- +1
动边界一维无限深势阱中粒子的演化
原创 顾卓成 刘昊迪 等 物理与工程
摘 要
因其时间上的周期性,周期驱动的量子系统在很多方面都展现出了奇异的物理性质,如绝热演化和时间晶体。在简单物理系统中展示这些奇异性质不仅可以加深对量子力学的理解,还可以培养学生的科研兴趣。本文展示当一维无限深方势阱的边界发生周期变化时,处于势阱中粒子的时间演化规律。研究考虑了绝热演化与非绝热演化两种情况,通过解析分析和数值模拟,求解了绝热和非绝热两种情况下,系统在不同参数以及边界运动模式下基态的占据几率。通过求解系统能量期望值和能量偏离值,给出了边界的振动频率和强度对粒子处于不同能级概率的影响。结果表明:相同速度的势阱扩张和收缩运动对阱中粒子的时间演化影响不同;不同的阱壁周期运动模式对粒子的时间演化影响也不同。本文还对数值方法给出的结果进行了简单的解释。
关键词 一维无限深方势阱;绝热演化;周期驱动
Abstract As a useful tool to manipulate the feature of quantum systems, periodic drive has attracted widespread attention. Various exotic phases and rich dynamics have been found in the periodically driven quantum systems, such as adiabatic evolution and time crystals. Displaying these strange properties in a simple physical system can not only deepen the understanding of quantum mechanics, but also cultivate students' interest in scientific research. Here, we are interested in a specific case that the well-geometry changing is caused by boundary contraction or expansion. The simplest one-dimensional square well with periodically moving boundary is examined. We explore the influence of the frequency and the intensity of the drive on the time evolution of the system. By numerical simulations, we calculate the evolution of the ground state occupation taking two cases under different boundary parameters and moving paths in both adiabatic and non adiabatic cases. By solving the expected value and deviation value of the energy of the system, the influence of the vibration frequency and intensity of the boundary on the probability of the particles at different energy levels is given. The results show that the expansion and contraction of the potential well with the same velocity have different effects on the time evolution of the particles in the well; Different well wall periodic motion modes have different effects on the time evolution of particles. The results obtained by the numerical method are also explained in this paper.
周期驱动是广泛应用于物理和相关工程技术领域的一种测试或调控系统性质的手段。例如,这种手段被广泛应用于研究多体系统的热化和预热化[1]、离散时间晶体[3]、周期驱动下费米哈伯特( Fermi-Hubbard )系统的性质[4]等。在量子力学中,周期驱动系统满足弗洛凯( Floquet )定理,它在研究量子隧穿的相干共振[5]、Floquet 拓扑绝缘态[6]、Floquet 马约拉纳费米子[9]、Floquet 时间晶体[11]和 Rydberg 原子[13]等问题时都扮演了重要的角色。此外,研究周期驱动系统通常还会用到高频近似[14],在高频近似下,系统的哈密顿量可以通过 Floquet-Magnus 展开[15]得到系统动力学的近似解析解[18],具体细节和应用可参见 Eckardt 的综述[20]。
一维无限深势阱是量子力学中最基本的单粒子势模型之一。通常情况下,无限深势阱的阱壁是固定不动的。对于运动阱壁的研究始于 1953 年,Hill 和 Wheeler 给出了单侧阱壁以速度 v 匀速向外运动的解析解[21]。Makowski 和 Yüce 等人的研究表明,除了 Hill 等人关于阱壁匀速向外扩张运动的解析解外,其他任何形式的阱壁运动都没有精确地解析解[22]。此外,这些分析只对势阱由窄变宽的情况适用。2008 年,Glasser 等人首次研究了振荡边界对一维无限深势阱中粒子运动的影响,并分析了高频振动下系统的混沌现象[23]。之后,Fojón 等人通过数值分析求解了多种不同类型的边界周期运动模式下阱内系统的演化[24]。Carrasco 等人则通过分析周期性运动阱内能级变化,提出通过操控边界振荡获得目标粒子状态[25]的理论方案。Michael Koehn 也研究了运动边界无限深势阱中的 Klein-Corden方程[26]。Kieran Cooney 对加速运动边界的无限深势阱做了研究[27]。纵览这些结果我们发现:尽管关于动壁无限深势阱已有不少研究,但还缺乏对阱壁缓慢变化时,阱中粒子运动规律的分析。特别是,即使是缓慢移动阱壁,势阱变宽和变窄两种情况是有差别的。这意味着,对于动壁无限深势阱,即使阱壁移动很慢,阱壁扩张和收缩时绝热定理满足的程度也有差异。
1 模型及解析分析
1.1 一维无限深势阱
考虑一个质量为 m 的被限制在无限深势阱内的粒子。势阱的左侧阱壁固定在位置为 l1 ( t ) = 0,右侧阱壁位置为 l2 ( t )=l ( t )。即左侧阱壁固定不动,右侧阱壁随时间 t 变化。该系统的哈密顿量可写为
,其中势能

