- +1
物质的态与相
以下文章来源于中国物理学会期刊网 ,作者叶麒俊 等
中国物理学会期刊网.
中国物理学会期刊网(www.cpsjournals.cn)是我国最权威的物理学综合信息网站,有物理期刊集群、精品报告视频、热点专题网页、海内外新闻、学术讲座,会议展览培训、人物访谈等栏目,是为物理学习和工作者提供一站式信息服务的公众平台。
|作者:叶麒俊1,2 欧阳霄宇1 李新征1,2,†
(1 北京大学物理学院 人工微结构与介观物理国家重点实验室 纳光电子前沿科学中心)
(2 轻元素量子材料交叉平台 量子物质科学协同创新中心)
本文选自《物理》2023年第11期
在现代物理学研究中,物质的态与相扮演着重要的角色。它们之间既有联系,又有形成时间的不同以及具体涵义的差异。文章把两个概念的认识过程分为三个阶段:(1)贯穿整个19世纪的第一阶段,主题大致可归结为“态与相概念的先后提出”,将围绕当时人们在描述物质存在形式时“从理想气体的克拉珀龙方程到真实体系的范德瓦耳斯模型”展开;(2)19世纪末至20世纪中期的第二阶段,主题是“对相理解的深入”,将从居里—外斯定律的发现出发,重点介绍楞次—伊辛模型的提出及其解;(3)第三阶段为20世纪中期开始的更为系统的相变理论的发展,落脚点是“物性的解析表述”。希望通过这个回顾,能够让人们更加关注杨—李理论这一瑰宝,进而加深对物质的态与相这两个概念以及对相变概念的理解。
01
引 言
物质的态与相(state of matter 与 phase of matter)往往是物理学初研者最早接触的概念[1,2],但对它们的理解,却通常不够深入。我们经常使用分子动力学模拟物性,利用结构与动力学的信息描述物质的存在形式。在此过程中,“相”被广泛使用,但很多情况下这一概念的严格定义却未被深究。直到三年前,面对一个关于高压冰动力学状态的问题,同事全海涛教授提醒我注意这两个概念的差别。这促使我们深入学习相变理论,尤其是杨—李理论1),并据此完成了两项理论工作[3,4]。
本文将以“历史的发展”作为主线,按黑格尔所提倡的“历史与逻辑相统一”的方式,回顾“物质的态与相”这两个概念的形成与演化。总的来说,这两个概念的形成与演化可分为三个阶段。
(1)19世纪,“态”的描述与“相”的提出。时人多以“态”(state)和“状态方程”(equation of state)来描述物质的存在形式,代表成果为理想气体的克拉珀龙状态方程,以及进一步修正的范德瓦耳斯真实气体状态方程[5—8]。但“混合液体”的存在挑战了这一范式,吉布斯为此引入了“相”(phase)的概念[9,10]。
(2)19世纪末到20世纪初,“相”替代“态”被广泛应用,人们提出并求解了微观视角下的相变模型。相较于气、固、液等传统的“态”,在铁磁材料的研究中,人们认识到同一种“(固)态”可以存在不同的“相”。这也使得“相”的概念极大延伸。从此,人们更多使用“相”进行物性描述[11—18]。楞次—伊辛模型2)的提出,则首次从微观相互作用层面出发,以最简单的数学模型,提供了研究相变现象的载体,其求解过程促进了对“相”的深入理解[19—30]。
(3)20世纪中期到70年代,相变理论的发展及其对“相”数学本质的揭示。杨—李相变理论创造性地将配分函数解析延拓到复空间,以“解析性”为核心,通过配分函数零点的行为,为相变提供了严谨的数学描述[30—32]。此后,重正化群理论和标度理论深化了对相变中临界行为的理解,可计算临界指数,并指出相变存在的普适类。实际上,笔者正是被杨—李相变理论深深吸引,进而关注统计力学方面的问题。
02
态与相概念的提出:从理想体系的克拉珀龙状态方程到真实体系的范德瓦耳斯模型
19世纪初热学才刚刚起步,而经典力学从1687年《自然哲学之数学原理》的出版算起,已经发展了一百多年。尽管热力学第零定律直到1939年才被正式提出,但其精神内核,即由“温度”表征热力学系统的状态,则早已被践行,代表性的华氏温标从18世纪初便已提出;而与力学更成熟的发展相称,压强的标定最早可追溯到17世纪托里拆利发明的水银气压计。在有了温度和压强的标定后,一个自然的问题便是:物性和物质的存在形式会随温度和压强变化怎样变化?先说物性,除了在17世纪已知的波意耳—马略特定律(p-V定律),18世纪末人们又进一步得到查理定律(V-T定律)3),而后1812年,意大利科学家阿伏伽德罗引入物质的量,并提出阿伏伽德罗定律。1834年,法国物理学家克拉珀龙在这三个定律基础上4)得到了理想气体的状态方程,即:
事实上,关于物质存在形式变化的讨论是在尝试把气体液化的过程中5)兴起的。气体和液体是天然存在的两种物态,而在当时,人们已经认识到了各种物质在化学上都是由不同分子和原子构成的,那不禁就要问为何H2O既可以是气体也可以是液体,而CO2、H2、O2等通常是气体,这些形态是否可以相互转换。这一问题最早的理解来自1822年,法国人德拉托尔把酒精密封在一个石英球枪管中加热,并发现在特定温度以上,气体与液体变得不可分辨,即所谓的超临界现象。1869年,由爱尔兰科学家安德鲁斯使用临界点一词来刻画物质凝聚的条件:在临界点以下,才会有所谓的气—液相变;在临界点以上,物质完全气化;不同物质的临界温度不同。临界点的提出正好解释了前述问题6)。
