- +1
《绍熙云间志》中的上海地名
原创 上海地名志 方志上海
上海地名史话
《云间志》,亦称《绍熙云间志》,是一本专门记载南宋及较早时期今上海淞南地区地名的地方志,因编次的年份在南宋绍熙四年(1193年)而得名,在上海旧志中有较重要地位。“云间”一名,出现于《晋书·陆云传》及《世说新语·排调》中,大意说西晋名士陆云(字士龙)与兄陆机(字士衡)同游洛阳,在张华家中遇到中原名士荀隐(字鸣鹤),张华要求他们“勿为常谈”,陆云自我介绍“云间陆士龙”,荀隐答以“日下荀鸣鹤”,“云间”一名由此而来。又因陆氏兄弟久住华亭,唐天宝十年(751年)吴郡太守赵居贞奏割昆山、嘉兴、海盐3县地始置华亭县,后人即以云间指华亭县。
《晋书 陆云传》(武英殿二十四史本)中有关“云间陆士龙”的记述一
今天上海市范围内的陆地,六七千年前仅限于“冈身”以西地区。《云间志》在“古冈身”条记载:“在县东七十里,凡三所。南属于海,北抵松江,长一百里,入土数尺皆螺蚌壳,世传海中涌三浪而成。其地高阜,宜种蓺菽麦。”这条古冈身至今还存在,在冈身之上,提到两个著名的历史地名:一是“三女冈”,亦作“三女”,其遗址在今奉贤南桥镇;另一个是筑耶城,“筑耶城将军祠”条:“在沙冈,有筑耶城遗址尚存,晋左将军袁崧筑也……”。
《云间志》(卷一 古迹)“古冈身”条目(哈佛大学汉和图书馆藏嘉庆刻本)《云间志》引《通典》及《太平寰宇记》的记载:华亭县地有华亭谷,因以为名。华亭谷,也称长谷,流经谷中之河流曰谷水。《元和郡县图志》:“华亭谷在县西三十五里,陆抗宅在其侧,陆逊封华亭侯。”
《通典》(卷 一百八十二)“华亭”条目
《元和郡县图志》“华亭县”条目(《畿辅丛书》本)所以谷、长谷、谷水和华亭谷是与古代地形有关的几个地名,又与陆逊所封的华亭侯有一定关系,也是华亭县得名的由来。
二
唐宋华亭县故境,东、南两边均滨海,《云间志》在“城社”章有“华亭邑于海土需”,可见与海发生密切的关系。按:华亭县南境,本秦、汉会稽郡(东汉改吴郡)海盐县地,“海盐”一名,从“海”字来说,这是上海市最早以滨海地理位置作为行政建制的地名。
“沪渎江”条:“在县东北,<吴郡记>:松江东泻海曰沪海,亦谓之沪渎”。这一段中提到沪渎、沪海两名也值得注意,陆鲁望《渔具诗·序》“列竹于海澨曰沪”,《白虎通》:“发源而注海曰渎”,所以沪、渎两字的原义,都是与海发生关系的。古代松江发源太湖,经吴郡吴县(今苏州市)从松江下游沪渎以通海,唐陆广微《吴地记》:从吴县匠门可“沿松江,下沪渎”,讲的就是这条海路。
