- +1
到底怎样才能没蚊子?
原创 刘亦伟,维克羊 丁香医生
蚊子,一种超级烦的生物
人类对于它的控诉,可以说上几天几夜
啥地方都能被咬一口,脚底心、手指关节、眼皮、嘴唇……
好不容易躺下睡个觉,一关灯就开始在耳边「嗡嗡」,一开灯找也找不到……
吸血就算了,还肿;肿就算了,还痒;痒也算了,还会留印……
是疟疾、登革热、黄热病、寨卡病毒、丝虫病、日本脑炎等传染病的携带者,绝对的人类的第一大杀手……
于是就有这么一句话——万物皆有灵,蚊子除外。
图片来源:网络深受其扰的人类发出疑问:蚊子到底什么时候灭绝啊 ?
为了消灭蚊子,人类真的拼了
虽然蚊子在生态系统中有一定站位,但也并非不可替代,也就是从生态系统的角度说,蚊子是可以被打击的。
从古至今,在消灭蚊子这件事上,人类的愿景不仅是消灭身边的蚊子,还试图让蚊子种族灭绝,并分别对蚊子使用过「物理攻击」「化学攻击」「生物攻击」等招数。
时至今日还深受蚊子困扰的大家想必也能猜到,这些努力有点用,但想要灭绝蚊子
不太行
首先,是日常生活中最常见,也是我们常用的灭蚊方式
物理攻击
苍蝇拍:击中概率看技术,主要这玩意会「隐身」你看不见它。
灭蚊灯:蚊子并不单纯只是通过红外来识别目标的,还会通过二氧化碳来追踪,也因此灭蚊灯没有那么好用。
蚊帐:下床上个厕所,蚊子溜进蚊帐里了。于是「打死它!」「算了不找了」「打死它!」「算了不找了」循环一整夜。
蚊香:电蚊香容易忘记关,点火的蚊香呛人又危险。
开空调:20 度以下确实会让蚊子失去活力,问题是电费遭不住。
以及升级产物 喷子 霰弹枪
图片来源:tvbs
图片来源:LA的小嗯嗯但是这些方法效率太低,就算每个夏天都能杀死几只蚊子,仍然杯水车薪。
毕竟雌蚊子的一生,堪称一部壮观的生育史,交配一次,便可终生产卵。只需一瓶盖的水量和几滴血,它就能创造一个王朝。
图片来源:好的山姆在蚊子强大的生育能力面前,个位数的击杀完全不够看……
图片来源:网络+自己做的化学攻击
一只一只杀效率太低,需要更高效的团灭手段:杀虫剂。
只要是对昆虫有效的杀虫剂对于蚊子而言大多都是致命的,而且,蚊子还有一个绝对弱点——需要在水中产卵。只需要将杀虫剂作用于死水地区,就可以有效打断蚊子的繁殖。
图片来源:《猫和老鼠》但蚊子有着超强的适应能力,面对致命的杀虫剂,会点亮种群技能:耐药性。
没过多长时间,杀虫剂消灭蚊子这一方式的效果就会大大削弱。而且耐药性以外,杀虫剂也可能产生一定的环境污染隐患,伴随无辜的昆虫动物被误伤。
科学家们只能不断寻找更针对蚊子且环境友好的杀虫剂,每年和蚊子开展一场你追我赶,它逃他追的歼灭战。
想靠杀虫剂灭绝蚊子,还差点意思。
图片来源:网络+自己做的生物攻击
既然蚊子强大的生育能力令人头痛,那让蚊子断子绝孙的方向,或许可以一试。
科学家们发现,蚊子可以携带有一个特殊的「毒药基因」:如果是两个 R(RR 型)或者没有 R 的蚊子(++ 型)都不会有什么问题,但只有一个 R (图中的 +/R 或 R/+)时,毒药基因就会发作。
自然界中的野生蚊子,主要是 ++ 型,这就给科学家制造了机会:对蚊子做基因改造,大规模培育繁殖「RR 蚊子」,然后把它们释放到蚊子比较密集的区域,让它们与野蚊子自由的交配。
根据生物遗传,后代会带有父母各一半基因。改造后的「RR 蚊子」与自然界的「++ 蚊子」交配后,产下的后代就是会自爆的「单 R 蚊子」,出生即死亡。
图片来源:参考文献【3】科学家甚至还迭代出只杀死母蚊子的基因,因为这样不仅能去掉会叮人的母蚊子,还能让公蚊子携带毒基因继续杀死下一代。
图片来源:参考文献【3】这个方法有一定效果,每次释放 RR 蚊子后,确实会降低当地的蚊子数量。
但培育大批基因改造的蚊子需要很长周期,而野外蚊子的繁殖可不等人,「双/单 R 蚊子」会很快被稀释到 0,蚊子过段时间就又东山再起。
「生物攻击」灭绝蚊子,第一次尝试,失败。
图片来源:网络+自己做的杀敌速度跟不上,不如就让蚊子不孕不育吧。
科学家们尝试改造与蚊子共生的微生物沃尔巴克氏体,感染了这种细菌的公蚊子跑去跟野外的母蚊子交配,产下的虫卵都会是「死胎」,都是无法孵化的。
图片来源:参考文献【3】甚至还设想出了机器实现「捕捉-感染-释放」自动化