在气体液化的过程中,人们很自然地发现其物态方程会偏离克拉珀龙方程。在19世纪40到70年代,法国人勒尼奥通过大量实验,细致地测量了这种偏差。在理论上,为解释这种偏离,荷兰物理学家范德瓦耳斯敏锐地意识到分子间的相互吸引以及分子本身只会占据有限的体积这两点对于人们描述真实气体的重要性,修正状态方程为
并利用它成功地从理论上描述了气体、液体之间状态的转变以及德拉托尔的超临界现象。图1展示的就是范德瓦耳斯模型的相图。需要指出的是,当时人们常用的概念是态(state of matter)以及状态方程(equation of state)。直到今日,人们仍习惯于说固态、液态、气态,以及极端条件下的等离子体态。究其本源,态的变化是一种宏观的、可以显著表现出来的存在形式的变化,状态方程也仅牵涉系统的宏观状态指标。而从微观出发去理解这些,就得等“相”(phase)的应用兴起之后了。
图1 范德瓦耳斯模型的p-V相图。在临界点K以下,发生气—液相变,灰色区域为亚稳的过冷气体/过热液体,浅绿色区域为两相共存区域。K点以上为超临界区域,不发生相变“相”概念的出现要晚于范德瓦耳斯模型。它来自于热学与统计力学发展的一位领军人物——吉布斯。基于当时化工产业提纯、气化、冷凝等实际需求,理解混合液体的物性成为一个很重要的物理问题7)。面对多种液体的混合液,吉布斯在他于1875到1888年完成的专著On the Equilibrium of Heterogeneous Substance中[9,10]明确提到:In considering the different homogeneous bodies which can be formed out of any set of component substances, it is convenient to have a term which shall refer solely to the composition and thermodynamic state of any such body without regard to its size or form. The word phase has been chosen for this purpose. Such bodies as differ in composition or state are called different phases of the matter considered, all bodies which differ only in size and form being regarded as different examples of the same phase. Phases which can exist together, the dividing surfaces being plain, in an equilibrium which does not depend upon passive resistances to change, are called coexistent。这是吉布斯对相的描述,其对均一性的强调也被我们的教科书继承下来8)。而吉布斯的这些工作,获得了麦克斯韦、范德瓦耳斯、昂内斯等人的支持,也很快在欧洲取得了影响。
至此,我们的回顾走完了第一部分:从理想气体模型到反映气液状态转变和超临界现象的范德瓦耳斯真实气体模型。早期人们习惯于使用态的概念,基于状态方程来描述理想气体在不同状态函数(比如温度、压强)下的宏观物性变化。而后以范德瓦耳斯真实气体为起点,人们开始描述更为实际的气体物性、气液状态转变以及临界现象。在描述混合液体的过程中,吉布斯开始使用相的概念。以这些工作为基础,1901年吉布斯获科普雷奖(Copley Prize),1910年与1913年范德瓦耳斯与昂内斯也分别获得诺贝尔物理学奖。
03
对“相”理解的深入:居里—外斯定律、楞次—伊辛模型及其解
在“相”概念的推广和深入理解的过程中,铁磁材料研究及其模型起到了关键作用。物理学研究离不开模型,一个研究领域的兴起往往都是从一个简洁有力的模型出发,将真实世界的部分属性抽象成物理概念,由此一砖一瓦搭建起理论体系并产生有用的结论。在19—20世纪之交,人们尚缺乏对于微观状态下原子分子相互作用,即化学键的准确理解,而这恰是继续探索气液相变的研究基础。在这个困难下,皮埃尔·居里和外斯对铁磁相变的研究为人们定量研究相概念提供了不同的视角,可谓开辟了新战场[11,12],而在此上开疆拓土的便是楞次—伊辛模型[19—21]。
