- +1
最新研究:早上7-9点运动,减脂效率最高,还能降低中风和癌症风险
由于生活习惯和工作节奏的差异,不同的人会选择不同的时间去锻炼。
有人喜欢以晨跑开启元气满满的一天,穿梭在刚刚苏醒的城市中,偶尔拍下一两张晨光熹微中的美景,十分惬意;有人习惯在下班之后去健身房撸铁或打拳,发泄一天的坏情绪,又保持了健康体魄;当然,也有人选择在下午约上三五个好友,去打一场酣畅淋漓的篮球,享受汗水的挥洒......
不过,运动时间的选择还真是个大学问——选对时间,运动带来的减肥和健康效益均明显放大!那么,究竟是早晨、下午,还是晚上锻炼效果更好呢?
「最减肥」运动时间来了!
早晨7-9点减脂效率最高
近日,Obesity上最新刊登的研究似乎找到了“最减肥”的运动时间——相比于中午和晚上运动,每日集中在早晨7:00-9:00进行中至高强度的体育活动与更低的BMI和腰围有关。因此,对于想要体重管理的人来说,早晨7点至9点坚持运动,减脂效率更高!
https://doi.org/10.1002/oby.23851研究者从美国国家健康与营养调查(NHANES)数据库中收集到5285名健康成年人,并根据不同的中等至剧烈体育活动(MVPA)的日间模式,将全部的人群分为三类:上午组642人,中午组2456人,晚上组2187人。
具体来说,上午组的MVPA峰值集中在7:00-9:00之间,其余时间的活动量水平则维持在较低水平;
绝大多数人属于中午组,活跃时间集中在9:00-16:00期间,其MVPA在11:00-13:00达到峰值;
与前两组不同,晚上组的MVPA在7:00-17:00间逐渐上升,随后在17:00-20:00达到峰值,并在20:00-24:00迅速减少。
那么,这三组不同的体力活动的日间模式下,MVPA与肥胖之间的关联是否存在区别呢?或者大家更为关心的问题是:在何时进行MVPA的减肥效益最高呢?
NHANES队列中MVPA的日间模式为回答这一问题,研究者对比了3个不同的日间模式下参与者的差异。相比之下,习惯于早晨运动的参与者往往年龄更大,且整体运动量较小,有着更多的久坐行为。
但有意思的是,在调整了年龄、久坐行为、MVPA活动量等多变量之后,研究者发现,早上组有着比中午组和晚上组更低的身体质量指数(BMI)和腰围(WC)。
具体来说,上午、中午和晚上组的平均BMI分别为27.4、28.4和28.2kg/m2,而WC分别为95.9、97.9和97.3cm。与后两者相比,早上7:00-9:00进行MVPA的参与者有着更低的BMI和WC,即往往更苗条。
同时,当采用二分法对MVPA进行分类后发现,每周运动时间达到WHO指南规定的每周150min及以上之后,坚持早晨运动的参与者的BMI和WC明显更低。
不同的运动量以及日间模式下的BMI和WC变化情况值得注意的是,在习惯于早晨运动的人群中,MVPA运动总量与肥胖之间存在明显的线性关系,活动量越高的情况下,BMI自然也更低。但在中午组和晚上组中,MVPA和肥胖之间仅存在较弱的曲线联系。
这给想要减肥的读者提供了新思路:在达到每周150min中至高强度运动之后,尽量将运动集中在早上7-9点进行,减肥的性价比最高(一般人我不告诉他...)!
