- +1
研究发现:年轻时养猫,以后患精神分裂症的风险或高2倍以上?
作者 | 一刻君
你养猫吗?
猫咪给予人类的陪伴绝不亚于狗子,“吸猫”“猫奴”等网络用语也代表着人类对猫咪的喜爱,但一项研究发现,养猫可能会使一个人患上精神分裂症相关疾病的风险增加……
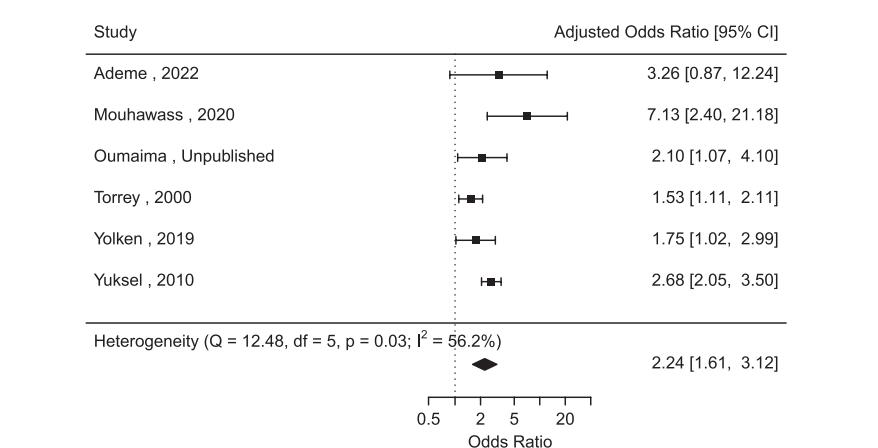
去年12月,澳大利亚昆士兰精神健康研究中心的几位研究员在《精神分裂症通报》(Schizophrenia Bulletin)上发表了一篇论文称,“养猫的人患精神疾病的概率比不养猫的人高2倍以上。”“我们发现养猫与患上精神分裂症相关疾病的概率增加之间存在关联。”
精神科医生约翰·麦格拉思说道。
这一观点可以追溯到1995年的一篇论文,论文中表示,导致这一原因的源头可能和一种名为“弓形虫”的寄生虫(Toxoplasma gondii)有关。
但在当时这篇论文的结论导致了不小的争议,于是多年后的今天,澳大利亚研究人员再次对过去44年中发表的17项研究分别进行了细致的分析,这些研究包含加拿大、法国、英国和美国等11个国家。通过这次的研究发现,与没有接触过猫的人相比,25岁之前养猫的人以后患精神分裂症的风险要高2.35倍(未经调整的比值为2.35,经调整后的比值为2.24)。

弓形虫是一类普遍存在,长度仅有白细胞大小严格细胞内寄生原虫。它的生活周期需两个宿主,中间宿主包括爬虫类、鱼类、昆虫类、哺乳类等动物和人,终宿主则为猫和猫科动物,主要生活在猫的肠道内。
弓形虫不会影响猫的生物功能,但对人类和其他动物而言,它可以穿过血脑屏障引发中枢神经系统损害。这种寄生虫已与人格变化、精神症状的出现以及一些神经系统疾病,包括精神分裂症有关。2015年,荷兰阿姆斯特丹学术医学中心涵盖了以往 50 项研究的回顾性研究表明:
1 弓形虫 IgG 抗体在精神分裂症、双相障碍、强迫障碍及物质成瘾患者中检出比例显著高于健康对照;
2 疾病发作前血清学阳性及血清学水平对于弓形虫与精神分裂症之间的相关性具有显著影响;
3 在控制偏倚后,精神分裂症患者较高的弓形虫感染率仍具有统计学意义。
结论:弓形虫感染与精神分裂症、双相障碍等多种常见精神障碍存在相关性。
值得注意的是,这种寄生虫在全球普遍存在,大概有1/3的人类曾被感染。在美国,约有4000万人可能感染了这种寄生虫,通常没有任何症状。在中国,感染率介于5%至20%之间,某些地区甚至超过30%。
那么弓形虫是如何传播的呢?首先,如果猫被感染,那么它每天排出的粪便中通常会含有数百万个弓形虫卵囊,经过“孵化”具有感染能力,此外如果被已经感染的猫咬伤也会传播弓形虫。这也是为什么猫砂袋上常有提醒孕妇、小孩避免接触猫粪便的标语。
但需要说明一点,这些论文普遍都是相关性的研究,而且研究人员也表示,其中一些研究的样本质量不高,所以不代表养猫就一定会导致精神分裂,只是说二者之间有关联性,不能证明因果关系。
面对这一问题,美国也进行了一次大规模的研究实验,实验涉及354名心理学学生,最终结论表示,养猫与精神分裂型人格得分之间没有联系。然而,那些被猫咬伤的人与未被咬伤的人相比,得分更高。
总之,已经养猫的朋友也无需有太多顾虑,也不必过于紧张,日常避免猫咪食用生肉、每天清理猫砂、做好及时清洁消毒就好。
- END -
原标题:《研究发现:年轻时养猫,以后患精神分裂症的风险或高2倍以上!》
本文为澎湃号作者或机构在澎湃新闻上传并发布,仅代表该作者或机构观点,不代表澎湃新闻的观点或立场,澎湃新闻仅提供信息发布平台。申请澎湃号请用电脑访问http://renzheng.thepaper.cn。





- 报料热线: 021-962866
- 报料邮箱: news@thepaper.cn
互联网新闻信息服务许可证:31120170006
增值电信业务经营许可证:沪B2-2017116
© 2014-2026 上海东方报业有限公司