首先需要指出的是,在楞次—伊辛模型提出之前,类似思想早已萌芽。最早可追溯至安培在1821—1822年提出的的环状分子电流假说(electrodynamic molecule)。当时,安培受到1820年奥斯特发现电生磁现象的启发,认为在原子、分子中,存在所谓的环形电流或分子电流,使得物质微粒成为磁体,环两侧即为不同磁极。1852年,韦伯更进一步提出了磁体是由一系列可自由旋转的“小磁针”构成。而更为精细的磁性机制与性质的实验研究需要等到1895年,皮埃尔·居里根据对氧气的长期观测结果,总结出磁化率与温度成反比的居里定律,并根据磁性不同把物质分为铁磁相、顺磁相和抗磁相[11]。
图2 外斯分子场模型示意图 (a)在没有外场的情况下,单元磁矩自由取向,系统整体表现为顺磁相;(b)当有外场时,单元不仅受外场作用(深蓝色箭头),还受到周围单元对其施加的分子外场(黄绿色箭头),在两者的共同作用下单元磁矩整齐排列,表现为铁磁相20世纪初期正是统计力学蓬勃发展的阶段。对于居里的发现,人们尝试用统计力学进行描述。居里的学生朗之万最早践行了这一想法。1905年,他假定粒子携带固定大小磁矩,在外部磁场作用下其空间角度分布由玻尔兹曼系数决定。基于此,他成功解释了顺磁相和抗磁相,并推导出居里定律[13,14]。而为了理解铁磁相,外斯提出分子场假说(molecular field theory),假定系统内部存在所谓的分子内场,每个磁单元不仅受到外磁场影响,还受到周围原子施加的、正比于磁化强度的分子内场作用(图2)。在运用平均场近似后可得居里—外斯定理,该定理首次揭示了铁磁性的本质,即材料在居里温度以下自发磁化[12]。此外,居里—外斯定理预测了磁化率在居里温度处的发散性质,这也是相变的根本特征。尽管有一些批评的声音9),但20世纪初期,物理学家们普遍接受外斯的基本磁单元假设以及运用统计力学的方法路径。
伴随着20世纪普朗克引领的量子革命,关于固体中磁性的理解也开启了新篇章。1915年玻恩出版了《晶体动力学》10)一书[18]。他在书中断言原子是构成晶体的基本单元,同时不管是在气体、液体还是固体中,原子间存在统一的相互作用,这正是相变现象如此奇异和令人着迷的根本原因。这一观点在今天看来很直观、很简单,但在当时可谓石破天惊。彼时人们普遍认为,甚至于专门研究不同相(诸如固体、液体等)存在的各异的相互作用。
接力下一棒的是楞次和伊辛。楞次和玻恩一样有着深厚的哥廷根学派背景,他在哥廷根大学完成了数学与物理方面的大学阶段的学习后,在早期量子论代表人物索末菲的指导下完成了博士学业并长期担任其助手。1920年,他受玻尔关于原子能级的报告启发,发表了题为“对固体中磁现象的理解”11)的论文[19]。基于磁铁矿和黄铁矿存在特定磁化角度的实验结果,楞次推断在固体中的磁单元并不是外斯设想的自由取向,而是固定在类似量子能级的几个特定取向之间。伊辛是楞次1921年赴汉堡大学任教后的首批学生,在楞次的指导12)下,他完成了对具有近邻相互作用的磁单元、后来被称为楞次—伊辛模型(Lenz—Ising model)一维情形的计算13) [20—21]。伊辛注意到磁相互作用太弱,不足以诱导铁磁性,因而在模型中考虑源自静电力的、仅限相邻格点的相互作用。但与解释铁磁相变的初衷相反,伊辛证明了一维情形并不存在铁磁相变。后续他多次尝试进行拓展也都失败了,令他彻底失望,认为这个模型的二维乃至三维都不会发生铁磁相变。事实上,如果一维链上某格点因热涨落而发生翻转,则该点两侧的构型完全脱耦,导致一维情况下并不存在稳定的长程关联,但这一情形在二维以上会发生质变。
图3 克拉默斯和万尼尔给出楞次—伊辛模型的配分函数矩阵形式。考虑新加入系统的一层原子(第n+1层),根据系综理论,其磁矩分布取决于配分函数,具体而言是其自身受外场影响部分与最近层原子(第n层)相互作用部分的能量,由此可以写出第n+1层概率分布与第n层概率分布的递推关系。将该递推式求连乘并考虑边界条件,即可将配分函数写作特征矩阵连乘的形式,并可进一步得出以特征矩阵本征值表达的形式。特别地,当层数n足够多,如考虑无穷大系统时,则其余本征值相比最大本征值的贡献可忽略,配分函数仅由最大本征值所决定伊辛的结果被埋没了很长一段时间14),直到30年代中期才出现转机。1936年,派尔斯在研究合金中不同组分的协同效应时证明了着眼于解释磁性的楞次—伊辛模型与合金中有序—无序模型的等价性,并根据后者结果猜测前者能够推导出铁磁相变[25]。学界为之沸腾,但楞次—伊辛模型看上去简单,在二维以上的数学求解却颇为艰难,令无数英雄折腰。直到1941年,才由克拉默斯和万尼尔在二维模型的求解上取得了突破,他们指出以不同的构型为行列,可以把系统的能量写作矩阵形式,而配分函数则为这一矩阵本征值的幂次和(图3)[26,27]。紧随着,一年之后昂萨格在纽约科学院会议上宣称自己获得了严格解,相关论文于两年后的1944年发表[28]。昂萨格的论文过于晦涩,以至于几年间无人能懂,经1948年考夫曼引入旋量(spinor)理论对其进行简化后[29],才逐渐流行开来。中间颇为有趣的是,昂萨格似乎是挑衅一般地把自发磁化的公式结果于1948年第一次战后国际纯粹物理与应用物理联合会(IUPAP)会议上公开而不给出证明过程,该问题悬四年未决,最终由杨振宁先生在1952年的文章中给出解答[30]。
