- +1
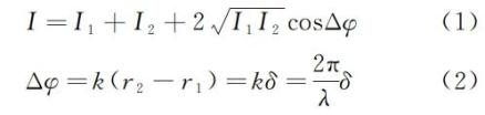
基于Mathematica的杨氏双缝干涉的仿真实验研究
原创 王程 邓王红 等 物理与工程
摘要
以杨氏双缝干涉理论作为基础,利用Mathematica强大的交互式操作和色彩显示功能,通过编程对杨氏双缝干涉现象进行仿真,可以灵活地调节参数,动态地反映干涉条纹随参数的改变而发生变化的过程。本文模拟了改变缝宽、缝和接收屏之间的距离和波长参数及外加因素等,观察到双缝干涉条纹的相应变化,最后成功实现了非单色光双缝干涉图样。利用Mathematica软件仿真典型的光学实验,仿真图像能形象直观地展示光学现象可应用于辅助教学。
关键词Mathematica;杨氏双缝干涉;模拟仿真;交互式操作
AbstractBased on Young's double slit interference theory, using Mathematica's powerful interactive operation and color display function, the Young's double slit interference phenomenon is simulated by programming, which can flexibly adjust the parameters and dynamically reflect the process of interference fringes changing with the change of parameters. In this paper, the change of parameters including slit width, focal length, wavelength and external factors are simulated, and the corresponding changes in double slit interference fringes are observed. Finally, a non-monochromatic light double slit interference pattern is successfully realized. Using Mathematica software to simulate typical optical experiments, the simulated images can visually display optical phenomena and can be applied to auxiliary teaching.
Key wordsMathematica; Youngs double slit interference; simulation; interactive operation
1801 年,托马斯·杨巧妙地设计了一种把单个波阵面分解为两个波阵面以锁定两个波源之间的相位差的方法来研究光的干涉现象,并利用叠加原理解释了干涉现象,在历史上第一次测定了光的波长,为光的波动学说的确立奠定了基础。杨氏双缝干涉实验是大学物理光学实验中的重要实验之一,但该实验需要特定的仪器和场所,且实验参数的改变引起干涉条纹的变化不明显,难以充分展示实验的全部特征,给教学和科学研究带来了许多不便[1]。本文根据杨氏双缝干涉的理论基础,应用Mathematica软件编程,对杨氏双缝干涉进行仿真,从而可以帮助相关人员形象直观地感受光的干涉现象。
1 杨氏双缝干涉实验原理
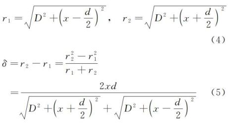
杨氏双缝干涉实验原理如图 1 所示,其中小孔 S 发出球面波,可视为点光源,狭缝 S 1,S 2 到 S 的距离相等。根据惠更斯原理,S 发出球面波传播到狭缝 S 1,S 2所处位置,S 1,S 2 可看成发射子波的新波源,其产生的波在空间相遇,因满足频率相同、振动方向相同、相位差恒定的相干条件,则在叠加处会产生干涉现象,此时在观察屏可以看到明暗相间的条纹分布,这种获得相干光的方法称为分波阵面法[2]。