日间模式和体育活动水平与BMI的联合关联综上所述,这项研究证实了在早晨7-9进行MVPA在体重管理上的重要意义,可使参与者的减肥效率更高,因而有着更低的BMI和腰围。
有意思的点在于,晨间运动组的久坐时间往往更长,可见高水平的体育活动还可以大大减少久坐行为和健康结果之间的有害关联。研究者解释道,可能原因是:空腹状态下的晨间运动可以增加运动后24小时内的脂肪氧化,而午餐和晚餐之后运动对脂肪氧化的影响不大;与此同时,早上运动可以提高几小时的代谢率,从而抵消更长时间久坐带来的危害。
因此,对于长时间久坐的办公族来说,能坚持早晨7-9点进行运动简直是福报啊!事实上,早晨运动的益处并不止于减肥,还有益于心血管和癌症相关健康。
8.6万人的前瞻性队列显示
8-10点锻炼,患冠心病和中风风险最低
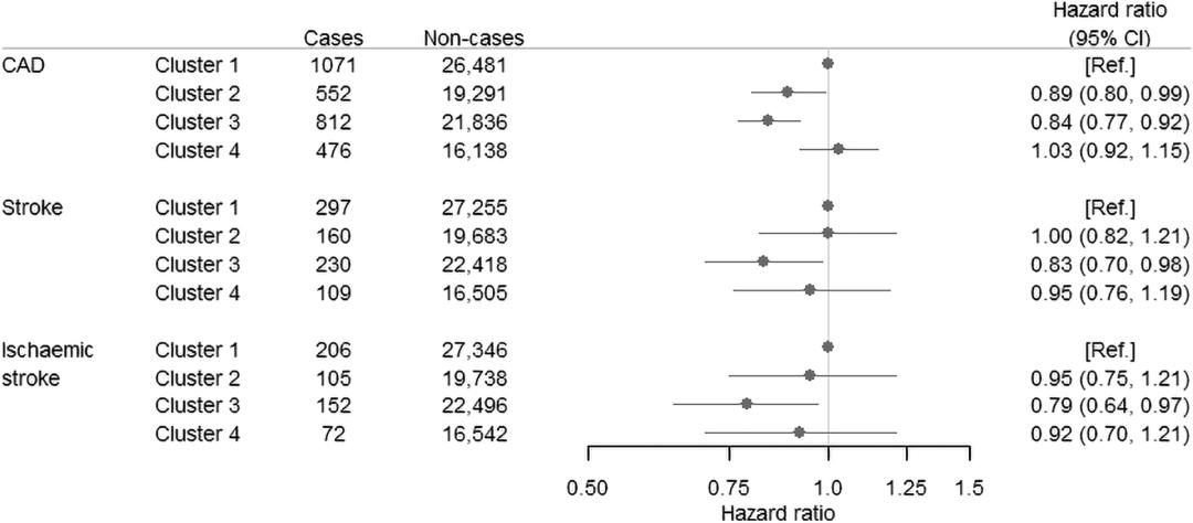
此前,European Journal of Preventive Cardiology上刊登的一项涵盖超8.6万人的大规模前瞻性队列研究显示,无论日常体力活动的总量如何,早晨锻炼,即上午8-10点左右,与最低的冠心病和中风风险相关,能显著降低16%冠心病风险和17%中风风险,“健康性价比”更高!
https://doi.org/10.1093/eurjpc/zwac239经过6-8年的随访之后,共有2911名参与者罹患冠心病,796名中风。
综合对比不同的运动时间点发现,早晨8:00-11:00的高体育活动与更低的疾病风险相关,相比之下在凌晨12点到6点锻炼可真就是“嫌命长”了。
每小时的体育活动和心血管疾病风险之间的关联图为了得到更精确的对比情况,研究者根据体育活动的高峰时间将所有参与者细分为四组:
① 平均体育活动模式,样本量最大,最接近整个人群的平均水准;
② 清晨锻炼模式,习惯在上午8点左右进行体育活动;
③ 早晨晚些时候锻炼模式,约上午10点左右锻炼;
④ 晚间锻炼模式,习惯在晚上进行体育活动(比如绝大多数的上班族)。
结果显示,与平均对照组相比,早上锻炼(8-10点左右)降低罹患冠心病、中风及缺血性中风的风险效果最好。
具体来说,早上8点左右锻炼能使患冠心病风险降低11%,而在早上10点左右进行体育活动则导致冠心病、中风、缺血性中风发生率分别显著下降16%、17%和21%。对比来看,晚间锻炼模式与对照组之间并无差异。
可见,早上10点左右才是运动的最佳时间点,尤其是在降低心血管疾病风险方面!