楞次—伊辛模型表明,哪怕是最简单的相互作用,都足以使物质产生不同相。从后续的临界理论反观,这一结果的背后是临界点处关联长度无穷大,使得研究者在此可以忽略相互作用的具体形式,而聚焦于长程序形成机理。二战后的统计力学模型具有一个共同特点,即强调数学可解性而牺牲物理真实性,这是因为真实物理系统的相互作用过于复杂,因此必须依靠少数平衡了现实性和可解性的模型来理解相变,楞次—伊辛模型就是其中的范例。在这一过程中,“态”被“相”逐渐取代,铁磁材料的研究拓展了“相”的外延,基于微观相互作用的研究范式更随着“相”的使用而流行,但“相”的内涵以及“相变”的解析本质,人们依然没有认识到。
04
相变的解析本质:杨—李理论及现代相变理论
1952年,杨振宁先生和李政道先生于Physical Review上发表了两篇里程碑式的文章,大题目都是“statistical theory of equations of state and phase transitions”。其中,第一篇文章的小标题为“theory of condensation”[31],他们提出复数化配分函数的思想,并由此建立了李—杨零点及热力学极限的概念。第二篇文章的小标题为“lattice gas and ising model”[32],主要针对楞次—伊辛模型及与之等价的格气模型(lattice gas)的演算,得出磁体系零点分布通用的李—杨圆定理[32]。这两篇文章,加上之前的准备[30],使得两位先生完成了相变理论中于笔者看来在数学上最美的篇章。当前教科书对其介绍浅尝辄止,一般仅涉及热力学极限,但零点理论首次阐明了相变的解析本质这一点往往强调地不够。
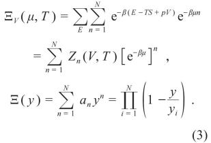
我们知道,配分函数等于系统各微观状态的指数加和,这一形式蕴藏着更为深刻的物理内涵,李政道与杨振宁两位先生最先注意到了这点。不失一般地,考虑了一个体积为V、化学势为μ 的单原子气体开放系统,体系自由能函数为G=E-TS+pV+μn,系统粒子数n可变。其巨正则系综配分函数写作:
第一个公式是关于所有不同微观状态组(E, n)的贡献求和,我们关注粒子数的变化,将前半部分对不同能量态E求和,得到Zn(V, T),此即固定粒子数下系统的正则配分函数,进而可得后半部分。简记y=e-βμ,an=Zn(V, T),并注意到该式中n取整数。第二个公式右式就是一个数学上标准的以y为元、an为系数的N阶多项式。利用代数基本定理对其进行多项式分解,即可得第二行最终的表达式。其中yi (i=1,⋯,N)是该多项式在复平面上的N个零点,满足Ξ(yi)=0。由于自由能正比于配分函数的对数,对不同外场求各阶导数即可得相应性质的系综平均,故当取实零点使得Ξ(y)=0时,自由能和各阶导数均出现发散行为,这就是我们看到的相变。李—杨零点提供了一种严格判断、解释相变的方式。配分函数的零点破坏了物理量的解析性,因而产生了相变,这些零点包含了体系在相变区域的全部信息。由于物理可观测量为实数、指数函数在实数区间的非负性,平衡状态下我们仅能控制系统处在y的正实轴上。此时仅当零点逼近实轴处,如图4所示t1、t2等点,系统各种物性在其两侧发生突变,由此分割出R1、R2等不同相,而在每个相内部,物性又是完全连续的。这样相和相变的解释如此美妙,以至于两篇文章发表后,立刻吸引了同在普林斯顿研究院的爱因斯坦的注意,爱因斯坦主动邀请当时非常年轻的杨李二人来办公室讨论,据说这是两代物理学家的第一次正式会面。
图4 李—杨零点与相变的关系 (a)在复平面上参量y的零点分布,其中在t1,t2处的零点穿过实轴,将实轴分为三段;(b)压强相对于参量y的变化,其中在t1,t2处压强连续但其导数不连续,对应(c)中密度的不连续,即发生一级相变;(d)零点对应的压强—体积曲线,也可以分辨出三个不同的相[31]遗憾的是,由于零点分布在复平面,难以在物理上直接探测到,长期以来被认为仅是一个数学概念。在1969年,Michael E. Fisher将其拓展到正则系综后[33,34],理论上就再没有突破。尤其是在70年代后,Kenneth G. Wilson提出了不同的研究路径,将重正化群思想引入统计力学,完整解释了包含临界指数、普适类在内的临界行为[35,36]。学界兴趣的转移,加之作为开创者的两位先生转向了研究粒子物理方向,使得杨—李理论的研究进展更加寥寥。在此期间,反而是实验有所成功,零点的直接探测工作由国内完成。2012年,香港中文大学的刘仁保提出理论方案,并在2015年由中国科学技术大学的彭新华、杜江峰等人完成实验,首次观测到了自旋体系的李—杨零点[37,38]。他们把一个自旋作为探针,与待观测零点的体系耦合,通过探针的动力学行为(如自旋时间关联函数),将复空间信息转换到时间轴上,从而探测到了零点在复平面上的位置(图5)。一甲子再回眸,杨—李理论才首次被实验验证。
