的是运动可以有效地缓减衰老的速度(上中下图分别为40岁男性铁人三项运动员,70岁久坐不动男性和70岁男性铁人三项运动员大腿肌肉横断扫描照片)- 生命在于运动!老年人和女性都应该定期做力量训练。为什么叫肌肉为“好体重”呢?这是因为肌肉可以帮助身体清理多余的血糖,肌肉体积增加可以帮助人的基础代谢率提高,力量大了,脚和身板硬了,人也愿意动起来,有氧能力也有所提高。另外,虽然有些力量训练属于无氧运动,但锻炼后的肌肉细胞水平的恢复并不是马上停止,相反,这类恢复活动可以延续较长时间,因为这些恢复活动需要能量支持,力量训练后的卡路里消耗也是相当可观的,和运动时的卡路里消耗加在一起,力量训练的耗能功能绝不亚于有氧运动。
7. 减肥心理调节不可忽视
对自我控制(Self-control)的心理生理学研究(McGonigal, 2012)表明,人在自我控制中表现的矛盾(例如:明知吃甜点容易发胖,但又不能控制地一次又一次的多吃)也是与人类漫长的进化过程有关,多吃甜点容易积累脂肪是几万年中环境告诉人体要做的事,而突然变化的环境使人增加了很多吃甜点的机会,但人类后来进化中发展的自控能力则告诫自己,吃得太多会发胖,会使减肥的努力前功尽弃,两者会在减肥的过程中不断地斗争。研究表明,经常做点放松、深呼吸或打坐一类的运动会帮助“好思想”(少吃或不吃甜点)战胜“坏思想”(再来一块吧)。另外,研究也表明,家庭和社会的支持对成功减肥也很重要,准备减肥的人在开始减肥前一定要预先建立起自己的社会支持圈。
8. 了解减肥对其它疾病的影响
肥胖的人常常会同时患有其它慢性病,减肥中引起的生理和心理变化可能会对其现有的疾病产生预想不到的负面影响。所以,减肥前一定要做一次全面的体检,如果已患有某种疾病,一定要咨询有关专家,对防范可能出现的减肥副作用做好应急准备。
9. 改变生活习惯/方式是关键
大量的研究表明,靠单一方法来取得减肥成功的可能性很小,逐步养成良好的运动习惯、良好的饮食习惯和良好的生活方式是成功的关键。可以说,成功的预防肥胖或减肥是一个系统工程,个人、家庭、学校、社区和社会都有各自的角色和责任,任何一环的缺失都会导致大规模人群肥胖预防和减肥的失败。
(图片来源:微信公众平台公共图片库)把运动自然而然地融于生活,减肥就会变得自然和容易!
这不,家里的饮水罐(每个水罐5加仑 x 3.79公斤 = 18.93公斤)成了我最好的“哑铃”!“搬运重物”是人类没有工具特别是还没有发明labor-saving(省力)工具年代前最重要的“运动”形式之一,包括抱孩子、扛回打到的猎物。体能训练界,尤其是Crossfit(交叉体适能训练)里,开始找回这些老祖宗的训练方法。因地制宜我也开始尝试用家里的饮水罐做搬运训练,效果不错!只要做个有心人,处处都是健身房!

10. Fun!Fun!(有趣!有趣!)一提到减肥,很多人会马上记起过去自己在快速减肥过程中“累的七死八活,饿的头昏脑涨,反弹的一塌糊涂”的痛苦。其实这是完全可以避免的。研究表明,一个星期的运动和饮食调整后,给自己来点小“垃圾食品”奖励奖励(不能多吃哦!)反而会有利减肥努力的继续。下面这个小实验更证明,只要有趣,人人爱运动!
小结:
脂肪在人类的进化过程中起着非常重要的作用,正因为如此,人类在进化中不断地尝试创造一个“多进少出”的能量消耗环境,并在过去的一两百年(中国是几十年)中得以长足进步,带来的副作用则是世界范围的肥胖泛滥,减肥也因此成为人类的一个新行为以及社会的新产业。然而,人们大多数减肥的努力却都以失败告终。人类对科学减肥(体重控制)的研究才刚刚起步,任重而道远。了解了脂肪从哪里来,它在进化中的重要作用,为什么减肥会失败和科学减肥的正确方法,离找回美丽身材就不远了!
《中国临床营养网》编辑部
本站动态栏:
原标题:《【科普营养】为什么大多数减肥以失败告终?(下)》
本文为澎湃号作者或机构在澎湃新闻上传并发布,仅代表该作者或机构观点,不代表澎湃新闻的观点或立场,澎湃新闻仅提供信息发布平台。申请澎湃号请用电脑访问http://renzheng.thepaper.cn。





- 报料热线: 021-962866
- 报料邮箱: news@thepaper.cn
互联网新闻信息服务许可证:31120170006
增值电信业务经营许可证:沪B2-2017116
© 2014-2026 上海东方报业有限公司