《云间志》(卷二 水)“沪渎江”条目(哈佛大学汉和图书馆藏嘉庆刻本)古代沪渎海口宽广,相传“可敌千浦”,海船出入颇为方便。但进入松江内河,水道自当明显收缩,所以位于深入冈身以内的青龙镇,还可以见到像现在去“海宁观潮”那种潮水汹涌澎湃之状,宋梅圣俞《青龙海上观潮诗》:“百川倒蹙水欲立,不久却回如鼻吸”,就是这种海上壮观的历史写照。
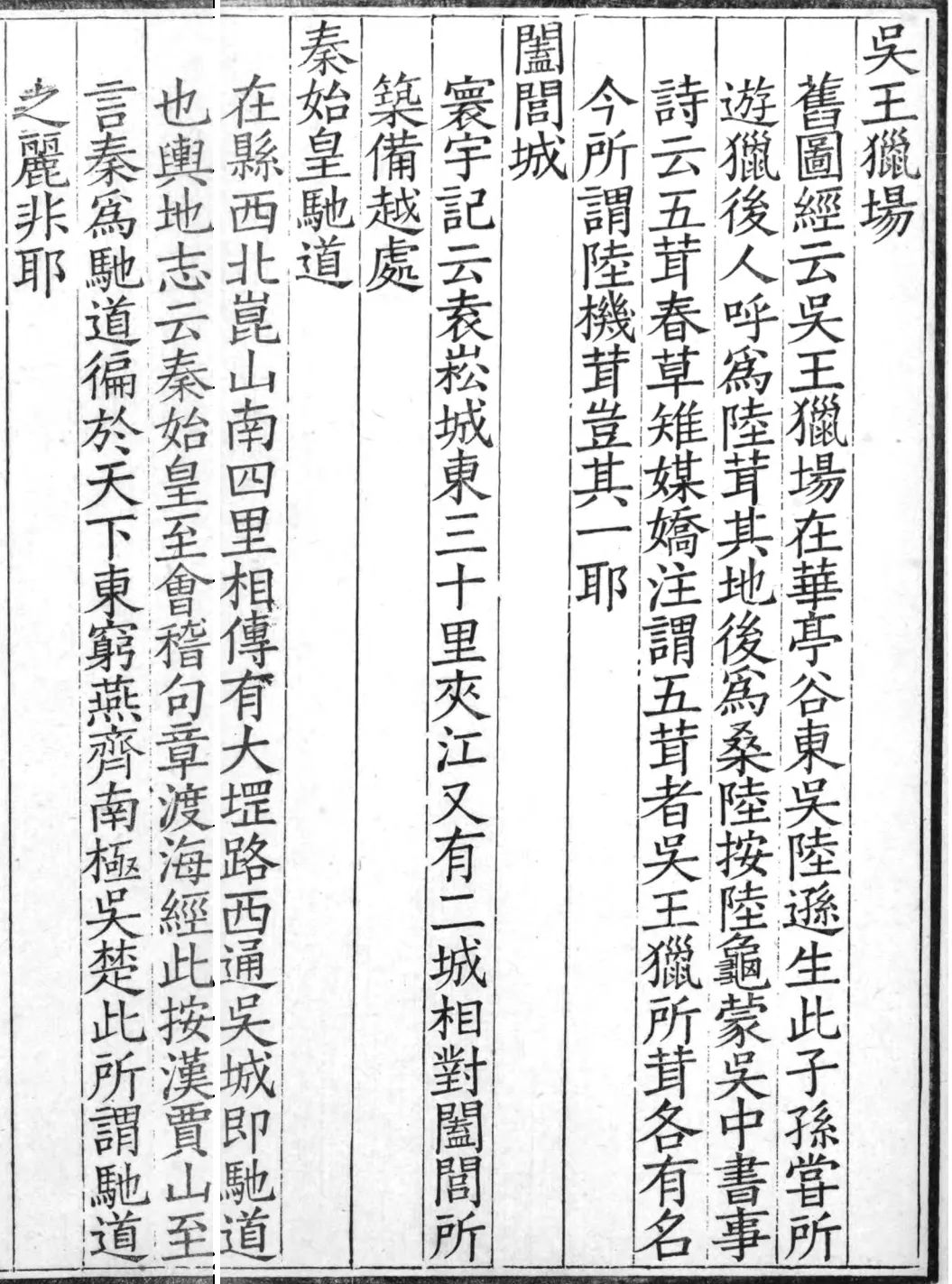
《云间志》“城社”章:“县之有城,盖不多见,华亭邑于海壖,或者因戍守备御而有之”,又说:“是唐之置县,固有城矣”。在“镇戍”章:“华亭襟江带海,上而吴、晋,近而吴越,尝筑城垒置防戍,所以控守海道者至矣”。“古迹”章“金山城”条,引《旧经》云:“昔周康王东游,镇大海,遂筑此城,南接金山,因以为名”。又如“阖闾城”条,引《寰宇记》“袁崧城东三十里,夹江又有二城相对,阖闾所筑,备越处”。按:阖闾城在陆广微《吴地记》称为南武城,“南武城,阖闾所筑,以御见伐之师”。袁崧城即沪渎垒,东晋时虞潭、袁山松先后筑城于此,阖闾城更在沪渎垒之东三十里处,当位于古代冈身的最前端,为一重要的古代海防据点。
关于著名的沪渎垒,《云间志》云:“旧有东、西二城。东城,广万余步,有四门,今徒于江中,余西南一角;西城,极小,在东城之西北,以其两旁有东、西芦浦,俗遂呼为‘芦子城’。按:渎之有垒,旧矣。〈晋史·虞潭传〉:潭为吴国内史,成帝时(326~334年),军荒,百姓饥馑,潭修沪渎垒,以防海寇;又〈通鉴〉:“晋隆安四年(400年)冬十一月,吴国内史袁崧筑沪渎垒,以备孙恩;明年,恩陷沪渎,崧被害。〈寰宇记〉以为袁崧城在县东百里,沪渎江边,今为波涛所冲,半毁江中”。
《云间志》(卷一 古迹)“沪渎垒”“筑耶城”条目(哈佛大学汉和图书馆藏嘉庆刻本)根据谭其骧研究,认为《云间志》“袁崧城在县东百里”中所指的“县”是吴县而不是华亭县,上海旧城区西北古松江(即虬江)边上的两个城,原名就是“芦子城”,与沪渎垒无关。沪渎垒故址的真正所在地可确定在今旧青浦镇之西,也即是《吴郡图经续纪》所称“青龙镇旁有沪渎村”,《方舆纪要》引旧志“今青浦县青龙镇西有沪渎村”之地,符合古代海岸发展情况,方为确当。
《吴郡图经续纪》(水)所称“青龙镇旁有沪渎村”(《密韵楼丛书》本)三