图5 将探针与体系所有自旋耦合,用探针的自旋时间关联函数探测零点的实验数据 (a—c)温度从低到高时,探针探测到的关联函数曲线,其中等效温度Teff中的J为材料中氢元素自旋相互作用系数;(d—f)不同温度对应的零点分布,对于实验中的伊辛模型,零点均位于单位圆上[38]事实上,零点的物理意义可以继续挖掘。笔者就利用零点的语言,以系统中粒子运动的轨迹为微观单元,发展了动力学相变理论,用以解释高压冰相图中不能用传统热力学解释的、一些扩散行为异常变化[3]。其中,动力学相变就是用动力学系综的零点来严格定义的。此外,零点不止和相变相关。一些专著会强调,只有零点接近实轴(相变发生时)才会对可观测性质产生影响。但本质上,零点包含了系综的全部统计信息,知道了零点等价于知道了配分函数。这意味着我们可以有一个比当前更强大的杨—李理论,在零点视角下重写统计理论。笔者的另一项工作就指出,在临界点以上,即所谓超临界区域,即使零点已经离开实轴,其仍然决定了可观测的响应函数极值线[4]。超临界区域长期被认为是连续不可分的,学界近期有类比相边界、以不同响应函数极值为边界的工作,但困扰于不同标准可生成各异的超临界边界,而杨—李零点在高维复空间的特性正好解释了这些现象。值得注意的是,基于数学表达式上的相似性,零点之于自由能,正如电荷之于电势,我们可以将零点分布理解成空间中的电荷分布,类比静电屏蔽和漏电现象,简单说明零点是如何影响相变和超临界区域的,如图6所示。
图6 杨—李零点(LYZ)可类比为无穷长的线电荷,横轴表示系综所受的外场,当系统处于平衡态时仅可取x轴的正半部分 (a)在相变区域,零点均匀分布在一个圆周上,并穿过实轴。此时圆周内外被静电屏蔽,里外物性各不相同且交界处不连续,包括自由能F(类比电势ϕ)、序参量Ω(类比电场强度ϵ)以及响应函数如极化率χ(类比电场强度梯度ϵ′);(b)在超临界区域,零点远离实轴,此时圆周内外发生漏电。远离圆周处物性仍有较大区别,但在边缘零点(edgezero)处连续变化,并产生交汇现象(crossover),响应函数存在极大值,此即为观察到的超临界边界[4]杨—李理论的洞察力不仅超越其时代,甚至还影响了时下量子物理的一些前沿课题。基于演化算符eit·H与配分函数e-βH数学形式上的相似性,Marcus Heyl等人将时间类比为温度β=-it。他们指出,横场伊辛模型的系统在经历淬火时,其洛施密特回波(Loschmidt echo)等物性会在时间轴上呈现出类似热力学相变的突变行为,即动力学量子相变(dynamical quantum phase transition)[39,40]。定义这类新奇相变离不开对杨—李理论的精髓——解析性的理解。此外,零点探测15)在近些年也搭上了实验技术发展的快车。沿续前述我国首个探测工作的思路,美国的Alexander F. Kemper研究组利用中等规模量子计算机装置(包含数十个量子比特),演示了一般性确定多体系统零点的方法[42,43]。该方法具备硬件扩展性,只要量子比特数目继续增多,就能逐渐逼近热力学极限。另外,基于动力学量子相变现象,德国的Klaus Sengstock研究组也提出了不同的思路。他们发现,对光驱动晶体中自旋极化的费米子进行淬火,可在特定条件下诱导出动量空间中动态涡旋(dynamical vortices),而后者对应于系统的零点[44]。这些实验有助于理解零点的物理实在,但相较于杨—李理论蕴含的深刻物理而言,仅见冰山一角,笔者期待实验方面能有更惊艳的突破。
05
总 结
回想大学时代,课堂上那些基础物理学名词总给人一种简单而直观的印象,但很多概念背后隐藏着深奥的物理学原理和丰富的科研内容,需要我们在科研实践中逐步体会。2008年开始,笔者曾对玻恩—奥本海默近似有类似体会,进而基于其与玻恩—黄展开,进行过一些科学研究[45—49]。2020年,另一个科学实践将我们的关注点转移至物质的“态”和“相”。基于这个科学实践,我们开始关注杨—李理论并基于其开展了一些工作[3,4]。
历史的进程在曲折中前进,物质的“态”与“相”亦如此。在第一个阶段,人们通过对物质的存在形式及其转变的关注,逐渐认识到这两个概念的存在。在第二个阶段,铁磁相变及楞次—伊辛模型的求解发挥了关键的作用。而在第三个阶段,杨—李理论阐明了相变的本质,即实际体系的物性作为状态函数的函数解析性的变化。希望通过这个回顾,人们能够更加关注杨—李理论这一瑰宝,加深对物质的“态”与“相”以及“相变”概念的理解,以期未来利用杨—李理论产生更重要的成果。