值得注意的是,时间 t 并不显含在哈密顿量 H 中,而是通过势能 V ( t ) 的边界表现出来。
1.2 绝热近似下系统的时间演化
为了研究阱壁外扩及内缩过程中阱内粒子的时间演化,我们先考虑阱壁缓慢移动情况。假设初始时刻 t = 0,系统波函数 | ψ ( 0 )〉处于 0 时刻哈密顿的第 n 个本征态上,即
t 时刻粒子的波函数 | ψ ( t )〉可以展开如下
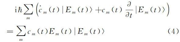
其中,cm ( t ) 是待定系数。将公式(3)代入薛定谔方程得到

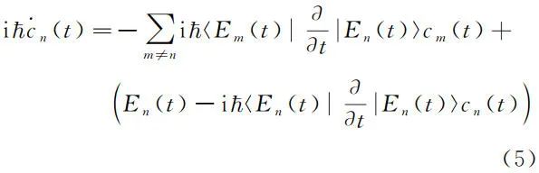
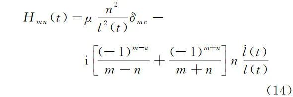
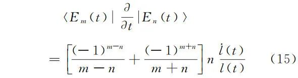
其中,Em ( t ) 为哈密顿瞬时本征态 | Em ( t )〉对应的瞬时本征值。将上式两边同时左乘〈En ( t ) |,有

式(5)右侧第一项中
表示运动阱壁引起的从 n 瞬时本征态到 m 瞬时本征态的跃迁。如果量子绝热条件
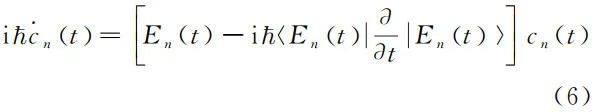
满足,则上述跃迁可以忽略。这意味着系统在初始时刻处于某一(瞬时)能级,在之后任意时刻都将继续处于该(瞬时)能级上。此时,式(5)可以进一步化简

等式两边积分得

即
其中,
为 Berry 相位。将式(8)代入式(2)中(角标 n 替换成 m ),有
这个结果表明:在量子绝热近似下,初始时刻处于 | En ( 0 )〉态的粒子,在t时刻将处于 | En ( t )〉态,与初始时刻相比,除了状态演化为 | En ( t )〉,还多了 Berry 和动力学两个相位因子。系统的能量随本征能量的变化而变化,虽然在绝热近似下概率在瞬时能级上的分布不变。后面的计算和分析将超越该近似。
对于宽度为 l ( t ) 的动壁一维无限深势阱,它的瞬时波函数 φn ( x, t ) 和本征能量 En ( t ) 分别为
当宽度 l ( t ) 变化缓慢时,按绝热定理,初始时处于某一确定能级的粒子将永远处于该(瞬时)能级,演化给粒子带来的只是相位因子的改变。实际真的是这样吗?下面将通过数值模拟验证这个结果。数值模拟表明:当势阱缓慢变宽时,绝热定理预言的结果是正确的,而对于势阱缓慢变窄的情况,预言不完全正确。换言之,势阱扩张和收缩对应的绝热条件是不一样的。
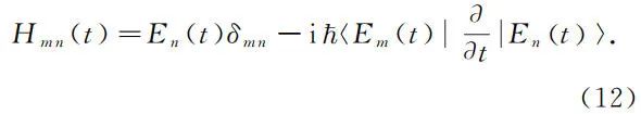
数值模拟是直接利用计算机求解式(5)。对于无限深势阱,容易发现
。所以式(5)可以看成是哈密顿 H 支配下,在能量本征基下系统量子态[c1 ( t ),c2 ( t ),…,]T 的演化,其中