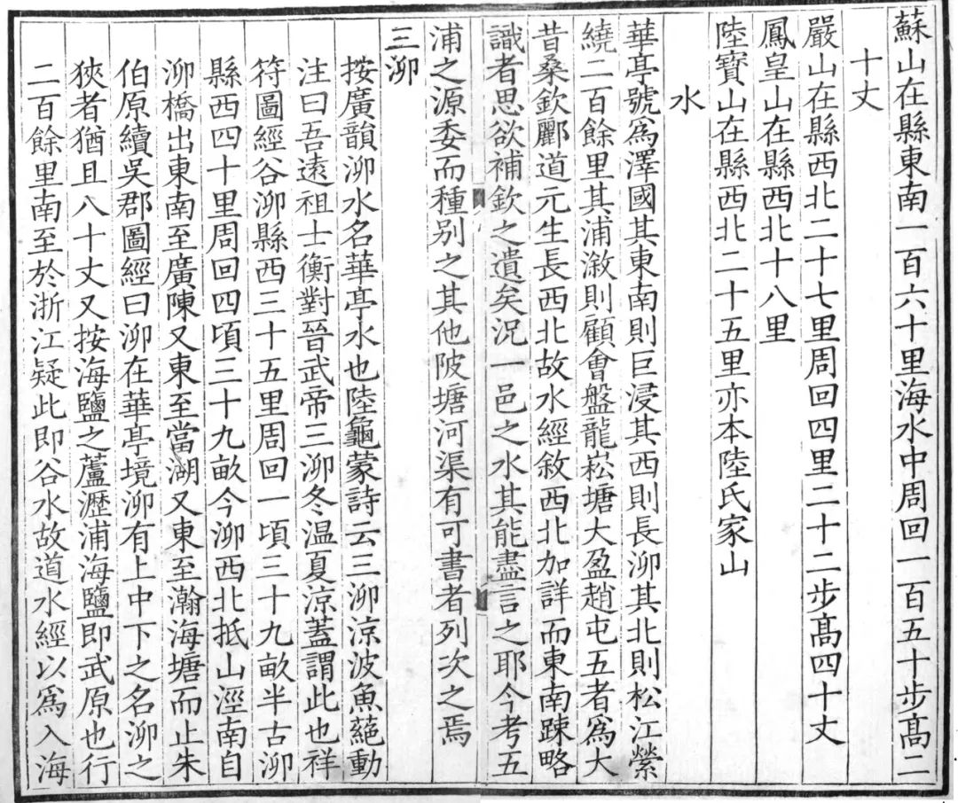
《云间志》在“水”章的开头就说:“华亭号为‘泽国’,其东、南则巨浸,其西则长泖,其北则松江,萦绕二百余里。”《云间志》记录了宋代整治松江的史实,“……今所开松江,自白鹤汇之北,直泻震泽之水,东注於海,略无迂滞处,是以吴中得免水患”。井区别了新江、旧江的地名,都是极有价值的。有关三泖的记载,《云间志》引《广韵》:“泖,水名,华亭水也”,陆龟蒙诗云:“三泖凉波鱼蕝动”,注曰:“吾远祖士衡对晋武帝‘三泖冬温夏凉’,盖谓此也”。又引《华亭县图》:“以近山泾,泖益圆,曰‘团泖’;近泖桥,泖益阔,曰‘大泖’;自泖而上,萦绕百余里,曰‘长泖’”。这就是“三泖”在地名上的差别。
《云间志》(卷二 水)首页及“三泖”条目(哈佛大学汉和图书馆藏嘉庆刻本)《云间志》称松江南岸诸浦,以顾会、盘龙、崧塘(又名崧子)、大盈、赵屯五者为大,并引章岘《重开顾会浦记》指出此浦在发展经济上的重要性:“直县西北,走六十里,趋青龙镇,浦曰顾会。南通漕渠,下达松江,舟艎去来,实为冲要。平畴芳甸,傍罗迤逦,灌溉之厚,民斯赖焉”;在“盘龙浦”条下引《续吴郡图经》述其盘曲的情况:“有盘龙汇者,介于华亭、昆山之间,步其径才十许里,而洄穴迂缓逾四十里,江流为之阻遏。盛夏大雨,则泛滥沦稼穑,坏屋庐,殆无宁岁。”可见盘龙浦之得名是非常形象化的。在“水”章中还提出十四条浦名,“在县之北境,皆所以达上流之水,以归于松江也”。今将上海市区有关的几条浦稍加探讨:本书中列入四条浦名,自西向东依次为西芦浦、大芦浦、上海浦、南跄浦。
但如果用北宋时郏亶所撰《水利书》(或称《水利奏闻》)来对照,则少了四条,郏氏列松江南大浦之名凡十八条,其最后八条依次为:芦子浦、沪渎浦、钉钩浦、上海浦、下海浦、南及浦、江苎浦、烂泥浦,很显然,西芦浦即芦子浦,大芦浦在《云间志》“沪渎垒”条中称东芦浦,亦即郏氏所称的沪渎浦。南跄浦即郏氏之南及浦,故道约在今复兴岛东,元代后为黄浦下游所夺;至于江苎、烂泥两浦均未提及,据谭其骧及祝鹏先生研究,郏氏《书》中江苎浦与烂泥浦两者可能错位,即烂泥浦当在南及浦与江苎浦之间,而江苎浦当即今杨树浦。
华亭县境内有两个较大的湖泊,即柘湖和薛淀湖,湖内都有一个小岛(柘山和淀山),小岛的命名又和湖名有密切的关系。“柘湖”条,“湖中有小山,生柘树,因以为名”,又引《吴越春秋》“海盐县沦没为柘湖”。另一个大湖为“薛淀湖”即今淀山湖,在“薛湖淀”条,“有山,居其中”,这就是淀山。