图 1 杨氏双缝干涉实验原理图图 1 中各物理量含义如下:r 1,r 2 代表两束光的光程;D 代表观察屏与双缝间垂直距离;d 代表双缝间距;x 代表观察屏 P 点坐标,从 S 1,S 2 所发出的光到达 P 点的光程差 δ=r 2-r 1,假设狭缝 S 1,S 2 所发出的光波单独到达 P 点处的光强分别为 I 1,I 2,则 P 点处的光强为
其中,Δφ 为相位差,δ 是光程差,假设 I 1 =I 2 = I0,由于该参数并不影响干涉条纹的分布特征,因此为简单起见,在本次模拟仿真实验中 4I 0 =1,P 点处的光强可简化为当 Δφ =2mπ,即δ =mλ(m=0,±1,…)时,P 点的光强:
,此时为明条纹。当 Δφ =(2m+1)π时,即
时,P 点的光强:I =0,此时为暗条纹。
2杨氏双缝干涉实验精确计算与近似计算的对比[3-5]
由图 1 可知,通过几何关系推导 r2-r1的取值
该式为两束光在 P 点光程差的准确表达式,此时 P 点光强为
式(6)为计算杨氏双缝干射图样的精确公式,式(8)为计算杨氏双缝干射图样的近似公式。文献[6]给出杨氏双缝干涉仿真实验的准确计算公式和近似计算公式图样的对比,证明了准确计算方法和近似计算法在屏与双缝间距远大于缝宽,同时计算的图样在中心的小距离范围内(距离中心的距离也是远小于屏与双缝间距)差异很小,通常情况下可以用近似法代替准确法,也可以用近似公式计算方法解释各参量对干涉图样的影响。本次实验也将两个公式分别作为基本原理进行仿真实验,在双缝间距 d=1mm 和入射波长 λ=632.8nm,缝到屏之间的距离 D=1m一样的条件下,近似公式和准确公式仿真结果如图 2 所示。
图2 近似公式模拟图(a)和准确公式模拟图(b)可以仔细观察图2(a)和图2(b),在近似公式模拟图和准确公式模拟图两者的条纹数量不一致即明暗条纹级数不一致,条纹级次较小时,杨氏双缝干涉准确公式坐标条纹分布和条纹间距与近似算法结果一致;但在条纹级次较大时,条纹间距不能再认为是相等,且随着级次的增大,准确计算与近似计算误差以级次的平方速率增长[5],导致准确公式模拟图与近似公式模拟图慢慢出现了一些差异。通过进一步调整参数,我们会发现,要使用近似公式必须满足
且
,否则就会与真实实验结果存在偏差。因此在本次仿真模拟实验中,我们用式(6)来计算双缝干涉,以保证同真实的实验结论完全一致。
3Mathematica仿真
Mathematica 是一款科学计算软件,很好地结合了数值和符号计算引擎、图形系统、编程语言、文本系统和与其他应用程序的高级连接。在此次模拟仿真中,我们通过 Mathematica 软件使用 Manipulate 命令,得到的输出是一个交互式对象,其中包含一个或多个控件(滑块等),可用于更改一个或多个参数的值。输出非常像一个小程序或小部件,它不仅仅是一个静态结果,它是一个可以与之交互的运行程序。而使用DensityPlot 命令可以画出在指定区间上的密度图,即我们模拟出来的杨氏干涉条纹图样,结合 ColorFunction 命令可以决定其作用于某点的函数值上的颜色,于是借助该命令可以将不同波长的入射光与其产生的干涉条纹的颜色对应起来,这样使得我们的模拟结果非常的精确直观和形象,对于初学光的干涉的同学,认知和理解这部分的内容有着非常大的作用。
接下来,本文将用 Mathematica 软件对采用近似公式计算方法的杨氏双缝干涉进行模拟仿真。如图 3 所示,使用Mathematica建立动态交互式操作界面,将波长,双缝间距, 观察屏与双缝间垂直距离作为可调节的参数,动态模拟随可调参量变化干涉条纹的颜色、间距、宽度等变化过程,分析条纹变化特征,使干涉条纹变化生动形象地展现出来。
图 3 交互式操作模拟界面4 实验仿真中变化
4.1 参数变化的影响效果
