- +1
关于二分点进动的一种计算方法
原创 赵强 刘萍 张喆 物理与工程
摘要
本文首先推导出了一个大圆环给处在其环心位置的小圆环的引力力矩公式,然后利用此公式计算出了月亮及太阳给赤道环的合力矩,从而用简洁地方法解释了二分点进动的周期。
关键词 圆环;力矩;赤道环;进动A
Abstract In this paper we first derived a formula of a large circle's gravitational moment toward a small circle positioned on its center. Then based on this formula, the resultant moment from the Sun and the Moon to the equatorial ring is calculated so that we could briefly explain the period of binary precession.
Key words cycle; moment; equatorial ring; precession
地球的自转轴绕轨道平面的垂线进动,进动一周约 26000 年,这一现象在天文学上被称为二分点的进动或岁差。二分点的进动这一现象早在 2000 多年前就被细心的古代天文学家所发现,但不同的教科书对谁是首先发现这一现象的人的讲述并不一致[1-3]。受弗伦奇教授的启发[1],本文试图用一简单的、但还不算太粗糙的方法从动力学角度解释二分点的进动。
从动力学角度来说,地轴之所以会发生进动是由于地球并非是一个严格的球体。在地球的赤道附近有一个凸起的物质带,而且此物质带随地轴有一 23.5°的倾角。月亮和太阳给此凸起物质带的合力矩不为零。正是给这一力矩,使得地轴产生了缓慢的进动。为了求出月亮和太阳给地球的力矩,下面我们先做一些准备工作。
如图1所示,一个半径为r,质量为M的均匀大圆环,其环心在坐标原点 O。在距环心为 b(b
r)的 O′点有一质量为m的质点,此质点受到大圆环的万有引力的大小和方向如何?
图1显然,根据对称性,大圆环给质点m的万有引力的方向只能沿着OO′的方向,即x轴的方向。设dM为大圆环上的一个小质元,dM给质点m的万有引力沿x轴方向的分量为
r,因此有 θ′≈θ。将这关系式及
代入上式,并忽略 2 阶小量 b2,有
积分上式,有
从式(1)可以看出,大圆环对质点m的万有引力与质点偏离圆心的距离 b 成正比,与大圆环半径r的三次方成反比。若b=0,即质点正好在环心,大圆环给质点的合力为零。这一点也可由对称性看出。下面利用式(1)来求一个大圆环M给一个放在其中心的小圆环m的引力力矩。如图2所示,在xy平面中,有一个半径为r,质量为M的大圆环(图中未画出),其环心在原点O。在大圆环中心有一半径为 R(R
r),质量为m的小圆环,小圆环的环心也在原点O。开始,小圆环也在 xy平面上,现让小圆环绕 x 轴转θ角度。其中的虚线为小圆环m的一条垂直于x轴的直径。当小圆环平面在xy平面上时,该直径与y轴重合。当小圆环平面绕x轴转θ角度时,该直径也随小圆环平面绕x轴转θ角度,即与y轴夹角为θ。n为小圆环平面的法方向。在这种情况下,大圆环对小圆环的万有引力将会对原点O产生多大的力矩呢?