《云间志》(卷二 山)“淀山”条目(哈佛大学汉和图书馆藏嘉庆刻本)四
古代上海境内,冈身以东是茫茫大海,冈身以西是河湖密布、林木茂密的沼泽地带,动物、植物分布较多。《云间志》引《旧经》云:“顾亭林湖在(县)东南三十五里,湖南有顾亭林,陈顾野王居此,因以为名焉”。亭以“顾”名,或因顾氏较早居此得名;在顾亭的范围内有一片较为茂密的森林,故称“顾亭林”,在此林北部分布着不大的湖泊,景色不凡,此湖即以林为名,是为“顾亭林湖”。
在“古迹”章白苎城条下称,其地在华亭县治南四十里。引《旧经》:“地生野苎,因以为名,今俗云白苎汇”,白苎即苎麻,《云间志》引李翰《屯田纪绩颂》:“今华亭稼穑之利,田宜麦、禾,陆宜麻、豆……”。古时上海地区尚因产麻著名。华亭之地,位于水边,浅草白沙,适于鹤群栖息。所以历史上向以产鹤闻名。“物产”章中说:“县之东,地名‘鹤窠’,旧传产鹤,故陆平原有‘华亭鹤唳’之叹”。陆平原即陆机,因曾任平原内史故名。华亭产鹤,其下限大致到唐朝,刘禹锡作《鹤叹诗·序》云:“白乐天罢吴郡,挈双鹤雏以归……信华亭之尤物也”。
《云间志》(卷一 物产)所记“县之东,地名鹤窠,传产鹤......”(哈佛大学汉和图书馆藏嘉庆刻本)五
《云间志》中最早提到与人文活动有关的地名可能就是“古迹”章中的“孔宅”。又记载:“淳熙间(1174~1189年)居民浚河,得一碑云:‘天宝六年(747年),黄池县令朱氏葬于昆山县全吴乡孔子宅之西南’,孔宅之名,旧矣!”。还说“今其地有夫子庙,在慧日院侧”。此说实际上是错误的,所以杨潜等据《旧图经》考定:“昔有姓孔者,游吴居此,盖吾夫子未尝适吴”。在孔宅附近还有梁纥(孔子父名)庙、宰我墩、颜渊井,也坚决予以否定,本书说“此则因‘孔宅’之名而迁合傅会,未可知也”。
在“秦始皇驰道”条中对于他浪费民力、搜括民财持批判态度。在华亭县西北,昆山南四里,相传有大堽路,西通吴城,即“驰道”也……按贾山《至言》:“秦为驰道,遍于天下,东穷燕齐,南极吴楚,在所谓驰道之丽,非耶?”。实际上秦建驰道,对统一祖国颇有关系,未可全盘予以否定。
《云间志》(卷一 古迹)“秦始皇驰道”条目(哈佛大学汉和图书馆藏嘉庆刻本)“陆机宅”条,唐询《华亭十咏》中注:“华亭谷水东,有昆山,相传即其宅,陆机诗云:‘仿佛谷水阳,婉娈昆山阳’,今其地存焉”。(按:在俗水之东,昆山之北,即是陆机故宅)。梅圣俞诗云:“我思陆平原,废宅荒草深”。可见孙吴、西晋时十分繁华的陆氏故宅,到宋代已全部荒废了。
