- +1
利用降膜流动测量液体黏滞系数
原创 周苏羽 文小青 等 物理与工程
摘要
利用降膜流动设计并搭建了测量液体黏滞系数的实验装置,根据不可压缩液体N-S方程,结合边界条件建模。采取测量液膜表面速度的方法计算液膜厚度。测量了蓖麻油不同流量下的黏滞系数,倾斜板在不同倾角下,黏滞系数测量相对准确的流量区间基本相同,相对误差在8%以下。分析了装置的适用条件和误差来源。并用全内反射法进行了液膜厚度对比验证。该研究丰富了测量液体黏滞系数的教学内容和方法,有助于学生掌握流体力学相关知识,提高综合设计能力。
关键词降膜流动;黏滞系数;液膜厚度;表面速度;全内反射
Abstract An experimental device for measuring liquid viscosity coefficient was designed and built by using falling film flow. The model was modeled according to the N-S equation of incompressible liquid and combined with boundary conditions. The thickness of liquid film is calculated by measuring the surface velocity of liquid film. The viscosity coefficient of castor oil was measured at different flow rates. The relative accuracy of viscosity coefficient measured at different dip angles was basically the same, and the relative error was below 8%. The application conditions and error sources of the device are analyzed. The thickness of liquid film was compared and verified by total internal reflection method. This study enriches the teaching content and method of measuring liquid viscosity coefficient, helps students to master relevant knowledge of fluid mechanics and improve comprehensive design ability.
Key wordsfalling film flow; viscosity coefficient; liquid film thickness; superficial velocity; total internal reflection
自然界中常见的流体(气体、液体)都具有黏性,流体的黏性是流体分子微观作用的宏观表现。对于液体,由于分子引力作用,流动快的分子力图拉着流动慢的分子前进,流动慢的分子则将流动快的分子向后拽,分子间的这种力图减小速度差的作用力称为内摩擦力或黏性力,宏观上使流体呈现出黏性[1]。衡量流体黏性大小的物理量是黏滞系数,目前各高校的大学物理实验教学主要采用落球法、毛细管法、旋转法等测量液体黏滞系数[2]。
液体在自身重力作用下,液体沿壁面流下,在壁面上形成一层很薄的液膜,这样的流动叫做降膜流动[3]。早在上世纪初,对重力作用主导下的液体薄膜流动的研究便已成果颇丰。最早的降膜理论一般认为是 Nusselt于1916年提出的经典理论[4],该理论通过假设液膜气液界面无剪切力且平整、流体密度不变、不存在热传递这几个条件建立了层流下液膜降膜模型。降膜流动可应用于传热实验研究,本文利用降膜流动测量液体的黏滞系数。
1 实验原理
如图1所示,在倾斜平板上充满着液体,平板固定不动,x,z轴方向分别相切和垂直于平板平面,y轴方向垂直向外。根据Nusselt的模型,由于重力的作用,倾斜平板上的液体由静止变成运动状态,如果液体黏度较高且雷诺数足够低,则可以认为其在板上进行平顺的层流流动,即可以将液膜分成平行于倾斜平板的叠加液层。如果不考虑气体和液体之间的相界面剪切力且液体的物理性质不发生改变,当液体达到稳定的速度梯度时,各液层黏滞力与重力和平板支持力相抵消,各液层会沿着x轴方向作平滑匀速直线运动。