这里
因此,系统的 Hamiltonian,式(12)变为

显然,系统的哈密顿在一般情况下是依赖于时间的。
2 数值模拟
在这一节中,我们首先从数值上赋予“绝热条件”具体的含义,绘制不同参数组合下的时间演化图像。然后分别选取绝热和非绝热参数各一组,研究系统在不同截断能级 n 下长周期和短周期内演化的结果。模拟基于式(5),结合下面的式(15)进行。求解步骤是:给定初始条件(这里都是取系统初始处于基态),数值求解 cn ( t ),从而得到系统处于不同能级的概率,然后给出图 1~图 6。
2.1 绝热演化对系统参数的依赖
量子绝热近似的充分必要条件是处于某个固定能级的概率在每个时刻都近似保持 P = 1。由此,我们先约定:初始处于基态的粒子,当以后任意时刻处于基态的概率均大于 99% 时,就认为绝热条件满足了。选取右侧边界的运动函数为正弦和余弦两种形式,即:l ( t ) = a ± b sinωt 和 l ( t ) = a ± b cosωt,其中 a 为阱的初始宽度,b 为右侧阱壁的振动幅度,ω 为阱壁的振动频率。
图 1 展示了基于前文所约定的绝热判定条件下,当 a = 10 时,初始处于基态的粒子以后时刻也保持在基态的概率随参数 b 和 ω 的变化,如黑色圆圈所示。通过观察数值模拟图像,容易发现在 b ∈ [2.1,4.5] 参数范围内,系统均是绝热演化的。也就是说当边界低频周期运动时,阱内粒子有更高的概率处于绝热状态。

在图 2(a)和图 2(b)中,我们分别选取了非绝热和绝热条件各一组,绘制了基态概率演化图像。在 2(a)中,边界为 l ( t ) = 10-cosωt。系统的概率在演化结束时刻无法回到初始状态(基态),而是以 90% 的概率处于基态,小于 99%。在图 2(b)中,边界函数 l ( t ) = 10 - cos0.05t;系统概率在整个演化过程结束时回到初态。图 2(a)还展示了对于相同运动的边界,能级截断对计算结果的影响。通过对比截断到 n = 4 和 n = 10 能级的结果,发现:截断带来的误差可以忽略不计。

图 2(c)和图 2(d)展示了在绝热和非绝热条件下,系统分别经历
和
时间后概率的变化。显然,截断误差在非绝热情况下会快速展现出来。其原因是在非绝热情况下边界变化很快,给阱内粒子激发较强,使粒子跃迁到了更高的能级。此时,截断时考虑的能级越少误差越大。
2.2 动壁与基态最小占据概率
为了更具体地展示基态绝热演化随驱动振幅、频率和初始阱宽的关系,我们绘制了粒子演化一个周期时,处于基态的概率随参数的变化关系。图 3(a)展示了基态概率在一个周期内的最小值随着不同参数 a 和 ω 的变化情况。图像中边界为 l ( t ) = a - 2cosωt,曲线从上到下依次代表参数 ω 从 0.05~0.8。可以看出,当 a 增加时,对于 ω < 0.6,最小概率先降低再增加。对于 ω > 0.6,最小概率单调递增。图 3(b)展示了最小基态概率在一个周期内随不同参数 a 和 b 的变化情况。曲线由上到下分别表示了 a 从 13~3。随着振动幅度 b 增大、边界初始长度 a 减小,最小概率越来越小。