《云间志》中所收集的各个山名,大多与人文活动有关。三泖九峰之间,是陆氏世居之地,所以他们的姓氏也成为得名的由来。在“山”章的引言中:“水多于山,右浙皆尔,而崇冈峻岭,华亭又无焉。”如著名的昆山,其高一百五十丈,周回八里,据《舆地广记》,陆氏父祖早已葬此,但未定名,“后机、云兄弟有辞学,时人以‘玉出昆冈’,因名之”,实际上陆机自己也已使用昆山的地名。
《舆地广记》“华亭县”及“昆山”记述(《士礼居丛书》本)
《云间志》(卷二 山)“昆山”“机山”条目(哈佛大学汉和图书馆藏嘉庆刻本)今机山之下有著名的平原村遗址,1960、1979两年在此发现新石器时代崧泽文化的遗存,可见在史前时期该地已为上海先民活动的场所。书中又说:“因陆机得名,山下有村曰平原,亦以陆平原名之,平原内史,即机也”。又如横云山,书中说:“与机山相望,仅五里许,或云:‘因陆云名之’”。另一类是描述形态及特色的,如“淀山”条:“在薛淀湖中……山形四出如鳌,上建浮图,下有龙洞,屹立湖中……傍有小山,初年,仅两席许,久之,浸长”;“城山”条:“<旧经>云:山状周环如城,因此为名”等;第三类是山名与较早居住者发生关系,山即用以命名,如佘山、干山分别有佘氏、干氏居此,薛山则因薛道约居此而得名。
六
《云间志》中有些地名至今仍对上海具有一定影响。“乡里”章,华亭县在宋代辖有集贤、华亭、修竹、胥浦、风泾、新江、北亭、海隅、高昌、长人、白沙、仙山、云间等13个乡。这些乡在清朝后期已分建为一府七县一厅(松江府,华亭、娄、上海、青浦、南汇、金山、奉贤七县,川沙一厅)。其位置大致位于古松江(指虬江)的南部地区,在唐宋时期,仅为华亭一县之地。
在“水”提到“沸井浜”的水名,又在“古迹”及《华亭十咏》提到“寒穴”或“寒穴泉”的名称,这是以水泉的温度高、低来命名的地名。“沸井浜”条:“在沪渎,东、西有芦浦,中间一水相通;有数尺许,特深如‘井’,然水腾涌,昼夜不息,或云‘海眼’也,常有戏浴于中者,二、三尺以下,其气稍温”,这个沸井,亦名涌泉,“文化大革命”前还位于今静安寺前的南京西路中,至于沸井浜,又名涌泉浜,部分填塞后即今南京西路,中文称静安寺路,但英文称Bubbling Well Road,意为“涌泉路”或“沸井路”,可见沸井一名,的确可以说名传遐迩。寒穴或寒穴泉,王安石有诗云:“神泉洌冰霜,高穴与云平;空山渟千秋,不出鸣咽声;山风吹更寒,山月相与清;北客不到此,如何洗烦酲”。在“古迹”章中说:“寒穴泉,在金山,山居大海中,咸水浸灌;泉出山顶,独甘冽,朝夕流注不竭。”