根据不可压缩液体N-S方程[5]其中,u为液膜某一体积微元的速度,ρ为液体密度,P为液体所受的应力张量,g为重力加速度,η为液体动力黏滞系数。当液体稳定后,液体为定常流,即
,液膜沿x轴正方向保持匀速运动。
,式(1)可化简为
其中,
即为平板的支持力,其将液膜所受的重力在z方向的分量抵消。设倾斜平板的倾斜角为α,式(2)在x方向分式的标量形式为[6]
对式(3)两边进行二次积分,解得
其中,z为各体积微元到平板平面的垂直距离,C1,C2为待定常数。下层的液体可以看作贴着平板接触面不动,即速度为零,最上层没有切应力,速度偏导数为零。边界条件表示为
其中,h为液膜的厚度。由式(4)、式(5),可得C1=-h,C2=0,流动速度分布为抛物线由此我们定义流量为
其中,b为液膜宽度。利用式(7),通过测量液膜厚度h即可求得液体的黏滞系数。针对液膜厚度的测量文献中已给出电阻法,电容法,光谱法,椭圆偏振法,全内反射法等方案[7,8],本着简单易行,适用于实验教学的考虑,本文通过测量液膜上表面的速度计算液膜厚度(流速法)。
根据式(6),液膜流动速度大小分布为抛物线,其中液膜上表面速度最大,代入z=h可得液膜上表面速度V为
联立式(7)和式(8),可以推导出
综上所述,我们通过测量液膜上表面的速度计算液膜厚度,结合液膜宽度、密度、平板倾斜角、流量测量,进而得到液体黏滞系数。
2 装置搭建
装置系统如图2所示。装置主要由注射泵供液器(迪创公司,LSP02-1B型微量注射泵),自制的布液器,倾斜板,回收容器和摄像装置组成。通过供液装置,实验液体以稳定的流量注入布液器,布液器采用简单便捷的溢流堰式结构,当实验液体通过管道进入布液器且在内部不断增加累积至一定高度后从布液器侧面的缺口向外溢出,在倾斜平板上形成平铺的流动液膜,最后流入回收容器。液体靠自身重力流动,倾斜板倾角固定时,液膜流速只受供液速度影响。垂直于倾斜平板上方固定摄像装置,在液膜表面播散跟随性能好且不会下沉的示踪粒子随着液膜运动,利用摄像装置记录一定时间间隔的流场图像。
布液器的规格为5×8×2.2cm,倾斜板的宽度为2.2cm,长20cm,两边固定宽和高均为2mm的挡沿,两者材料均为有机玻璃。摄像装置采用手机的录像功能。3 实验探究
3.1 实验方案
利用该装置测量蓖麻油的黏滞系数,通过控制供液器的流量,蓖麻油以平铺液膜的形式流过实验平板,液膜完全铺展稳定后,将示踪粒子洒在布液器表面,打开手机摄像功能录制一段视频,然后利用Tracker软件,通过粒子匹配,获取每一帧示踪粒子位置,根据两帧图像之间的位移求得瞬时速度,从而求得粒子速度的变化情况 (见图3)。当粒子速度不再变化时表明液体已经完成了加速过程,达到黏滞力与重力分量平衡的稳定层流状态,选取一段粒子的运动过程进行拟合(见图4),速度拟合结果即对应液膜的表面速度。

3.2 装置适用条件探究3.2.1 不同流量下的黏滞系数测量
实验发现,供液器的流量在某一区间时,蓖麻油黏滞系数测量相对准确,当流量较小和较大时黏滞系数测量误差较大。图5为室温18℃,在倾斜板倾角为30°时,采用上述实验方案在不同流量下测得的黏滞系数。供液器流量大约在4.0×10-9~1.0×10-8m3/s时,黏滞系数测量相对准确,相对误差在8%以下,在此流量区间内,都可以进行黏滞系数测量实验。当流量小于4.0×10-9m3/s或大于1.0×10-8m3/s时,黏滞系数测量误差较大。18℃时蓖麻油的标准黏滞系数为1.15Pa·s[9],密度为0.96kg/cm3。
3.2.2 不同倾角下的黏滞系数测量改变倾斜板的角度继续进行试验探究,图6为室温18℃,倾斜板倾角为20°,30°,45°,55°实验条件下,改变供液器的流量,采用上述实验方案测得的蓖麻油黏滞系数的相对误差。从图5可以看出,黏滞系数测量误差在8%以下的流量范围约在4.0×10-9~1.0×10-8m3/s间,与之前结论相同。因为倾角改变时,液膜重力的分量和流速虽然都有变化,但都满足式(3)。
3.3 测量准确性探究在室温18℃,黏滞系数测量相对准确的流量区间内,选取两个流量进行6次重复性实验,每次测量示踪粒子位于液膜不同位置,表1为7.173×10-9m3流量下进行的重复性试验,表2为3.979×10-9m3流量下进行的重复性试验,测得蓖麻油的黏滞系数与理论值的相对误差都在8%以下,相对误差上下波动较小,体现出本装置具有较高的准确度。
4 误差分析4.1 表面张力的影响
如图7所示,由于表面张力的存在,图7小流量下倾斜板边缘液面在倾斜板和两侧挡沿间,会形成液面弯曲,液体承受一个附加压力,这个附加压力ΔP仅与液体的表面张力γ和液面的两个主曲率半径Rx,rx有关[10](|R(x)|<|r(x|))
考虑到液面在流动方向的平整性,则
