- +1
癌症是基因注定的,躲也躲不掉?6种癌症可能会遗传下一代
原创 DrX的医学江湖 DrX说
我们有时会听到“一家人先后得了癌症”“一个家族里出现好几个癌症患者”等新闻,每当看到这些新闻时,难免会忍不住嘀咕:
难道癌症会传染?还是说癌症会遗传?又或者说这世上真的有“短命基因”,被这种基因盯上的人注定无法长寿?
科学家发现“短命基因”,每25人就有1人中招!
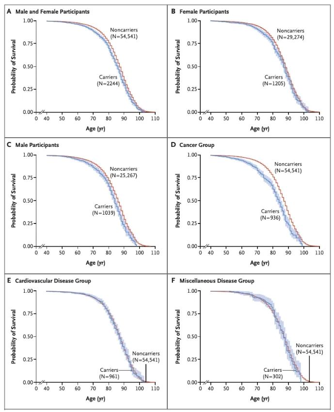
去年底,新英格兰杂志(NEJM)发表的一项研究显示,冰岛人群中的“短命基因”携带者占比高达4%,也就说每25个冰岛人中就有1个人携带“短命基因”,其寿命注定比别人短。
该研究主要来源于2021年5月,美国医学遗传学和基因组学学院(ACMG)发布的建议报道。当时,这份报告显示和心血管、癌症以及代谢等疾病相关的73个致病性或者可能致病性基因突变(简称“可操作基因型”)。研究发现,在57933名受试者中,有2306名(约4%)携带至少一种可操作基因型,并且10%的可操作性基因型携带者在69岁前死亡。
在这其中,癌症相关基因对寿命的影响更大,癌症疾病基因组的可操作基因型携带者比非携带者的中位生存期短3年。另外,研究还确定了7种基因和相应疾病之间的相关性证据,其中就包括和癌症相关的BRCA2、BRCA1、PALB1与MSH6这4种基因。
尤其是携带BRCA2基因和乳腺癌、卵巢癌或胰腺癌的关联性最强。由此我们可以看出,先天基因对多种疾病的发病率,尤其是各类癌症都有着不小的影响,特别是下面这些癌症,更容易受先天基因影响,我们要格外重视。
6种癌症和基因密切相关,一定要小心!
①乳腺癌
乳腺癌有着明显的遗传倾向,尤其是直系亲属间遗传的可能性更大。通常情况下,母亲得了乳腺癌,女儿得乳腺癌的风险要比其他女性高出2-3倍,尤其是家族中有BRCA1和BRCA2基因突变的携带者,遗传风险更高。
建议:有乳腺癌家族史的,最好在30岁左右完善乳腺健康检查,35岁以后进行钼靶摄片,如果发现可疑症状,最好完善超声内镜检查。
②卵巢癌
和乳腺癌类似,卵巢癌很容易受到BRCA1和BRCA2基因突变的影响。
建议:30-35岁就可以开始相关筛查,比如CA-125检查等。
③肺癌
有临床研究显示,肺癌遗传基因中胚系突变和遗传相关,比如体内存在EGFR、RET和BRCA等胚系突变,和负责激活ROS1和RET细胞酶的遗传基因均有可能引发肺癌的发生。
建议:有肺癌家族史的,尤其是长期吸烟人群,建议在体检中完善低剂量胸部CT或胸部X线检查。④结直肠癌
家族性腺瘤性息肉病(FAP)是一种遗传性疾病,如果不干预治疗,几乎肯定会发展成结直肠癌。在确诊肠癌的患者中,约有15%和遗传因素有关。
建议:有结直肠癌家族史的人,最好从40岁开始就要进行预防性筛查,建议一年做1-2次大便潜血检查,必要时可以结合肠镜检查,此外平时要注意饮食健康,尽量避免食用高盐高油食物。
⑤肝癌
如果家人,特别是父母查出肝癌,子女就要高度警惕了。这是因为乙肝病毒的垂直传播,很容易导致肝癌家族性聚集,有数据显示,我国85-90%的肝癌都来自乙肝。特别是携带乙肝病毒的母亲,其后代发生肝癌的风险往往更高。
建议:家里有肝癌患者,其子女如果患有病毒性肝炎,最好每半年做一次肝脏B超和AFP。如果发现不明原因的消瘦、乏力和右侧肋下疼痛等症状,要及时就医检查。平时最好少吃或者不吃发芽的食物,发酵酸菜、豆腐乳等霉腐食物,油炸食物,更不要喝酒,不要乱用药品和保健品。
⑥胃癌
临床上约5-10%的胃癌患者有家族聚集性现象,1-3%存在遗传倾向,尤其是一些携带CDH1基因的人,罹患弥漫性胃癌的风险更是高达80%!
需要注意的是,如果家族中的一代或两代人中,至少有两个人患有胃癌,且其中一人患病时的年龄小于50岁,所有患者都是弥漫型,那这极有可能就是遗传性胃癌!
建议:此类人群平时一定要注意饮食习惯和健康,如果经常出现不明原因的上腹疼痛、胃胀、胃酸和原因不明的消瘦等,要及时就医。40岁以后,最好定期完善胃镜检查。携带癌症基因的人,如何预防癌症发生?
虽说携带致癌基因,但不等于就一定会发展成癌症,但确实会增加罹患癌症的风险。这就要求携带癌症基因的人,平时一定要做好预防措施。
①判断自身患癌风险
这主要分为三个方面,首先看近亲里是否有一人患多种癌症的,或者看是否有多个近亲患癌的;其次是看近亲是否有患罕见癌症的,比如男性患乳腺癌;最后是看年龄,比如家族里是否有近亲在30岁以下患癌的。
当然,也可以通过遗传测试来帮助确定是否携带致癌基因突变,以帮助家庭和个人制定合适的防癌计划。
②定期筛查
癌症的出现不是一蹴而就的,从某种意义上来说癌症属于一种“慢性病”,通常情况下从发病到晚期需要5-20年的时间。而这个时间完全足够让我们向医生咨询家族癌症遗传的相关特征和定期筛查了。
③减少致癌因素
例如尽早接种HPV疫苗和乙肝疫苗等,少接触霉变食物中的黄曲霉素,熏烤类食物中的多环芳烃,腌制类食物中的亚硝酸盐等,避免接触和癌症相关的致癌物质,比如烟草烟雾、有害化学物质和放射性物质等。
④密切监测
本身就携带致癌基因的人,更应该密切监测自己的身体变化,这一点也是最重要的。
虽说携带致癌基因比普通人更容易患癌,但这并不是绝对的,只要我们做好预防和监控,完全可以将癌症的发生风险降低到最低。
原标题:《癌症是基因注定的,躲也躲不掉?提醒:6种癌症可能会遗传下一代》
本文为澎湃号作者或机构在澎湃新闻上传并发布,仅代表该作者或机构观点,不代表澎湃新闻的观点或立场,澎湃新闻仅提供信息发布平台。申请澎湃号请用电脑访问http://renzheng.thepaper.cn。





- 报料热线: 021-962866
- 报料邮箱: news@thepaper.cn
互联网新闻信息服务许可证:31120170006
增值电信业务经营许可证:沪B2-2017116
© 2014-2026 上海东方报业有限公司