在“寺观”一章中提到市区内两个著名的佛教建筑——静安寺和空相寺(即今龙华寺)。“静安寺”条:“在沪渎,按<寺记>:‘吴大帝赤乌中建,号沪渎重玄寺’......”
但杨潜等对此说有怀疑,所以下面质辩说:佛法入中国,虽始于汉,而吴地未有寺也。
《云间志》(卷二 寺观)“静安寺”条目(哈佛大学汉和图书馆藏嘉庆刻本)赤乌十年(247)年康僧会入境,孙仲谋始为立寺建邺。岂沪渎(重玄)寺相继创建耶”。这个质辩很有意义,此寺本在沪渎北岸,北宋大中祥符元年(1008年)赐额易今名。南宋嘉定中(1208~1224年)因水患迁于沸井浜北之今址,《寺记》所载失之过早,据《舆地纪胜》载,静安寺,在华亭,吴越宝正元年(926年)置,这是较为可信的年代。“空相寺”(今龙华寺)条下:“在龙华,张仁泰请于钱忠懿王始建;旧号龙华寺,治平元年(1064年)改今额”,即该寺大致在五代后期建立,基本上是正确的。今龙华寺内还保存着昔日以“空相寺”命名的界石,它是非常可贵的实物资料。
此外还提到位今青浦旧青龙镇的两座古寺:“福隆寺”云:原报德寺,唐长庆元年(1821年)造。此寺遗址仍在,前有塔亦存,可以瞻仰,因旧居镇中心,俗称青龙寺和青龙塔:“隆平寺”,原名国清院,以刻有北宋元丰五年(1082年),陈林撰、米芾书的《隆平寺经藏记碑》著名。
《云间志》对于地名记载非常重视,大至郡国州县,小至乡里委巷。对某些地名的由来,或加实地调查,或予多方探索,特别重要还予以详尽的考证,剖析其是非,辨明其正讹,其贡献颇大。
本文节选自《上海地名志》,略有删改
“申知沪志”小组 诚意分享
原标题:《《绍熙云间志》中的上海地名》
本文为澎湃号作者或机构在澎湃新闻上传并发布,仅代表该作者或机构观点,不代表澎湃新闻的观点或立场,澎湃新闻仅提供信息发布平台。申请澎湃号请用电脑访问http://renzheng.thepaper.cn。





- 报料热线: 021-962866
- 报料邮箱: news@thepaper.cn
互联网新闻信息服务许可证:31120170006
增值电信业务经营许可证:沪B2-2017116
© 2014-2026 上海东方报业有限公司