。当液面达到平衡时附加压力应与静压力相抵消,因此在液面下方满足方程[11]
其中,P0为大气压强,z是液面在表面张力作用下
然后使用x趋近于正无穷时,z和一阶导数都为零的边界条件,并利用化简积分结果可得
令附着在挡沿上液体的液面高度为H,此时的液面倾斜角度θ即为固液面的接触角θE,则可以得出最大的毛细上升高度为
参考接触角[12]及表面张力[13]测量方法,测得蓖麻油和有机玻璃的接触角及蓖麻油的表面张力分别为42°和2.2mN/m,代入相关参数可以得出最大的毛细上升高度约在1.2mm,但在距离挡沿3mm的位置时上升高度已不足0.1mm。利用式(7)和标准黏滞系数可得本实验中不同流量下液膜厚度约为0.8~1.6mm。因此在流量较小,表面张力导致的液膜向两侧的弯曲会对实验产生较大影响,此时将液膜表面边缘区域视为平面的模型便不再有效,导致测量不准。
4.2 两侧壁切向力的影响除表面张力之外,两侧壁面对于液体的切向力也会对流场产生影响,引起实验误差,为简便起见,前文的模型未考虑两侧壁切向力,但当流量增大时,液膜不断变厚,两侧切向力的影响逐渐显现,使该模型逐渐失效。因此必须考虑图1中液膜在y轴方向的变化,将式(3)改为三维形式
在较低雷诺数下我们忽略空气与液体的剪切力影响,可以假想将两个槽型实验平板拼接成一个矩形管道,利用矩形轨道的边界条件对液体分析。代入矩形管道的边界条件
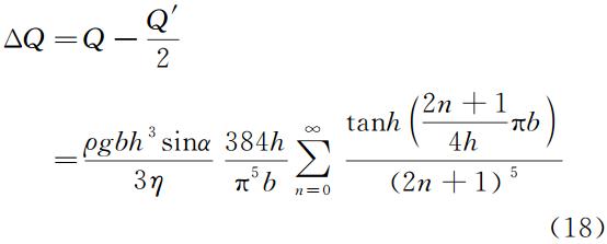
根据在该边界条件下方程的精确解[14],得到修正的流量Q′
根据之前的假设,液槽流量是矩形截面模型的一半,两种模型的流量差值为
通过分析公式(18),可知流量差值与的值有关,当流量增大时,流量差值随
增大而增大,液体层流模型失效,因此本实验流量有一定的范围。
5 液膜厚度测量对比验证
图8全内反射法实验光路全内反射法是测量液膜厚度比较成熟的方法[15-17]。在本实验中,在倾斜板外侧壁粘贴白色胶带纸,用激光器照射倾斜板外侧壁并在壁面发散。如图8所示,利用光的全反射原理,当光由光密介质传播至光疏介质中时,如果入射角大于临界角,就会发生全反射。在发生全反射之前,反射光强度很低,在壁面形成的光斑亮度较低。发生全反射时,底面上的光斑亮度会显著增大,形成亮度较高的光圈。根据光圈的位置可推算出液膜厚度。R为光圈的半径,R0为液膜厚度为零时光圈的半径,h为液膜厚度,m为倾斜板壁厚度,θc为临界角,θ为倾斜板壁面中折射角。则有
为了提高成像质量,利用CCD垂直液膜进行拍摄,分辨率为2736×3648,光圈图像通过灰度化和对比度处理后如图9所示(光圈位置用虚线标记),然后利用边缘提取算法通过去除荧光图像中的异常孤点噪声同时提取图像的像素强度,再通过反射光强度的最大斜率点来确定光圈的位置,将液膜的实际宽度和图像中的液膜宽度进行对比,求得图像的横向放大率为2.0,进而求得图像中光圈各点的实际坐标,使用Matlab进行数值拟合并利用式(19)、式(20),即可求得对应的膜厚度。
由于测量厚度时计算的是有液膜的光圈半径和没液膜时光圈半径的差值,因此不必考虑光源本身的宽度。利用椭圆公式对流量为2.387×10-9m3/s和5.571×10-9m3/s的光圈图像进行拟合,可以发现2.387×10-9m3/s流量下拍摄的光圈图像拟合后,长短轴比例约为6∶5,为椭圆(见图10)。5.571×10-9m3/s流量下拍摄的光圈图像拟合后长短轴比例约为10∶9.5,可以近似为圆(见图11),求得求得黏滞系数相对误差2.6%。
实验结果说明当流量较小时,表面张力对本实验的影响较大,液膜厚度不均匀,而当流量逐渐增大时,表面张力对本实验的影响可以忽略。在图5所示黏滞系数计算相对准确的流量区间,用全内反射法测量厚度,计算的黏滞系数相对误差与流速法对比,如图12所示,可以看出两者区别不大,均在8%以下。
6 结语本文利用降膜流动理论设计了测量液体黏滞系数的实验装置,采用流速法计算液膜厚度,给出了不同流量下和不同倾角下的黏滞系数测量结果,分析了装置的适用条件。应用该装置进行了重复性试验,样品黏滞系数的测量误差在8%以下,说明了该装置测量黏滞系数的可行性。最后,分析了该装置的误差来源,利用全内反射法验证了流速法计算液膜厚度方案的正确性。
该研究提供了一种测量蓖麻油黏滞系数的新方法,丰富了测量黏滞系数的教学内容,利用该装置进行实验时,不但有助于学生加深流体力学知识的理解,也有助于提高综合设计能力,适用于开展实验教学。同时,实验装置结构简单,成本低,易于制作,便于推广应用。本文的研究还有进一步扩展的空间,如应用该装置测量其他液体时,适用的黏度范围等还需继续探讨。
参考文献
[1]陈惠钊.粘度测量(修订本)[M].北京:中国计量出版社,2002:1-4.