实验中有双缝间距 d,缝和接收屏之间的距离 D,入射波长 λ 是可以改变的参数,在交互式窗口中,通过改变上述参数可以得到对应的干涉条纹图样。
首先我们分析双缝间距对干涉条纹的影响, 改变仿真实验中的双缝间距 d 而在缝和接收屏之间的距离 D=20mm,入射波长 λ=632.8nm的条件下的实验结果。如图 4 所示,其中双缝间的距离分别为 d=0.5mm,d=1mm,d=2mm,可以观察到图样的明暗条纹间距以及位置的变化。
图4 双缝间距变化图(a) d=0.5mm;(b) d=1mm;(c) d=2mm
从改变后的结果可以观察出随着双缝间距的增加,明暗条纹的间距在逐渐减小,说明在波长和缝和接收屏之间的距离不变的情况下,明(暗)条纹间距Δx 与双缝间距成反比,周期也在减小,从上述式(9)可以看出是由于光程差增加导致的。
其次我们分析了缝和接受屏之间的距离对干涉条纹的影响,当入射光波长 λ=600nm和双缝间距 d=1mm 的条件时,缝和接收屏之间的距离进行改变可以得到不同情况下的效果。如图 5 所示,其中双缝间的距离分别为 d=0.5mm,d=1mm,d=2mm,可以观察到图样的明暗条纹间距以及位置的变化。
图5 焦距变化图(a) D=10mm;(b) D=20mm; (c) D=40mm
从实验仿真结果来看,随着双缝与接收屏之间的距离的增大,明暗条纹的间距也在增加,条纹的周期也在增加,明(暗)条纹间距 Δx 与缝和接收屏之间的距离成正比,周期也在增加,从表达式中可以知道是光程差减小导致的。
最后我们分析入射波长对干涉条纹的影响,同样,在缝和接收屏之间的距离 D=20mm和双缝间距 d=1mm的情况下,在交互式界面中直接输入不同的波长数值可以得到波长改变后的效果图。如图 6 所示,其中入射光波长 λ 分别为λ=400nm,λ=500nm,λ=623.8nm,可以观察到明暗条纹间距以及条纹位置的变化。
图6 入射波长变化图(a) λ=400nm; (b) λ=500nm; (c)λ=500nm
从实验仿真的实验结果可以直观地看出,不同入射光波长得到干涉图样也有了不同的颜色,这是因为在仿真过程中加入了入射波长与显示出来的颜色之间的相关的函数,能够与之对应,在视觉效果上更加直接和真实。同时也发现,随着波长的增加,明暗条纹之间的间距和条纹数量在增加,周期在增加,说明条明(暗)条纹间距 Δx 与波长成正比。
4.2 其他外加因素的影响
在考虑了干涉实验中的一些内在因素后,本文还可以继续考虑一些能够影响实验的其他实验中常见的因素,比如在缝隙后面加入透明介质玻璃片,改变光源入射位置等。
4.2.1 加入玻璃片后的影响
图7为加入玻璃片后示意图。加入缝隙后的玻璃片的折射率为 n,厚度为 h。
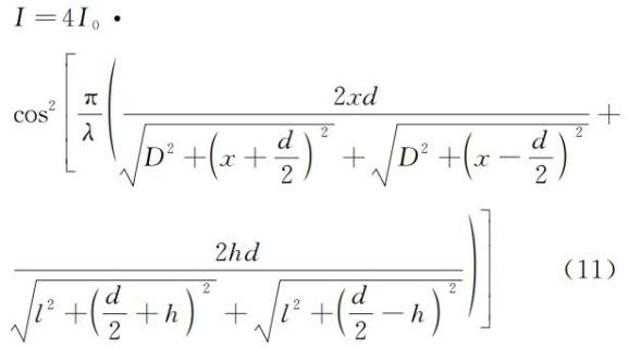
图7 加入玻璃片后示意图加入玻璃片后两束光干涉的过程中光程差会发生变化,则最后光强表达式为
在入射波长 λ=555nm,双缝间距 d=1mm,缝和接收屏之间的距离 D=20mm 以及介质折射率 n=1.5 和厚度 h=5mm 的条件不变的情况下,对加入玻璃片前后实验进行模拟分析,如图8所示。
图8 加玻璃片前(a)和加玻璃片后(b)从加入玻璃片前后的仿真实验结果可以观察到干涉条纹的位置发生了变化,中央亮纹不在 x=0 处,整个条纹平移 1/8 个周期左右,且条纹之间的距离没有发生改变。这是因为加入玻璃片之后两束光之间的光程差发生了改变,从而使得低级次取代原来的高级次,屏上的干涉条纹移动方向向上。如果玻璃片放入下侧光路,我们会观察到屏上的干涉条纹整体向下移动。通过 Mathematica 建立动态交互式操作界面,我们也可以将透明物体的厚度和折射率作为可调节的参数,从而能更好地研究干涉条纹的动态分布特点。
4.2.2 光源移动后的影响
为了更加贴合现实实验中的真实性,本次实验还考虑光源不是处于双缝中间处的情况,即光源在中心处或上或下的位置。因此,光源入射处与水平处会有一定的夹角,会发现干涉光之间的光程差发生变化(图9)。