图2根据对称性,小圆环所受的合力矩只可能沿x轴,在y轴及z轴上的分量必然为零。因此在计算小圆环上的小质元所受的引力对原点O的力矩时,只须考虑在x轴上的分量即可。如图2所示,在小圆环上选一小质元dm,其中
。dm所对应的矢径在y轴上的分量为b=Rsinφcosθ,此分量b正是小质元dm在y 轴方向偏离原点的距离。所以,根据式(1),质元dm受到的沿y轴方向的分力为
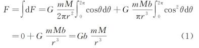
dF对x轴的力矩为
积分上式,可以得到大圆环给小圆环的引力对环心的合力矩,即
式(2)表明小圆环所受的力矩与小圆环的半径R的平方成正比,与小环的质量m成正比。力矩的方向与θ的方向相反,有迫使小圆环平面回到xy平面的趋势。为了书写简洁,本文只考虑τ的数值,不考虑正负号,且将θ限制在 0≤θ≤90°之间。至此,我们的准备工作已全部完成。现在我们来计算月亮和太阳给地球的合力矩。若要直接按力矩的定义来计算月球和太阳给地球的力矩,将会面临两大困难。第一个困难是:月亮和太阳都相对于地球在运动,月亮和太阳在不同的位置给地球的力矩不同,这平均效果如何计算?第二个困难是:赤道附近凸起物的每一个质元相对于月亮及太阳距离和方向都不相同,而且也不存在一个简单的规律,如何去求这无限多个小质元所受力矩的合力矩?弗伦奇教授在他的那本著名的教科书《牛顿力学》中,用一个巧妙的办法完美地解决了第一个困难。现直接引用弗伦奇教授的原文更为恰当:“如我们已经知道的,进动的周期极其之长,因之,从地球的观点来看,在自转轴的方向没有多少改变的一段时间(例如100年)内,太阳和月球都已走了很多圈。在效果上这意味太阳或月球所代表的质量,从地球上看去,是环绕着它的轨道均匀地抹开的。换言之,地球的引力环境就像是有两个物质环那样。”这一等效的假设使问题大为简化,且十分精确。受弗伦奇教授的启发,我们将地球赤道附近这部分凸起物,近似地看成是紧套在地球赤道上且具有相同质量的均匀圆环。不妨将此环称做“赤道环”。有了“赤道环”的假设,我们就可以利用准备工作中的式(2)来计算弗伦奇教授的“月亮环”及“太阳环”给“赤道环”的合力矩,从而避免了求无限个小质元所受力矩的合力矩的麻烦!至此,两个困难均已得到解决。
图3图3为月亮环与赤道环之间的位置关系图。太阳环与赤道环之间也存在类似的关系。假设赤道环的质量为 ΔM,根据式(2),月亮环和太阳环给赤道环的合力矩为
其中,R=6.371×106m 是地球的平均半径,θ=23.5°为地轴的倾角;Mm=7.35×1022kg 及rm=3.84×108m 分别为月亮的质量及地月间距离;Ms=1.99×1030kg 及rs=1.50×1011m 分别为太阳的质量及日地间距离。由式(3)可以看出,月亮环及太阳环给赤道环力矩的相对大小为
地轴的进动方程为
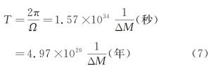
其中,Ω 为地轴进动的角速度,I=0.331MR2 为地球的转动惯量[4],ω=7.29×10-5rad/s 为地球的自转角速度。将式(3)代入式(4),并整理后,有
将式(5)中的符号用具体数值代入,有地轴进动的周期为
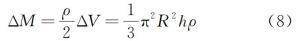
从式(7)可以看出,只要求出赤道环的质量 ΔM,就可求出二分点进动的周期。可赤道环的质量 ΔM 如何求呢?这一点让笔者感到相当棘手。因地球的凸起物在赤道附近更明显,因此作为一个近似,我们暂且认为赤道环的质量可以看做是南纬 30°到北纬 30°之间的凸起物的质量(这也是本文中唯一可能产生较大误差的计算)。赤道半径比极半径大 h=2.1×104m,从南纬 30°到北纬 30°所对应的地球的弧长,因此,赤道环的体积为
根据弗伦奇教授的观点,地表附近物质的密度为地球平均密度 ρ=5.518×10⊃3;kg/m3 的一半[1]。所以赤道环的质量为
将式(9)代入式(7),有
计算出来的结果误差略大,主要原因是地球并非是一个严格的刚体,将地球看成一个刚体是有近似性。最后引用弗伦奇教授的一句话来结束本文是适宜的,那就是:“重要的事情是,用相当简单的方法,我们证实了二分点的进动(岁差)确能用牛顿的动力学原理去理解。”[1]
参考文献
[1]弗伦奇著. A P. 郭敦仁,何成钧译. 牛顿力学 (第三册)[M]. 北京:人民教育出版社,1982:217-223.
[2]MARION J B 编著. 李笙译,杨润殷校. 质点与系统的经典动力学[M]. 北京:高等教育出版社,1985:382.
[3]周衍柏编. 理论力学教程[M]. 1 版. 北京:人民教育出版社,1979:212.