注:
1)或者叫李—杨理论,1952年杨振宁和李政道两位先生合著的两篇文章为此方面的奠基之作。同年早些时期另有杨先生单独发表的一篇相关文章,奠定了算法的基础。我们会在后续详细介绍这三篇文章的内容。
2)该模型通常被称为伊辛模型,笔者窃以为楞次—伊辛之称更能反映这背后完整的研究历程。楞次并未提供具体的计算过程,这也是尽管经过S. G. Brush等人在《现代物理评论》杂志宣传楞次—伊辛模型后(History of the Lenz-Ising Model, Rev. Mod. Phys.,1967,39:883),大家仍多称伊辛模型的最直接原因。但即使抛开楞次和伊辛的师生传承不谈,实际上该模型两个重要特质也分别来自两者,楞次基于早期量子论理论和晶体实验提出必须考虑离散的磁矩取向,伊辛则给出了相邻格点相互作用的形式并最终完成计算。
3)18世纪80年代,法国学者查理发现在一个特定的压强下改变温度,体积作为温度的函数是一条直线。19世纪初期(约1801、1802年),英国化学家道尔顿、法国科学家盖吕萨克进一步指出,在理想条件下这个曲线的斜率与具体的气体无关。在盖吕萨克的工作中,他引用了之前没有发表的查理的工作。因此,这个定律被后人称为查理定律。
4)在一些教材上看到类似“人们用p-V、V-T、p-T定律推出理想气体状态方程”的论断,其实这三个定律在逻辑上只有两个是独立的。而要想得到理想气体状态方程,必须有个与物质的量有关的条件,也就是阿伏伽德罗定律。
5)这种努力一直持续到20世纪初。1908年,来自荷兰莱顿大学的昂内斯实现了氦气的液化。这不仅为低温物理研究提供了先决条件,也为他几年后发现超导现象奠定了实验技术的基础。
6)当时已经实现液化的分子,普遍临界温度比较高。这样它们在常温、常压下已经液化(比如水,临界点为647.3 K、22.1 MPa,温度高于室温),或者比较容易通过某些操作到达临界点以下的温度,实现气体的液化(比如CO2,临界点为304.1 K、7.4 MPa)。而像H2、O2,因为临界温度比较低,实现液化比较困难。
7)当时能够敏锐地意识到这个问题重要性的科学家并不多,主要包括来自美国的吉布斯、来自英国的麦克斯韦、来自荷兰的理论和实验学家范德瓦耳斯与昂内斯,以及他们分别带领的学术团体。
8)实际上这种早期的定义很难抓住这个词的关键。直到半个多世纪后杨—李理论提出后,才被冠以“函数的解析性”的内在。
9)施特恩等人对此提出了批评。主要问题在于朗之万和外斯的理论相当于以自由转动磁矩为单元的气体理论,且不说低温下气体分子可能早已结晶而凝固,其磁化方向的任意性也与固体的各向异性相违背[15]。事实上,当时物质微观构成尚未解明,汤姆孙和卢瑟福在1897年和1911年分别发现电子和原子核[16,17],朗之万和外斯仅靠猜测就补足微观细节已难能可贵。
10)书名为Dynamik der Kristallgitter,需要说明的是该书是玻恩早期的著作,虽然书名相似,但并不是1954年与黄昆先生一起完成的、我们更熟悉的那本经典著作。
11)原题为“Beitrag zum Verständnis der magnetischen Erscheinungen in festen Körpern”,该文主要研究了磁铁矿(主成分为Fe3O4,空间群是Fd-3m,有四重轴)和黄铁矿(主成分为Fe1-xS,空间群是A2/a,有六重轴)中的磁性。
12)对于铁磁相,楞次有一些初步的想法。他设想相邻磁单元会因为相对取向关系而贡献不同的势能,适应于晶体结构产生定向偏好,进而导致自发极化。但楞次本人从未给出具体的相互作用形式。
13)伊辛于1924年完成博士学位论文[20],题为“Beitrag zur Theorie des Ferro- und Paramagnetismus”,即“对铁磁和顺磁理论的贡献”,但更为世人熟知的是他1925年发表的论文[21]。
14)海森伯几乎是30年代之前唯一注意到伊辛结果的知名物理学家。但他不相信如此简单的伊辛模型竟已能完整刻画铁磁性,转而发展了基于泡利矩阵的、更为复杂的海森伯铁磁模型[22]。再往后也仅有包括泡利、范弗雷克在内少数顶尖物理学家了解伊辛的工作[23,24]。
15)获取零点信息大体上可以分为两类方法:直接探测和间接推断法。其中,后者相对容易实现,可通过实验或分子模拟收集系统信息,加以后期处理计算得到,代表为高阶累积量(high order cumulant)方法[41]和态密度方法(构造近似配分函数并将其直接分解得到零点)[4]。这些方法仍带有数学处理的意味,为更直观表明零点的物理实在,本文中所说的零点探测特指直接探测。
参考文献
[1] 于渌,郝柏林,陈晓松 . 边缘奇迹:相变和临界现象. 北京:科学出版社,2016