图9 光源位置改变后示意图而最后的光强表达式为
在入射波长 λ=500nm,双缝间距 d=1mm,缝和接收屏之间的距离 D=20mm 以及 l=1mm,h=0.1mm 的条件不变的情况下,对改变光源位置前后实验进行模拟分析,如图 10 所示。
图10 位置改变前(a)和位置改变后(b)从模拟的结果来看,改变光源位置前后,光程差有一定的改变,明暗条纹之间的间距没有发生改变,只是条纹发生了平移,也就是中心条纹的位置发生了改变,条纹平移了八分之一个周期。同时需要指出的是,在真实的双缝干涉实验装置中,双缝是置于单缝之后的,由于单缝衍射会在空间形成明暗相间的分布,为了得到清晰可见的干涉条纹,我们应使单缝衍射的中央明纹充分覆盖双缝部分,而中央明纹又与单缝缝宽,入射波长等因素有关。本文我们主要讨论双缝干涉,因此仅简化为考虑光源作微小移动后对干涉条纹的影响,而对于实际实验装置所含的单缝衍射因素影响本文未做更多的讨论,关于这部分的仿真模拟将是非常有趣研究,我们计划在后续的研究中考虑。
5 非单色光干涉模拟[7-10]
前面模拟仿真部分都是以某一单色光作为干涉光,为了更加符合实际或增强视觉效果,本次实验还进行了非单色光的模拟,以标准色光三原色——红光(λ=700nm)绿光(λ=546.1nm),蓝光(λ=435.8nm)为干涉光的原光和双缝间距 d=1mm,缝和接收屏之间的距离 D=40mm 的条件下,在 Mathematica 软件运用 ColorSeparate 和 ColorCombine 命令对非单色光进行模拟仿真,结果如图 11 所示。
图11 三色光模拟图从最后模拟结果可以观察到在三原色作为干涉光得到的结果在视觉上比较好,在中心条纹处光线的叠加可以模拟出白光的效果,同时也体现了各种颜色都是三原色相互融合的结果,为实验增添了更多的真实性。除此之外,在仿真过程中双缝间距 d、屏到缝之间的距离 D 都是可以进行调整的,当然本文中展示的是三种波长来模拟,同时也可以进一步的改善来实现对整个可见光光谱的模拟,以此来探索更多的可能性。
6 结语
通过对杨氏双缝实验的原理对模拟所需的光强函数表达式进行推导,得到光强分布公式,在 Mathematica 软件中以此为基本原理进行仿真模拟。在此过程中我们没有做任何近似可适用于任意参数双缝间距d、缝和接收屏之间的距离D、入射波长λ的输入,基于模拟仿真的交互性操作,可视化方法及动态模拟这样就完成了杨氏双缝实验真实过程的完全模拟。如果在输入参数中例如我们满足
且
的条件则可以实现课本中的近似公式的结果。在本文中我们和教科书[10]的近似结果做了比较,也研究了干涉图像和各参数之间的关系,同是我们考虑了非单色光混合后的干涉图像得到了比较理想的结果,这对于拓展物理教学和激发学生兴趣具有一定的意义。
基于在计算机技术的虚拟仿真软件在大学物理实验教学中的作用越来越重要,又在软件上对实验进行模拟大大降低了成本,可以不受实验仪器和实验条件的影响。而计算机的可视化方法可以帮助解决学生对具有挑战性的学科特别是实验理论知识抽象、调试难度大的相关实验的理解有特别的优势,在此过程中可以通过交互操作控制参数进行动态模拟使得真实实验过程进行可视化模拟,这将使学生对一些物理概念有深刻的理解并对相应的学科知识迅速建立起印象深刻的认知体系。
Wolfram Mathematica 语言提供了一种易于理解的编程语言,友好可控的界面以及强大的计算、绘图和动画功能,这也能使得学生也能很容易根据自己的意愿基于计算机的虚拟现实仿真进行自我的生产和创造。从而激发学生的学习兴趣和探究欲望,本文基于对于杨氏双缝干涉的精确计算,使用 Mathematica 软件实现了该实验现象的仿真,呈现了干涉条纹随各种参数变化的规律,并模拟了非单色光双缝干涉图样,本文的结果可在大学物理教学中作为教学参考或用于教学辅助演示,并且对大学物理光学部分的教学形成有益补充。
参考文献
[1]谭毅.杨氏双缝干涉实验的仿真研究[J].实验技术与管理,2012, 29(3): 91-93+190.2012.03.029.