[2]刘子臣. 大学基础物理实验(力学、热学及分子物理分册)[M].2版.天津:南开大学出版社,2005: 205-217.
[3]石玉琦. 降膜吸收传热传质理论与实验研究[D].杭州:浙江大学,2018.
[4]NUSSLT W. Die Oberflachenkondensation des Wasserdampfes[J]. VDI-Z: Integrierte Produk-tion Z, 1916.
[5]李伟峰,刘海峰,龚欣. 工程流体力学[M]. 2版.上海:华东理工大学出版社, 2016:84-87.
[6]卓雄杰. 倾斜平板上液膜流动行为的数值模拟与实验研究[D].广州:华南理工大学,2020.
[7]陈燕平,余飞鸿. 薄膜厚度和光学常数的主要测试方法[J].光学仪器,2006,28(6) : 84-88.
CHEN Y P, YU F H. Main measurement methods of thin film thickness and optical constants[J]. Optical instruments, 2006, 28(6): 84-88. (in Chinese)
[8]李天宇,黄冰瑶,廉天佑,等.薄层液膜厚度的点测量和空间测量方法综述[J].实验流体力学,2020,34(1):12-24.
LI T Y, HUANG B Y, LIAN T Y, et al. Journal of experimental fluid mechanics, 2020, 34(1): 12-24. (in Chinese)
[9]金叶,彭川黔,梁霄,等.Origin软件在拟合蓖麻油黏滞系数随温度变化关系曲线中的应用[J].重庆科技学院学报(自然科学版),2012,14(1):168-170.
JIN Y, PENG C Q, LIANG X, et al. Application of Origin software in fitting the curve of viscosity coefficient of castor oil with temperature[J]. Journal of Chongqing University of Science and Technology (Natural Science Edition), 2012, 14(1): 168-170. (in Chinese)
[10]郑桂富.物理化学[M].安徽:安徽大学出版社, 2009:246-247.
[11]GENNES, PIERRE-GILLESDE. Capillarity and wetting phenomena : Drops, bubbles, pearls, waves[M]. France Springer, 2004: 44-46.
[12]李健,费潇,王腊梅,等.基于液滴局部轮廓的接触角测量方法[J].科学技术与工程,2021,21(24):10134-10139.
LI J, FEI X, WANG L M, et al. Contact Angle measurement method based on droplet local profile[J]. Science Technology and Engineering, 201, 21(24): 10134-10139. (in Chinese)
[13]郭瑞.表面张力测量方法综述[J].计量与测试技术,2009,36(4):62-64.
GUO R. Overview of surface tension measurement methods[J]. Metrology and measurement technology, 2009, 36(4): 62-64. (in Chinese)
[14]毛建素.矩形管道层流运动的速度分布与摩阻计算[J].哈尔滨建筑工程学院学报,1991(1):66-73.
MAO J S. Velocity distribution and friction calculation of laminar flow in rectangular pipe[J]. Journal of Harbin Institute of Civil Engineering and Architecture, 1991(1): 66-73. (in Chinese)
[15]李凯朋,王多书,王济州,等.膜层的光学薄膜参数测量方法研究[J].真空与低温,2013,19(4):224-227.