体育活动时间与心血管疾病之间的关联具体分层分析显示,无论每天的体育活动总量如何,也无论是习惯早起型或晚起型,在早晨锻炼都具有很好的降低心血管疾病风险的效果。
但以性别进行分层时则发现,女性从早晨锻炼中收获的健康益处更大——举例来说,与对照组相比,早晨8点或10点左右锻炼能使女性罹患冠心病的风险分别降低27%和23%,但男性中没有。
队列研究的试验过程研究者表示,体育活动是预防心血管疾病的最有效措施之一,而本研究提供了一个很新的观点,即具体的运动时间段也是影响罹患心血管疾病风险的另一个独立因素。本研究得到的数据显示,无论每日的运动总量如何,在早晨8-10点左右锻炼与更低的心血管疾病发病率相关,尤其是女性。
清晨8-10点锻炼还具有降癌效果
乳腺癌和前列腺癌风险降低26-27%
无独有偶。早上运动的好处不止于改善心血管健康,甚至还有预防癌症的效果!在International Journal of Cancer上发表的病例对照研究显示,与不运动的人相比,在清晨8-10点锻炼对乳腺癌和前列腺癌均有保护作用,导致这两种癌症患病风险降低26%-27%。
https://doi.org/10.1002/ijc.33310研究者从MCC-Spain中收集到5365名参与者样本,包括1438名女性乳腺癌患者和1004名男性前列腺癌患者,并依照性别、年龄、居住地匹配了1593名女性和1330名男性作为对照组。接着,研究者按照不同的运动时间将全部的参与者分为六大类:不运动、清晨锻炼(8-10点)、早上锻炼(10-12点)、下午锻炼(12-19点)、晚上锻炼(19-23点)、其他。
统计分析结果显示,与不锻炼的人相比,清晨8-10点锻炼能有效降低乳腺癌和前列腺癌的发生风险,分别下降26%和27%。而相比之下,在其他时间运动对两种癌症几乎没有预防效果。不过在男性中,晚间7-11点运动也同样有降低前列腺癌风险的作用,患癌风险约下降25%。
乳腺癌、前列腺癌风险与运动时间的关联此外,具体的亚表型分析更凸显出清晨运动(8-10点)对绝经后女性更强的保护作用,使罹患乳腺癌的风险降低38%。
研究者指出,具体的运动时间会影响到性激素和褪黑素的节律,以及人体的新陈代谢水平,这或许可以解释本研究得到的结果。
因此,综合上述研究可以发现,清晨的8-9点左右是运动的黄金时间——不仅能最大化减肥的效果,还能使心血管疾病的发生风险降低11-21%,甚至可以有效预防乳腺癌和前列腺癌,何乐而不为?!
当然,对于卑微的打工狗而言,如果没办法在清晨锻炼,也尽量在晚上多动动吧!毕竟,生命在于运动,虽然无法实现“高性价比”的锻炼,但总比保持静止强~
参考资料:
[1]Gali Albalak, Marjon Stijntjes, David van Bodegom, J Wouter Jukema, Douwe E Atsma, Diana van Heemst, Raymond Noordam, Setting your clock: associations of objective physical activity and cardiovascular disease risk in the general population, European Journal of Preventive Cardiology, 2022;, zwac239, https://doi.org/10.1093/eurjpc/zwac239
[2]https://medicalxpress.com/news/2022-11-morning-physical-lowest-heart-disease.html
[3]Weitzer J, Castaño-Vinyals G, Aragonés N, Gómez-Acebo I, Guevara M, Amiano P, Martín V, Molina-Barceló A, Alguacil J, Moreno V, Suarez-Calleja C, Jiménez-Moleón JJ, Marcos-Gragera R, Papantoniou K, Pérez-Gómez B, Llorca J, Ascunce N, Gil L, Gracia-Lavedan E, Casabonne D, Lope V, Pollán M, Kogevinas M. Effect of time of day of recreational and household physical activity on prostate and breast cancer risk (MCC-Spain study). Int J Cancer. 2021 Mar 15;148(6):1360-1371. doi: 10.1002/ijc.33310. Epub 2020 Oct 7. PMID: 32976649; PMCID: PMC7891656.
[4]https://medicalxpress.com/news/2020-10-physical-cancer-morning-greatest-effect.html
[5]Ma T, Bennett T, Lee CD, Wicklow M. The diurnal pattern of moderate-to-vigorous physical activity and obesity: a cross-sectional analysis. Obesity (Silver Spring). 2023 Oct;31(10):2638-2647. doi: 10.1002/oby.23851. Epub 2023 Sep 4. PMID: 37661938.
撰文 | Swagpp
编辑 | Swagpp
● ● ● 版权说明:梅斯医学(MedSci)是国内领先的医学科研与学术服务平台,致力于医疗质量的改进,为临床实践提供智慧、精准的决策支持,让医生与患者受益。欢迎个人转发至朋友圈,谢绝媒体或机构未经授权以任何形式转载至其他平台。
原标题:《「最减肥」的运动时间出炉!最新研究:早上7-9点运动,减脂效率最高,还能降低中风和癌症风险!》
本文为澎湃号作者或机构在澎湃新闻上传并发布,仅代表该作者或机构观点,不代表澎湃新闻的观点或立场,澎湃新闻仅提供信息发布平台。申请澎湃号请用电脑访问http://renzheng.thepaper.cn。





- 报料热线: 021-962866
- 报料邮箱: news@thepaper.cn
互联网新闻信息服务许可证:31120170006
增值电信业务经营许可证:沪B2-2017116
© 2014-2026 上海东方报业有限公司