TAN Y. Simulation study of Yangs double-slit interference experiment[J]. Experimental Technology and Management, 2012, 29(3): 91-93+190.2012.03.029. (in Chinese)
[2]赵爽,周哲海,潘晗,等.基于MATLAB的杨氏双缝干涉实验仿真[J].教育教学论坛,2019(33):266-268.
ZHAO S, ZHOU Z H, PAN H, et al. Simulation of Yangs double-slit interference experiment based on MATLAB[J]. Education and Teaching Forum, 2019(33): 266-268. (in Chinese)
[3]刘婷婷,张勇,闫文宇,等.杨氏双缝干涉光程差近似计算问题在教学中的探讨[J].广西物理,2021,42(2):56-58.
LIU T T, ZHANG Y, YAN W Y, et al. Youngs double-slit interference optical path is close discussion on quasi-computational problems in teaching[J]. Guangxi Physics, 2021, 42(2): 56-58. (in Chinese)
[4]陈丽,张登玉,王友文,等.浅谈光学中杨氏双缝干涉实验[J].衡阳师范学院学报,2014,35(6):33-35+177.2014.06.008.
CHEN L, ZHANG D Y, WANG Y W, et al. A brief discussion on Yangs double-slit interference experiment in optics[J]. Journal of Hengyang Normal University, 2014, 35(6): 33-35+177.2014.06.008. (in Chinese)
[5]张勇,牟朝霞,刘存海,等.杨氏双缝干涉光程差近似计算的弱化条件分析[J].海军航空工程学院学报,2020,35(4):345-348.
ZHANG Y, MOU C X, LIU C H, et al. Analysis of weakening conditions for the approximate calculation of the optical path difference of Yangs double-slit interferometer[J]. Journal of Naval Aeronautical and Astronautical Engineering College, 2020, 35(4): 345-348. (in Chinese)
[6]赵利军,毕冬梅,宫彦军.基于VC++6.0的杨氏双缝干涉实验仿真[J].长春大学学报,2020,30(6):28-31.
ZHAO L J, BI D M, GONG Y J. Simulation of Yangs double-slit interference experiment based on VC++6.0[J]. Journal of Changchun University, 2020, 30(6): 28-31. (in Chinese)
[7]蓝海江.利用七色光仿真白光干涉和衍射的典型实验[J].物理教师,2011,32(9):36-37.
LAN H J. A typical experiment of simulating white light interference and diffraction using seven-color light[J]. Physics Teacher, 2011, 32(9): 36-37. (in Chinese)
[8]蓝海江.白光干涉、衍射实验的计算机仿真[J].实验室研究与探索,2009,28(12):16-19.
LAN H J. Computer simulation of white light interference and diffraction experiments[J]. Laboratory Research and Exploration, 2009, 28(12): 16-19. (in Chinese)
[9]李芳菊.基于MATLAB方法的非单色光迈克尔逊干涉研究[J].渭南师范学院学报,2012,27(10):41-43+52.
LI F J. Michelson interference study of non-monochromatic light based on MATLAB method[J]. Journal of Weinan Normal University, 2012, 27(10): 41-43+52. (in Chinese)
[10]梁铨庭.物理光学[M].4版. 北京:电子工业出版社,2012:71-78.
