- +1
Nature Medicine:利用DNA甲基化改进女性宫颈癌筛查
原创 生物世界
撰文丨王聪
编辑丨王多鱼
排版丨水成文
宫颈癌筛查是癌症预防中最成功的策略之一。与高HPV疫苗接种覆盖率相结合,宫颈筛查的高普及率是全球最终消除宫颈癌的必要组成部分。基于细胞学的宫颈筛查需要复杂的基础设施、训练有素的工作人员和较短的筛查间隔。对致癌型HPV(HPV16、18、31、33、35、39、45、51、52、56、58、59、66或68)的检测作为一种客观且不受检验者影响的技术,具有高敏感性和对宫颈上皮内瘤变长达十年的保护,这已导致国际指南推荐从以细胞学为基础的筛查过渡到以HPV为基础的筛查。
由于30岁以下女性中HPV的流行率增加导致HPV检测的特异性较低,因此仅建议30岁以上的女性进行HPV筛查。HPV筛查阳性结果需要进行细胞学分流,以便仅将HPV和细胞学阳性女性转诊进行阴道镜检查和活检。例如,在美国,对主要致癌型HPV(HPV16和HPV18)阳性的女性会直接转诊进行阴道镜检查。目前,大多数HPV筛查测试至少能提供部分HPV基因型信息。越来越重视在筛查算法中利用HPV16、HPV18的相关信息,因为这些HPV病毒预示着更高的疾病进展风险。
细胞学检查的敏感度有限且变化较大,已被观察到随着时间的推移而降低。它需要的设备和技术与HPV检测不同,且不适用于自检样本。通过自我采样检测出HPV阳性的患者需要重新接受单独的细胞学样本检测,这可能对参与率产生不利影响。因此,改进筛选HPV阳性女性的策略至关重要。
近日,欧洲转化肿瘤预防和筛查研究所的研究人员在 Nature Medicine 期刊发表了题为:Cervical cancer screening using DNA methylation triage in a real-world population 的研究论文。
该研究在真实世界人群中评估了基于DNA甲基化的WID-qCIN检测结合HPV16/18基因分型对HPV阳性女性进行筛查的预测性能,研究结果支持了WID-qCIN/HPV16/18筛查作为HPV阳性妇女的改进的分诊策略。
早在20年前,该团队就展示了利用来自宫颈区域的非细胞学样本进行宫颈癌(癌前)检测的原理性策略。自那时以来,已开发并应用了几种基于DNA甲基化(DNAme)的标记,主要应用于案例对照研究或少于1000名志愿者的小型队列研究。最近,该团队开发了WID-qCIN检测,评估了人类基因中的三个区域的DNA甲基化:DPP6、RALYL和GSX1。这些区域是从170例CIN3+病例和202例对照的85万个CpG位点的全基因组筛查中选出的。对761例样本进行了初步的试验验证,包括诊断和预测设置。
在这项最新研究中,研究团队优化了WID-qCIN检测,并将其应用于来自瑞典首都地区28017名≥30岁女性(2017年1月1日至3月31日参加筛查)的HPV阳性女性。研究团队评估了WID-qCIN检测与HPV16、HPV18分型相结合的预测性能,以比较其与细胞学检查在对HPV阳性女性进行分诊方面的效果。
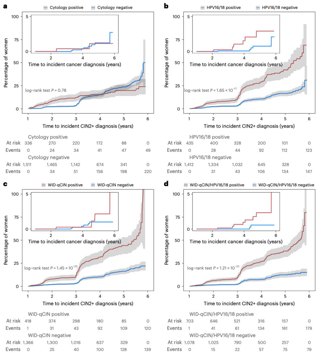
具体来说,在对所有2377例HPV阳性样本的分析中,WID-qCIN(采用预先定义的阈值)与HPV16和/或HPV18(HPV16/18)的组合检测出了93.4%的宫颈上皮内瘤变3级和100%的侵袭性宫颈癌。WID-qCIN/HPV16/18组合预测了69.4%的突发宫颈上皮内瘤变2级或更严重情况,而基于细胞学预测的这一比例仅为18.2%。细胞学检查或WID-qCIN/HPV16/18分层筛查在6年期间分别需要4.1和2.4次阴道镜检查能发现1例宫颈上皮内瘤变2级或更严重病变。
这些发现支持将WID-qCIN/HPV16/18作为一种改进的用于HPV阳性女性的筛查策略。论文链接:
https://www.nature.com/articles/s41591-024-03014-6
本文为澎湃号作者或机构在澎湃新闻上传并发布,仅代表该作者或机构观点,不代表澎湃新闻的观点或立场,澎湃新闻仅提供信息发布平台。申请澎湃号请用电脑访问http://renzheng.thepaper.cn。





- 报料热线: 021-962866
- 报料邮箱: news@thepaper.cn
互联网新闻信息服务许可证:31120170006
增值电信业务经营许可证:沪B2-2017116
© 2014-2026 上海东方报业有限公司