[2] 林宗涵 . 热力学与统计物理学,第一版. 北京:北京大学出版社,2007
[3] Ye Q J,Li X Z. Sci. China-Phys. Mech. Astron.,2023,66(2):227212
[4] Ouyang X Y,Ye Q J,Li X Z. 2023,arXiv:2303.16784
[5] de la Tour C. Annales de chimie et de physique,1822,21:178
[6] de la Tour C. Annales de chimie et de physique,1823,22:410
[7] Andrews T. Philos. Trans. R. Soc. (London),1869,159:575
[8] van der Waals J D. On the Continuity of the Gaseous and Liquid States (doctoral dissertation). Universiteit Leiden,1873
[9] Gibbs J W. Trans. Conn. Acad. Arts Sci.,1875—1976,3:108
[10] Gibbs J W. Trans. Conn. Acad. Arts Sci.,1877—1878,3:343
[11] Curie P. Ann. Chim. Phys.,1895,5:289
[12] Weiss P. J. Phys. (Paris),1907,6:667
[13] Langevin P. J. Phys. (Paris),1905,4:678
[14] Langevin P.Ann. Chim. Phys.,1905,5:70
[15] Stern O. Z. Phys.,1920,1:147
[16] Thomson J J. The Electrician,1897,39:104
[17] Rutherford E. Lond. Edinb. Dublin Philos. Mag. J. Sci.,1911,21:125
[18] Born M. Dynamik der Kristallgitter. Leipzig und Berlin:B. G. TeubnerPress,1915
[19] Lenz W. Phys. Z.,1920,21:613
[20] Ising E. PhD Thesis,University of Hamburg,1924
[21] Ising E. Z. Phys.,1925,31:253
[22] Heisenberg W. Z. Phys.,1928,49:619
[23] Pauli W. Les theories quantiques du magnetisme:l'electron magnetique,in Insitut International de Physique Solvay. Paris:Gauthier-Villars,1932
[24] van Vleck J H. The Theory of Electric and Magnetic Susceptibilities. New York:Oxford University Press,1932
[25] Peierls R. Proc. Cambridge Phil. Soc.,1936,32:477
[26] Kramers H A,Wannier G H. Phys. Rev.,1941,60:252
[27] Kramers H A,Wannier G H. Phys. Rev.,1941,60:263
[28] Onsager L. Phys. Rev.,1944,65:117
[29] Kaufman B. Phys. Rev.,1949,76:8
[30] Yang C N. Phys. Rev.,1952,85:808
[31] Yang C N,Lee T D. Phys. Rev.,1952,87:404
[32] Lee T D,Yang C N. Phys. Rev.,1952,87:410
[33] Fisher M E. Lecture in Theoretical Physics,vol. VII C. Boulder:University of Colorado Press,1965
[34] Fisher M E. Rep. Prog. Phys.,1967,30:615
[35] Wilson K G. Rev. Mod. Phys.,1975,47:773
[36] Wilson K G. Rev. Mod. Phys.,1983,55:583
[37] Peng X,Zhou H,Wei B B et al. Phys. Rev. Lett.,2015,114:010601