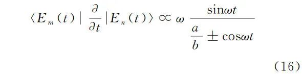
可以如下解释图 3 展示的现象。考虑式(12)不同能级间的跃迁项

这里 n 和 m 分别表示初态和末态。代入边界条件 l ( t ) = a ± b cosωt 到上式,有

基于上式,我们可以得出与之前的数值计算一样的结论:当 ω 很小时,跃迁概率很小;当 a / b 较大时,系统将满足绝热条件,如同图 3(b)左上半部分;通过对比图 3(a)和图 3(b),我们发现:对于只考虑一个周期演化的情况下,a / b 比 ω 对于系统的绝热影响更大。当 a / b 很大时,在一个周期的短时间演化内,系统一定是绝热的。
在 a / b 不变时,当外部驱动频率 ω 越来越小时,不仅会使系统基态概率越来越大,同时也会使系统自身的内部周期变得越来越长。
2.3 阱变宽和变窄两种运动过程的差异
在下面讨论中,如果没有特殊说明,粒子初态均为基态,数值模拟统一将能级截断到 n = 10。考虑边界 l ( t ) = a ± b sinωt,此时,这两个边界函数描述的系统一个是边界先被拉伸然后被压缩往复一周回到初始位置,另一个先被压缩然后拉伸往复一周回到初始位置。对于l ( t ) = a + b sinωt,边界围绕初始位置做顺时针往复运动;对于l ( t ) = a - b sinωt,边界围绕初始位置做逆时针往复运动。
根据图 1,选取绝热和非绝热两组适当的参数,截断能级选为 n = 10。图 4 给出了 l ( t ) = a ± b sint 描述的两种不同运动模式在相同初始条件下的演化结果。在图 4 的小图中,可以看到基态最小概率大于 99.3%,因此两个系统满足绝热条件。两条曲线虽然在一个周期内多次分开,但是在周期的结束时刻重合,同时回到初始状态。在图 4 主图中,基态最小概率小于 94%,系统是非绝热的。虽然主图中的两条曲线在一个周期的结束时刻重新重合,但是结束时刻的基态概率值并不等于 1,这也意味着系统没有重新回到基态。同时,绝热情况下两条曲线的最小基态概率差值小于 0.001;而在非绝热情况下,这个差值最大可以达到 0.02——显然,非绝热情况下两种运动模式的差异更大。

通过对比绝热和非绝热两种情况,我们发现了一个相似的规律:在 t ∈ [0,π / ω ] 时间段内,l ( t ) = a + b sint 的基态概率比 l ( t ) = a - b sint 的大;在 t ∈ [π / ω, 2π / ω ] 时间段内,情况则相反。这种巧合来自于推拉顺序的不同,主要是由于
的存在所造成的。对于不同的边界方程 l ( t ),非对角元项
在一个周期内的结果是不同的,但是由于绝热条件的要求在末时刻却会拥有相同的数值。
2.4 能量期望值与变化值
在上一节末尾,我们发现了两种不同运动模式下系统演化的差异性,并定性的指出了非对角元项
对系统的影响。阱壁运动不但影响瞬时本征态的占据,还影响瞬时本征能量的大小。本节考查能量在该过程中的变化。
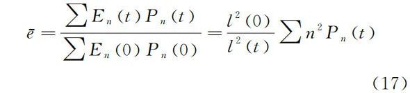
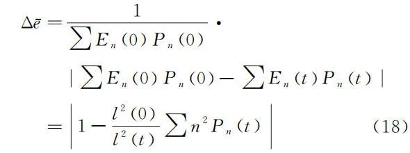
首先,我们定义阱内的系统能量期望值
其中,μ = π2 / 2。为了更方便的计算能量,我们以初始时刻系统的能量为单位,得到无量纲的能量期望值

在后续的计算中,我们将直接计算公式(17)。此处,Pn ( t ) 是系统处于能级 En ( t ) 的概率。∑En (0)Pn (0) 是初始时刻系统的平均能量,增加这一项的目的是为了将能量无量纲化,方便计算。接下来,我们定义能量偏离值

