- +1
文科600分以上1255人!安徽高考一分一段表发布!
2023-06-24 13:05
来源:澎湃新闻·澎湃号·政务
字号
今天上午
安徽高考分数线出炉(点击查看详情↑)
刚刚
省教育招生考试院发布了
全省2023年普通高等学校招生统一考试
考生成绩分档表(含加分)
考生可借助这一分档表
查询到自己在全省高考生中的位次
对填报高考志愿有一定参考作用
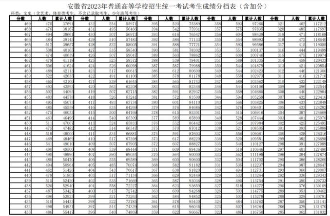
文史类分段表
(含艺术、体育类考生,不含已录取考生、少年班等考生)
600分以上的考生
1255人
655分以上的考生
22人
一本录取线495分以上考生
25413人
二本录取线440分以上考生
51905人


(点击图片查看大图)理工类分段表
(含艺术、体育类考生,不含已录取考生、少年班等考生)
650分以上的考生
2648人
695分以上的考生
31人
一本录取线482分以上考生
101657人
二本录取线427分以上考生
167156人


(点击图片查看大图)志愿填报时间安排:

原标题:《文科600分以上1255人!安徽高考一分一段表发布!》
特别声明
本文为澎湃号作者或机构在澎湃新闻上传并发布,仅代表该作者或机构观点,不代表澎湃新闻的观点或立场,澎湃新闻仅提供信息发布平台。申请澎湃号请用电脑访问http://renzheng.thepaper.cn。
+1
收藏
我要举报





查看更多
澎湃矩阵
新闻报料
- 报料热线: 021-962866
- 报料邮箱: news@thepaper.cn
互联网新闻信息服务许可证:31120170006
增值电信业务经营许可证:沪B2-2017116
© 2014-2026 上海东方报业有限公司
反馈