[38] Wei B B,Liu R B,Yang L. Phys. Rev.Lett.,2012,109:185701
[39] Heyl M. Rep. Prog. Phys.,2018,81:054001
[40] Heyl M,Polkovnikov A,Kehrein S.Phys. Rev. Lett.,2013,110:135704
[41] Brandner K,Maisi V F,Pekola J P et al. Phys. Rev. Lett.,2017,118:180601
[42] Francis A,Zhu D,Alderete C H et al.Science Advances,2021,7:eabf2447
[43] Kuzmak A R,Tkachuk V M. EPL,2019,125:10004
[44] Fläschner N,Vogel D,Tarnowski M et al. Nature Phys.,2018,14:265
[45] Li X Z,Probert M I J,Alavi A et al. Phys. Rev. Lett.,2010,104:066102
[46] Li X Z,Walker B,Michaelides A. Proc. Natl. Acad. Sci. USA,2011,108:6369
[47] Chen J,Li X Z,Zhang Q F et al. Nat.Commun.,2013,4:2064
[48] Zhang X W,Wang E G,Li X Z. Phys. Rev. B,2018,98:134110
[49] Zhu Y C,Yang S,Zeng J X et al. J. Am. Chem. Soc.,2022,144:21356
(参考文献可上下滑动查看)
END
更多精彩文章请点击下面“蓝字”标题查看:中国大学物理教育MOOC联盟2023年工作会议(扩大)暨典型案例交流会 会议纪要花絮︱中国大学物理教育 MOOC 联盟 2023 年工作会议(扩大)暨典型案例交流会准备就绪,静待您来!中国大学物理教育 MOOC 联盟 2023 年工作会议(扩大)暨典型案例交流会即将开幕2023年全国高等学校物理基础课程教育学术研讨会 会议纪要2023 年全国高等学校物理基础课程青年教师讲课比赛在喀什大学举办全国大学物理实验教学对口支援(智力援疆)研讨会在新疆师范大学举办王青教授:理解王中林院士“拓展的麦克斯韦方程组”“碰瓷”麦克斯韦:伽利略协变和洛伦兹协变电磁场论趣谈热点:运动介质洛伦兹协变电磁理论2021年《物理与工程》优秀论文、优秀审稿专家、优秀青年学者名单王青教授:源自苏格拉底的问题驱动式教育——在互动中共同学习和成长读后感:教育中的现实和远方王青教授:昨晚(6月9日),清华电动力学期末考试朱邦芬院士:“减负”误区及我国科学教育面临的挑战《物理与工程》2023年第2期目录乐永康:新冠肺炎疫情防控下美国物理实验教学及中美情况对比顾牡:对于重新制定的《非物理类理工学科大学物理课程教学基本要求》的认识和体会朱邦芬院士:从基础科学班到清华学堂物理班朱邦芬院士:对培养一流拔尖创新人才的思考李学潜教授:物理是一种文化李学潜教授:如何帮助物理系学生迈过从高三到大一这个坎穆良柱:物理课程思政教育的核心是科学认知能力培养穆良柱:什么是物理及物理文化?穆良柱:什么是ETA物理认知模型穆良柱:什么是ETA物理教学法吴国祯教授:我的国外研究生经历印象——应清华大学物理系“基科班20年·学堂班10年纪念活动”而写
陈佳洱,赵凯华,王殖东:面向21世纪,急待重建我国的工科物理教育王亚愚教授:清华物理系本科人才培养理念与实践葛惟昆教授:关于中外人才培养的几点思考安宇教授:为什么传统的课堂讲授模式需要改变安宇教授:其实教学就是积累的过程刘玉鑫教授:关于本科生物理基础课程教学和教材编著的一些思考沈乾若:重创理科教育的美加课程改革Henderson C:美国研究基金支持下的物理教育研究及其对高等物理教育的影响《物理与工程》期刊是专注于物理教育教学研究的学术期刊,是中国科技核心期刊,1981年创刊,欢迎踊跃投稿,期刊投审稿采编平台:
http://gkwl.cbpt.cnki.net
欢迎关注
《物理与工程》微信公众号
原标题:《物质的态与相》
本文为澎湃号作者或机构在澎湃新闻上传并发布,仅代表该作者或机构观点,不代表澎湃新闻的观点或立场,澎湃新闻仅提供信息发布平台。申请澎湃号请用电脑访问http://renzheng.thepaper.cn。





- 报料热线: 021-962866
- 报料邮箱: news@thepaper.cn
互联网新闻信息服务许可证:31120170006
增值电信业务经营许可证:沪B2-2017116
© 2014-2026 上海东方报业有限公司