其中,Δē 表示的是在 t 时刻系统平均能量与初始平均能量的相对差值。这个差值可以理解为在系统演化过程中,外界通过对阱壁传递或者从系统吸收的能量。
图 5 和图 6 中展示了阱中粒子在五个周期和一个周期内的绝热和非绝热两种情况下的能量偏离值。通过对比图 4 和图 6,我们发现阱内系统的能量离散值和系统的基态概率变化有相同的演化趋势。以 l ( t ) = 30 + sint 为例,结合图 6 和图 4 内嵌图来说明系统的能量偏离值和跃迁概率的关系。在 t ∈[0,π / 2]时间内,边界向右侧扩张,阱内波包扩散。整个阱内系统的能量期望值降低,能量偏离值和跃迁概率均增大。在 t = 2π / ω 时间内,边界持续收缩,阱内波包被持续压缩。整个阱内系统能量偏离值先减小后增大,阱内粒子基态概率跃迁概率先减小后增大。在 t ∈ [3π / 2,2π]时间内,边界又重新向右扩张,整个过程和 t ∈ [0,π / 2]过程相同。对于非绝热状态,我们可以发现在一个外部驱动周期的末时刻系统能量无法回到初始时刻,即系统能量偏离值不为零,因此非绝热情况下基态概率在末时刻显然不为 1。在更长的时间范围内,非绝热情况的系统内部能量偏离值更大,而绝热情况的系统内部能量偏离值变化在一定区域内变化。由此也可以解释图 2(c)中为什么非绝热情况要考虑更多的截断能级:因为对于非绝热系统,系统的偏离能量值更大,这意味着系统将具有几倍于初始时刻的能量,所以系统跃迁到高能级的概率增大,无法再像绝热时一样忽略,所以需要考虑更多的能级。