[4]张三慧主编. 大学物理学(第一册)——力学[M]. 北京:清华大学出版社,1990:vii-viii,216.
作者简介: 张喆,女,西安交通大学工程师,主要从事计算机基础教学及智慧城市方向的研究,zzhang03@xjtu.edu.cn。
引文格式: 赵强,刘萍,张喆.关于二分点进动的一种计算方法[J]. 物理与工程,2023,33(3):49-51,56.
Cite this article: ZHAO Q, LIU P, ZHANG Z. A Calculation method of binary precession[J]. Physics and Engineering, 2023, 33(3):49-51,56. (in Chinese)
END
更多精彩文章请点击下面“蓝字”标题查看:中国大学物理教育MOOC联盟2023年工作会议(扩大)暨典型案例交流会 会议纪要花絮︱中国大学物理教育 MOOC 联盟 2023 年工作会议(扩大)暨典型案例交流会准备就绪,静待您来!中国大学物理教育 MOOC 联盟 2023 年工作会议(扩大)暨典型案例交流会即将开幕2023年全国高等学校物理基础课程教育学术研讨会 会议纪要2023 年全国高等学校物理基础课程青年教师讲课比赛在喀什大学举办全国大学物理实验教学对口支援(智力援疆)研讨会在新疆师范大学举办王青教授:理解王中林院士“拓展的麦克斯韦方程组”“碰瓷”麦克斯韦:伽利略协变和洛伦兹协变电磁场论趣谈热点:运动介质洛伦兹协变电磁理论2021年《物理与工程》优秀论文、优秀审稿专家、优秀青年学者名单王青教授:源自苏格拉底的问题驱动式教育——在互动中共同学习和成长读后感:教育中的现实和远方王青教授:昨晚(6月9日),清华电动力学期末考试朱邦芬院士:“减负”误区及我国科学教育面临的挑战《物理与工程》2023年第2期目录乐永康:新冠肺炎疫情防控下美国物理实验教学及中美情况对比顾牡:对于重新制定的《非物理类理工学科大学物理课程教学基本要求》的认识和体会朱邦芬院士:从基础科学班到清华学堂物理班朱邦芬院士:对培养一流拔尖创新人才的思考李学潜教授:物理是一种文化李学潜教授:如何帮助物理系学生迈过从高三到大一这个坎穆良柱:物理课程思政教育的核心是科学认知能力培养穆良柱:什么是物理及物理文化?穆良柱:什么是ETA物理认知模型穆良柱:什么是ETA物理教学法吴国祯教授:我的国外研究生经历印象——应清华大学物理系“基科班20年·学堂班10年纪念活动”而写
陈佳洱,赵凯华,王殖东:面向21世纪,急待重建我国的工科物理教育王亚愚教授:清华物理系本科人才培养理念与实践葛惟昆教授:关于中外人才培养的几点思考安宇教授:为什么传统的课堂讲授模式需要改变安宇教授:其实教学就是积累的过程刘玉鑫教授:关于本科生物理基础课程教学和教材编著的一些思考沈乾若:重创理科教育的美加课程改革Henderson C:美国研究基金支持下的物理教育研究及其对高等物理教育的影响《物理与工程》期刊是专注于物理教育教学研究的学术期刊,是中国科技核心期刊,1981年创刊,欢迎踊跃投稿,期刊投审稿采编平台:
http://gkwl.cbpt.cnki.net
欢迎关注
《物理与工程》微信公众号
继续滑动看下一个轻触阅读原文
物理与工程原标题:《关于二分点进动的一种计算方法》
本文为澎湃号作者或机构在澎湃新闻上传并发布,仅代表该作者或机构观点,不代表澎湃新闻的观点或立场,澎湃新闻仅提供信息发布平台。申请澎湃号请用电脑访问http://renzheng.thepaper.cn。





- 报料热线: 021-962866
- 报料邮箱: news@thepaper.cn
互联网新闻信息服务许可证:31120170006
增值电信业务经营许可证:沪B2-2017116
© 2014-2026 上海东方报业有限公司