LI K P, WANG D S, WANG J Z, et al. Study on measurement method of optical film parameters[J]. Vacuum & cryogenics, 2013, 19(4): 224-227. (in Chinese)
[16]TOSHIRO K, SHEDD T A, BLASER B C. Investigation of spray evaporation and numerical model applied for fuel-injection small engines[J]. Sae International Journal of Engines, 2008, 1(1): 1402-1409.
[17]SHEDD T A, NEWELL T A. Automated optical liquid film thickness measurement method[J]. Review of Scientific Instruments, 1998, 69(12): 4205-4213.
基金项目: 2021南开大学自制实验教学仪器设备项目(No.21NKZZYQ02);教育部产学合作协同育人项目(No.202102227007);2020高等学校教学研究项目(No.DJZW202010hb);国家基础科学人才培养基金项目(No.J1210027);南开大学物理基地能力提高项目(No.J1103208)。
通讯作者: 文小青,女,南开大学实验师,从事物理实验教学,研究方向为仪器仪表及电力电子与电气传动,wenxiaoqing@nankai.edu.cn。
引文格式: 周苏羽,文小青,王槿,等. 利用降膜流动测量液体黏滞系数[J]. 物理与工程,2023,33(1):88-94.
Cite this article: ZHOU S Y, WEN X Q, WANG J, et al. Using falling film flow to measure the viscosity of the liquid[J]. Physics and Engineering, 2023, 33(1):88-94. (in Chinese)
END
更多精彩文章请点击下面“蓝字”标题查看:2023年全国高等学校物理基础课程教育学术研讨会 会议纪要2023 年全国高等学校物理基础课程青年教师讲课比赛在喀什大学举办全国大学物理实验教学对口支援(智力援疆)研讨会在新疆师范大学举办王青教授:理解王中林院士“拓展的麦克斯韦方程组”“碰瓷”麦克斯韦:伽利略协变和洛伦兹协变电磁场论趣谈热点:运动介质洛伦兹协变电磁理论2021年《物理与工程》优秀论文、优秀审稿专家、优秀青年学者名单王青教授:源自苏格拉底的问题驱动式教育——在互动中共同学习和成长读后感:教育中的现实和远方王青教授:昨晚(6月9日),清华电动力学期末考试朱邦芬院士:“减负”误区及我国科学教育面临的挑战《物理与工程》2022年第6期目录乐永康:新冠肺炎疫情防控下美国物理实验教学及中美情况对比顾牡:对于重新制定的《非物理类理工学科大学物理课程教学基本要求》的认识和体会朱邦芬院士:从基础科学班到清华学堂物理班朱邦芬院士:对培养一流拔尖创新人才的思考李学潜教授:物理是一种文化李学潜教授:如何帮助物理系学生迈过从高三到大一这个坎穆良柱:物理课程思政教育的核心是科学认知能力培养穆良柱:什么是物理及物理文化?穆良柱:什么是ETA物理认知模型穆良柱:什么是ETA物理教学法吴国祯教授:我的国外研究生经历印象——应清华大学物理系“基科班20年·学堂班10年纪念活动”而写
陈佳洱,赵凯华,王殖东:面向21世纪,急待重建我国的工科物理教育王亚愚教授:清华物理系本科人才培养理念与实践葛惟昆教授:关于中外人才培养的几点思考安宇教授:为什么传统的课堂讲授模式需要改变安宇教授:其实教学就是积累的过程刘玉鑫教授:关于本科生物理基础课程教学和教材编著的一些思考沈乾若:重创理科教育的美加课程改革Henderson C:美国研究基金支持下的物理教育研究及其对高等物理教育的影响《物理与工程》期刊是专注于物理教育教学研究的学术期刊,是中国科技核心期刊,1981年创刊,欢迎踊跃投稿,期刊投审稿采编平台:
http://gkwl.cbpt.cnki.net
欢迎关注
《物理与工程》微信公众号
原标题:《利用降膜流动测量液体黏滞系数》
本文为澎湃号作者或机构在澎湃新闻上传并发布,仅代表该作者或机构观点,不代表澎湃新闻的观点或立场,澎湃新闻仅提供信息发布平台。申请澎湃号请用电脑访问http://renzheng.thepaper.cn。





- 报料热线: 021-962866
- 报料邮箱: news@thepaper.cn
互联网新闻信息服务许可证:31120170006
增值电信业务经营许可证:沪B2-2017116
© 2014-2026 上海东方报业有限公司