3 总结与讨论
本文讨论了动壁一维无限深方势阱中粒子的时间演化问题。我们考虑右侧阱壁为动壁,其运动用三角函数描写的情况。按照绝热定理,当阱壁运动很缓慢时,阱内粒子应做绝热演化。通过解析分析和数值模拟发现:(1)在低驱动频率( ω 较小时)区域,频率 ω 比驱动幅度 b 和初始边界宽度 a 对系统演化的影响更大;(2)对于其他驱动频率 ω,对系统影响较大的是初始势阱宽度与振动幅度的比值 a / b,a / b 越大,系统越接近绝热。我们还研究了两个相反的阱壁运动模式,即:一个是阱壁先拉后推(先变宽后缩窄),一个是阱壁先推后拉。通过对比绝热和非绝热两种情况,发现:虽然两种不同驱动顺序的基态概率在驱动周期末时刻 t = 2π / ω 有相同的值,但是对于非绝热情况,末时刻基态概率值不为 1,而绝热情况基态概率值为 1。同时还发现,不管是绝热和非绝热情况,两种运动模式在单周期内的基态概率最小值都是不同的。此外,当势阱被拉宽时,阱内粒子波函数自由扩散,能量期望值降低而能量偏离初始值(简称:偏离值)升高,但上升幅度较小。当边界被压缩时,粒子占据的空间也被压缩,能量期望值升高,能量偏离值先减小后增大。跃迁概率与能量偏离值成正比。推拉顺序的不同将导致能量偏离值的不同,最终影响单周期内的最小基态概率。对于非绝热情况,粒子在单周期内获得更大的能量激发,最终导致在单周期末时刻粒子处于基态概率不为 1。导致这些结果的原因可以解释为:势阱变宽时,粒子允许慢慢运动至扩展区域,但势阱变窄时,粒子必须跟随阱壁的节奏,回到允许的势阱内。本文考虑的动壁只起到边界的作用,运动阱壁与阱中粒子的相互作用也只为粒子提供一个边界条件,这应该是对作为经典系统的动壁的最简单处理。如果把动壁看成量子系统,而阱中粒子换为光场,这门学问叫量子光力学( quantum opto-mechanics )。有兴趣的读者可以考虑阱中粒子仍是有质量的粒子,而动壁为量子系统的情况。
参考文献
[1]MALLAYYA K, RIGOL M. Heating rates in periodically driven strongly interacting quantum many-body systems[J]. Physical Review Letters, 2019, 123(24): 240603.
[2]KHEMANI V, LAZARIDES A, MOESSNER R, et al. Phase structure of driven quantum systems[J]. Physical Review Letters, 2016, 116(25): 250401.
[3]ELSE D V, BAUER B, NAYAK C. Floquet time crystals[J]. Physical Review Letters, 2016, 117(9): 090402.
[4]MESSER M, SANDHOLZER K, GÖRG F, et al. Floquet dynamics in driven Fermi-Hubbard systems[J]. Physical Review Letters, 2018, 121(23): 233603.
[5]HALLER E, HART R, MARK M J, et al. Inducing transport in a dissipation-free lattice with super Bloch oscillations[J]. Physical Review Letters, 2010, 104(20): 200403.
[6]LINDNER N H, REFAEL G, GALITSKI V. Floquet topological insulator in semiconductor quantum wells[J]. Nature Physics, 2011, 7(6): 490-495.
[7]GRUSHIN A G, GóMEZ-LEóN Á, NEUPERT T. Floquet fractional Chern insulators[J]. Physical Review Letters, 2014, 112(15): 156801.
[8]ESIN I, RUDNER M S, REFAEL G, et al. Quantized transport and steady states of Floquet topological insulators[J]. Physical Review B, 2018, 97(24): 245401.
[9]JIANG L, KITAGAWA T, ALICEA J, et al. Majorana fermions in equilibrium and in driven cold-atom quantum wires[J]. Physical Review Letters, 2011, 106(22): 220402.
[10]THAKURATHI M, PATEL A A, SEN D, et al. Floquet generation of Majorana end modes and topological invariants[J]. Physical Review B, 2013, 88(15): 155133.
[11]LIU D T, SHABANI J, MITRA A. Floquet Majorana zero and π modes in planar Josephson junctions[J]. Physical Review B, 2019, 99(9): 094303.
[12]ZHANG J, HESS P W, KYPRIANIDIS A, et al. Observation of a discrete time crystal[J]. Nature, 2017, 543(7644): 217-220.
[13]SURACE F M, RUSSOMANNO A, DALMONTE M, et al. Floquet time crystals in clock models[J]. Physical Review B, 2019, 99(10): 104303.
[14]HOLTHAUS M. Floquet engineering with quasienergy bands of periodically driven optical lattices[J]. Journal of Physics B: Atomic, Molecular and Optical Physics, 2015, 49(1): 013001.
[15]GOLDMAN N, DALIBARD J. Periodically driven quantum systems: Effective Hamiltonians and engineered gauge fields[J]. Physical Review X, 2014, 4(3): 031027.
[16]BLANES S, CASAS F, OTEO J A, et al. The Magnus expansion and some of its applications[J]. Physics Reports, 2009, 470(5-6): 151-238.
[17]VERDENY A, MIELKE A, MINTERT F. Accurate effective Hamiltonians via unitary flow in Floquet space[J]. Physical Review Letters, 2013, 111(17): 175301.
[18]BUKOV M, D'ALESSIO L, POLKOVNIKOV A. Universal high-frequency behavior of periodically driven systems: From dynamical stabilization to Floquet engineering[J]. Advances in Physics, 2015, 64(2): 139-226.
[19]RESTREPO S, CERRILLO J, BASTIDAS V M, et al. Driven open quantum systems and Floquet stroboscopic dynamics[J]. Physical Review Letters, 2016, 117(25): 250401.
[20]ECKARDT A. Colloquium: Atomic quantum gases in periodically driven optical lattices[J]. Reviews of Modern Physics, 2017, 89(1): 011004.
[21]HILL D L, WHEELER J A. Nuclear constitution and the interpretation of fission phenomena[J]. Physical Review, 1953, 89(5): 1102.
[22]MAKOWSKI A J, DEMBINSKI S T. Exactly solvable models with time-dependent boundary conditions[J]. Physics Letters A, 1991,154 (5-6) : 217-220; Yüce C, Exact solvability of moving boundary problems[J]. Physics Letters A, 2004, 327(2-3): 107-112.
[23]GLASSER M L, MATEO J, NEGRO J, et al. Quantum infinite square well with an oscillating wall[J]. Chaos, Solitons & Fractals, 2009, 41(4): 2067-2074.
[24]FOJON O, GADELLA M, LARA L P. The quantum square well with moving boundaries: A numerical analysis[J]. Computers & mathematics with applications, 2010, 59(2): 964-976.
[25]CARRASCO S, ROGAN J, VALDIVIA J A. Controlling the Quantum State with a time varying potential[J]. Scientific Reports, 2017, 7(1): 1-7.
[26]KOEHN M. Solutions of the Klein-Gordon equation in an infinite square-well potential with a moving wall[J]. Europhysics Letters, 2013, 100(6): 60008.
[27]COONEY K. The infinite potential well with moving walls[J]. arXiv: 1703.05282, 2017.
基金项目:国家自然科学基金(12175033),吉林省高等教育教学改革研究课题(20224BRZTUD001Y和20213F2T8UF001V)资助。
通讯作者:衣学喜,男,东北师范大学教授,主要从事量子物理方面的教学和研究工作,yixx@nenu.edu.cn。
引文格式: 顾卓成, 刘昊迪, 衣学喜. 动边界一维无限深势阱中粒子的演化[J]. 物理与工程, 2023, 33(1): 27-34.
Cite this article: GU Z C, LIU H D, YI X X. Time evolution of a particle in a one-dimensional infinite square well potential with moving boundary[J]. Physics and Engineering, 2023, 33(1): 27-34. (in Chinese)
END