基金项目: 国家自然科学基金(11875178);三峡大学研究基金项目(J2018033)。
作者简介: 孙飞,男,三峡大学讲师,主要从事物理教学和科研工作,研究方向为量子场论,粒子物理与中高能核物理,sunfei@ctgu.edu.cn。
引文格式: 王程,邓王红,孙飞. 基于Mathematica的杨氏双缝干涉的仿真实验研究[J]. 物理与工程,2023,33(3):64-69.
Cite this article: WANG C, DENG W H, SUN F. Study of simulation experiment of Youngs double-slit interference based on Mathematica[J]. Physics and Engineering, 2023, 33(3):64-69. (in Chinese)
END
更多精彩文章请点击下面“蓝字”标题查看:中国大学物理教育MOOC联盟2023年工作会议(扩大)暨典型案例交流会 会议纪要花絮︱中国大学物理教育 MOOC 联盟 2023 年工作会议(扩大)暨典型案例交流会准备就绪,静待您来!中国大学物理教育 MOOC 联盟 2023 年工作会议(扩大)暨典型案例交流会即将开幕2023年全国高等学校物理基础课程教育学术研讨会 会议纪要2023 年全国高等学校物理基础课程青年教师讲课比赛在喀什大学举办全国大学物理实验教学对口支援(智力援疆)研讨会在新疆师范大学举办王青教授:理解王中林院士“拓展的麦克斯韦方程组”“碰瓷”麦克斯韦:伽利略协变和洛伦兹协变电磁场论趣谈热点:运动介质洛伦兹协变电磁理论2021年《物理与工程》优秀论文、优秀审稿专家、优秀青年学者名单王青教授:源自苏格拉底的问题驱动式教育——在互动中共同学习和成长读后感:教育中的现实和远方王青教授:昨晚(6月9日),清华电动力学期末考试朱邦芬院士:“减负”误区及我国科学教育面临的挑战《物理与工程》2023年第2期目录乐永康:新冠肺炎疫情防控下美国物理实验教学及中美情况对比顾牡:对于重新制定的《非物理类理工学科大学物理课程教学基本要求》的认识和体会朱邦芬院士:从基础科学班到清华学堂物理班朱邦芬院士:对培养一流拔尖创新人才的思考李学潜教授:物理是一种文化李学潜教授:如何帮助物理系学生迈过从高三到大一这个坎穆良柱:物理课程思政教育的核心是科学认知能力培养穆良柱:什么是物理及物理文化?穆良柱:什么是ETA物理认知模型穆良柱:什么是ETA物理教学法吴国祯教授:我的国外研究生经历印象——应清华大学物理系“基科班20年·学堂班10年纪念活动”而写
陈佳洱,赵凯华,王殖东:面向21世纪,急待重建我国的工科物理教育王亚愚教授:清华物理系本科人才培养理念与实践葛惟昆教授:关于中外人才培养的几点思考安宇教授:为什么传统的课堂讲授模式需要改变安宇教授:其实教学就是积累的过程刘玉鑫教授:关于本科生物理基础课程教学和教材编著的一些思考沈乾若:重创理科教育的美加课程改革Henderson C:美国研究基金支持下的物理教育研究及其对高等物理教育的影响《物理与工程》期刊是专注于物理教育教学研究的学术期刊,是中国科技核心期刊,1981年创刊,欢迎踊跃投稿,期刊投审稿采编平台:
http://gkwl.cbpt.cnki.net
欢迎关注
《物理与工程》微信公众号
继续滑动看下一个
基于Mathematica的杨氏双缝干涉的仿真实验研究原创 王程 邓王红 等 物理与工程 轻触阅读原文
物理与工程向上滑动看下一个原标题:《基于Mathematica的杨氏双缝干涉的仿真实验研究》
本文为澎湃号作者或机构在澎湃新闻上传并发布,仅代表该作者或机构观点,不代表澎湃新闻的观点或立场,澎湃新闻仅提供信息发布平台。申请澎湃号请用电脑访问http://renzheng.thepaper.cn。





- 报料热线: 021-962866
- 报料邮箱: news@thepaper.cn
互联网新闻信息服务许可证:31120170006
增值电信业务经营许可证:沪B2-2017116
© 2014-2026 上海东方报业有限公司




