- +1
作者解读|用于中国CT血管成像颅内动脉瘤检测的深度学习模型
原创 柳叶刀 柳叶刀TheLancet
《柳叶刀-数字医疗》(The Lancet Digital Health)发表一项南京大学医学院附属金陵医院(东部战区总医院)张龙江教授团队联合徐州医科大学胡春峰教授团队、香港大学俞益洲教授团队和北京深睿人工智能实验室等多家单位合作开展的用于中国CT血管成像颅内动脉瘤检测的深度学习模型研究。研究构建了迄今为止最大的头颅CTA颅内动脉瘤数据库,开发了一个高性能、鲁棒的AI颅内动脉瘤自动化检测模型。
背景
颅内动脉瘤破裂是引起蛛网膜下腔出血的主要原因[1]。CT血管成像(CT angiography,CTA)是一种无创、方便、可靠的动脉瘤检测手段,但由于脑血管系统的复杂性和动脉瘤相对较小的尺寸,临床工作中常出现遗漏或误诊。人工智能(Artificial intelligence,AI)在动脉瘤自动化检测展现出巨大潜力[2]。为推进颅内动脉瘤人工智能检测工具在临床中的应用,必须确立更为严格的验证标准,以充分验证其检测性能和对临床诊断路径的影响[3]。
方法
构建大队列CTA图像数据库进行人工智能模型训练和内部验证。招募中国不同地区15家医院90名放射科医生和30名神经外科医生进行多阶段独立验证,具体流程包括:1)人机对比研究;2)多读者多病例研究;3)开放标签随机对照研究;4)前瞻探索性研究。
结果
研究通过8家医院16,546例CTA数据进行深度学习模型训练和内部验证,通过Global Context Network和Local Fine-grained Network构建动脉瘤检测的级联网络。在内部数据验证中,模型检测颅内动脉瘤的敏感性高达95.7%,假阳性率低至0.27个动脉瘤/例,每个病例处理时间仅为22.2秒。
在外部验证中,团队首先将该AI模型和24名医生的诊断结果进行了对比。基于900例有金标准数字减影血管造影(Digital subtraction angiography,DSA)对照的CTA数据,显示该模型检测动脉瘤的敏感性高达94.3%,假阳性率为0.18个动脉瘤/例,对蛛网膜下腔出血和非蛛网膜下腔出血的病例保持着稳定的诊断敏感性(分别为95.3%和93.9%),均高于医生的诊断敏感性(分别为74.5%和62.1%)(图1)。
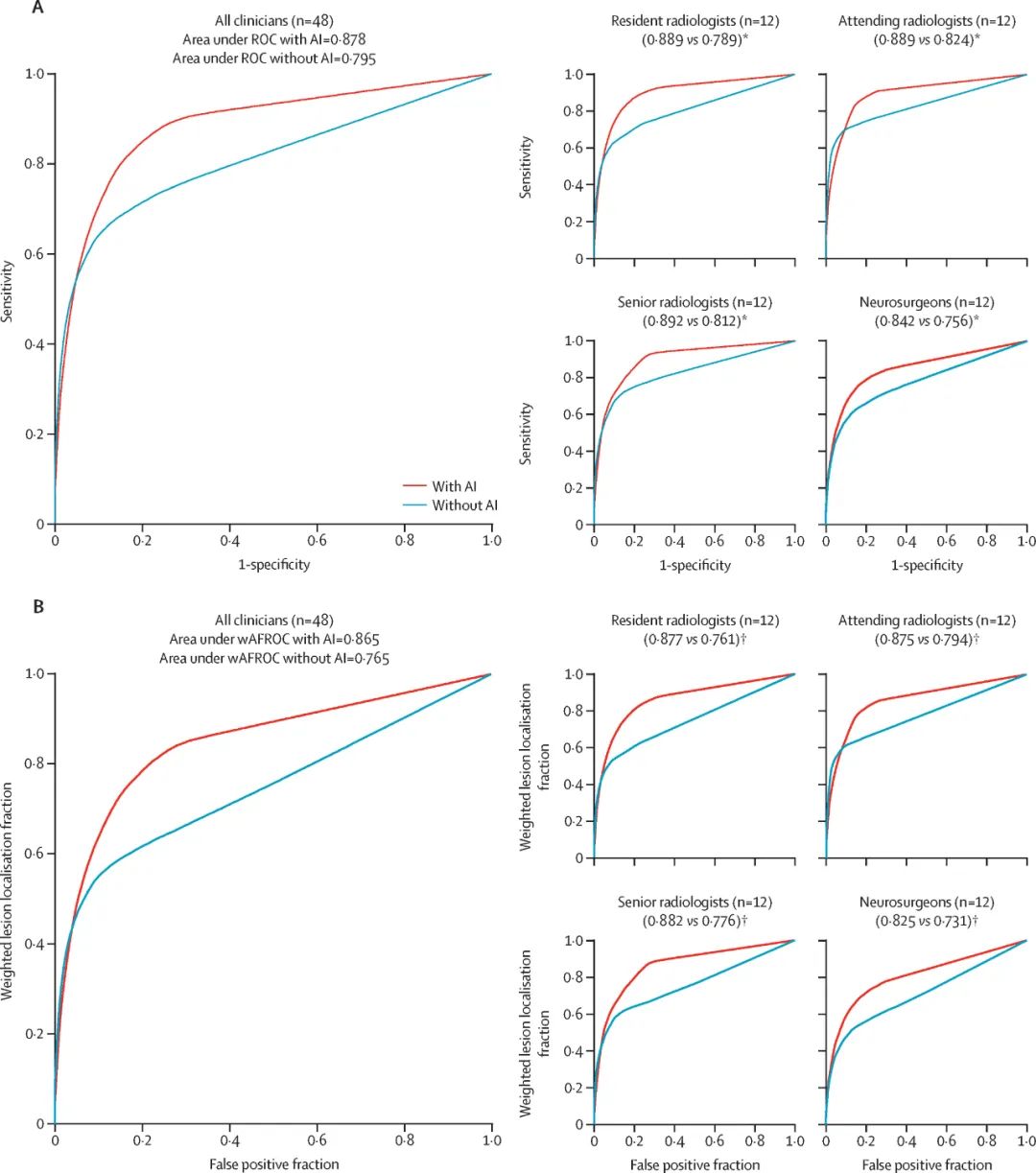
图1 人工智能模型与医生诊断性能对比随后,团队采用多读者多病例(Multi-reader multi-case)研究设计,招募了6家医院36名不同年资放射科医生及12名高年资神经外科医生进行了两轮有/无AI辅助的诊断研究,共产生了28,608条动脉瘤诊断结果。结果显示,AI辅助诊断可显著提高不同医院、年资、专业医生的动脉瘤诊断效能(图2)。模型可显著提高小于5mm颅内动脉瘤的诊断敏感性(对3-5mm颅内动脉瘤的敏感性平均提高25.9%;小于3mm颅内动脉瘤敏感性平均提高31.8%)。该阶段研究覆盖中国东部、中部、西南和西北等6家医院,显示AI辅助诊断可改善不同地域医院对颅内动脉瘤的诊断同质性。
图2 多读者多病例研究结果基于上述研究,团队进一步开展了开放标签随机对照研究,探讨医生对AI模型的使用接受度。基于分层随机化将医生分为AI辅助诊断组和对照组,对298例DSA验证的CTA数据进行诊断阅片。在AI辅助诊断组,AI模型仅作为一个可选工具,不作强制性使用。结果发现,AI辅助诊断组医生在92.6%的诊断结果中使用AI进行辅助诊断,且较对照组更高的诊断敏感性(AI辅助诊断组80.4% vs 对照组66.0%)。