图片来源:debug.com不孕不育思路看起来确实带来了希望:中国科学家向广州的两个岛屿释放了 2 亿失去生育能力的公蚊子,居民区的蚊子数量减少了 94%(截至 2017 年)。
然而这只是一次短暂的胜利,在死掉一大批蚊子以后,携带沃尔巴克氏菌的蚊子很快就销声匿迹了。
有一种猜测是,沃尔巴克氏菌感染的公蚊子会被野生公蚊子排斥或竞争,无娃可生。当然,也可能纯粹是野蚊子们实在是太能生了。
「生物攻击」灭绝蚊子,第二次尝试,失败。
图片来源:网络+自己做的不是人类弱,而是蚊子实在太强
其实,人类以上的努力还是很有效果的。我们今天遭遇的蚊子,已经是一代又一代人类努力之后,从灭蚊战场上侥幸逃脱的零头(就是零头有点多……
蚊子的繁殖能力实在是太强。
有数据表明,30 只蚊子,只需要十几天经历两代繁殖,就能变成 3800 只蚊子。
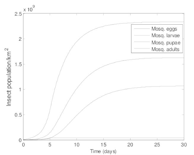
图片来源:TED、网易公开课另一项数据显示,在条件充足的情况下,蚊子不到一个月可以从几百只增长到 10 亿只/平方公里。
图片来源:参考文献【4】不仅生得多,蚊子的活命能力也超强。
蚊子可以适应各种气候和环境条件,从热带到寒带,从海平面到高山,从森林到沙漠,都有蚊子的存在。甚至海拔八千多米的世界最高山脉喜马拉雅山上,也有蚊子的身影。
图片来源:好的山姆它们还可以通过基因突变、基因重组、基因转移等方式来产生新的性状和功能。
例如,一些蚊子可以产生抗药性,使得杀虫剂对它们失效;一些蚊子可以改变吸血习性,使得驱蚊器对它们无效。这些能力使得它们能够适应各种环境压力和人类干扰。
但即使面对的是拥有超强繁殖力与适应性的蚊子,那又怎样!
虽然不能灭绝蚊子,但家里没有蚊子的梦想,还是可以努力一把。
再搭配一个定时插头,就不会忘记关啦
这场「战争」,人类永不认输。
灭绝蚊子,从我做起。今天晚上,有我没它!

本文合作专家刘亦韦 北京大学医学部 公共卫生学院博士
本文审核专家
策划制作策划 | 维克羊 监制 |feidi
封面图 | 站酷海洛
参考文献
1. Mouhamadou C S, de Souza S S, Fodjo B K, et al. Evidence of insecticide resistance selection in wild Anopheles coluzzii mosquitoes due to agricultural pesticide use[J]. Infectious diseases of poverty, 2019, 8: 1-8.
2. Keller M D, Norton B J, Farrar D J, et al. Optical tracking and laser-induced mortality of insects during flight[J]. Scientific Reports, 2020, 10(1): 1-11.
3. Alphey L. Genetic control of mosquitoes[J]. Annual review of entomology, 2014, 59: 205-224.
4. Faithpraise F O, Idung J, Usibe B, et al. Natural control of the mosquito population via Odonataand Toxorhynchites[J]. International Journal of Innovative Research in Science Engineering and Technology, 2014, 3(5): 12898-12911.
5. World’s most invasive mosquito nearly eradicated from two islands in China,World’s most invasive mosquito nearly eradicated from two islands in China (nature.com)
本文为澎湃号作者或机构在澎湃新闻上传并发布,仅代表该作者或机构观点,不代表澎湃新闻的观点或立场,澎湃新闻仅提供信息发布平台。申请澎湃号请用电脑访问http://renzheng.thepaper.cn。





- 报料热线: 021-962866
- 报料邮箱: news@thepaper.cn
互联网新闻信息服务许可证:31120170006
增值电信业务经营许可证:沪B2-2017116
© 2014-2026 上海东方报业有限公司