更多精彩文章请点击下面“蓝字”标题查看:
2023年全国高等学校物理基础课程教育学术研讨会 会议纪要2023 年全国高等学校物理基础课程青年教师讲课比赛在喀什大学举办全国大学物理实验教学对口支援(智力援疆)研讨会在新疆师范大学举办王青教授:理解王中林院士“拓展的麦克斯韦方程组”“碰瓷”麦克斯韦:伽利略协变和洛伦兹协变电磁场论趣谈热点:运动介质洛伦兹协变电磁理论2021年《物理与工程》优秀论文、优秀审稿专家、优秀青年学者名单王青教授:源自苏格拉底的问题驱动式教育——在互动中共同学习和成长读后感:教育中的现实和远方王青教授:昨晚(6月9日),清华电动力学期末考试朱邦芬院士:“减负”误区及我国科学教育面临的挑战《物理与工程》2022年第6期目录乐永康:新冠肺炎疫情防控下美国物理实验教学及中美情况对比顾牡:对于重新制定的《非物理类理工学科大学物理课程教学基本要求》的认识和体会朱邦芬院士:从基础科学班到清华学堂物理班朱邦芬院士:对培养一流拔尖创新人才的思考李学潜教授:物理是一种文化李学潜教授:如何帮助物理系学生迈过从高三到大一这个坎穆良柱:物理课程思政教育的核心是科学认知能力培养穆良柱:什么是物理及物理文化?穆良柱:什么是ETA物理认知模型穆良柱:什么是ETA物理教学法吴国祯教授:我的国外研究生经历印象——应清华大学物理系“基科班20年·学堂班10年纪念活动”而写
陈佳洱,赵凯华,王殖东:面向21世纪,急待重建我国的工科物理教育王亚愚教授:清华物理系本科人才培养理念与实践葛惟昆教授:关于中外人才培养的几点思考安宇教授:为什么传统的课堂讲授模式需要改变安宇教授:其实教学就是积累的过程刘玉鑫教授:关于本科生物理基础课程教学和教材编著的一些思考沈乾若:重创理科教育的美加课程改革Henderson C:美国研究基金支持下的物理教育研究及其对高等物理教育的影响《物理与工程》期刊是专注于物理教育教学研究的学术期刊,是中国科技核心期刊,1981年创刊,欢迎踊跃投稿,期刊投审稿采编平台:
http://gkwl.cbpt.cnki.net
欢迎关注
《物理与工程》微信公众号
原标题:《动边界一维无限深势阱中粒子的演化》
本文为澎湃号作者或机构在澎湃新闻上传并发布,仅代表该作者或机构观点,不代表澎湃新闻的观点或立场,澎湃新闻仅提供信息发布平台。申请澎湃号请用电脑访问http://renzheng.thepaper.cn。





- 报料热线: 021-962866
- 报料邮箱: news@thepaper.cn
互联网新闻信息服务许可证:31120170006
增值电信业务经营许可证:沪B2-2017116
© 2014-2026 上海东方报业有限公司