最后,基于该AI模型在中国5家医院进行了前瞻性探索性临床验证,此时AI模型作为“第二读者”参与临床诊断路径。研究结果显示,AI模型可提高放射科医生诊断颅内动脉瘤的敏感性(59.0%提高到82.5%)。AI模型同时表现出卓越的筛查能力,其阴性预测值高达99.8%,检测敏感性高达98.8%。
图3 开放标签随机对照研究和前瞻探索性研究结果解释
本研究构建了迄今为止最大的头颅CTA颅内动脉瘤数据库,开发了一个高性能、鲁棒的AI颅内动脉瘤自动化检测模型。研究结果表明,该AI模型具有高的使用接受度和临床应用潜力,AI辅助诊断可显著提高中国不同地区医院医生对颅内动脉瘤的诊断效能。考虑人工智能工具在临床的进一步转化应用,未来的研究应侧重于AI模型引入标准临床诊疗对患者预后的影响。END
研究团队:本项研究是南京大学医学院附属金陵医院(东部战区总医院)张龙江教授团队联合徐州医科大学胡春峰教授团队、香港大学俞益洲教授团队和北京深睿人工智能实验室等多家单位合作开展。张龙江教授研究团队一直致力于颅内动脉瘤人工智能影像开发与临床应用转化。东部战区总医院胡斌和施昭、徐州医科大学附属医院路莉、连云港市第一人民医院苗重昌、北京深睿人工智能实验室周振和王浩为共同第一作者。南京大学张龙江教授、徐州医科大学胡春峰教授、香港大学俞益洲教授为该论文的资深作者。
项目资助:该研究得到了国家自然科学基金资助
参考文献
1. Claassen J, Park S. Spontaneous subarachnoid haemorrhage. Lancet. 2022;400(10355):846-862.
2. Shi Z, Hu B, Schoepf UJ, et al. Artificial Intelligence in the Management of Intracranial Aneurysms: Current Status and Future Perspectives. AJNR Am J Neuroradiol. 2020;41(3):373-379.
3. Vasey B, Nagendran M, Campbell B, et al. Reporting guideline for the early-stage clinical evaluation of decision support systems driven by artificial intelligence: DECIDE-AI. Nat Med. 2022;28(5):924-933.
Copyright © 2024 The Author(s). Published by Elsevier Ltd.
中文解读由作者团队提供,仅供参考,所有内容以英文原文为准。
本文为澎湃号作者或机构在澎湃新闻上传并发布,仅代表该作者或机构观点,不代表澎湃新闻的观点或立场,澎湃新闻仅提供信息发布平台。申请澎湃号请用电脑访问http://renzheng.thepaper.cn。





- 报料热线: 021-962866
- 报料邮箱: news@thepaper.cn
互联网新闻信息服务许可证:31120170006
增值电信业务经营许可证:沪B2-2017116
© 2014-2026 上海东方报业有限公司




