- +1
五月速览!南大科技领域新进展
2024年5月科技快讯
01
在全球水下三角洲侵蚀风险评估取得重要进展
南京大学地理与海洋科学学院汪亚平教授、高抒教授团队关于在气候变化和人类活动双重压力驱动下的三角洲冲淤状态转换过程的研究取得最新进展,揭示了波浪在水下三角洲侵蚀过程的关键作用,阐明气候变化背景下全球水下三角洲普遍存在的隐性退化风险,为气候变化背景下全球三角洲地貌系统脆弱性评估提供了新手段。
论文链接:
https://www.science.org/doi/10.1126/sciadv.adk1698
江苏北部废黄河三角洲及野外观测站位。图A为黄河历次改道示意图,图B为研究区野外观测站位分布,图C为研究区有效波高(Hs)季节性分布。02
报道计算驱动自组装多肽催化产氢的理性设计研究
南京大学匡亚明学院董昊教授课题组首次报道了基于理性设计的功能性多肽自组装体在室温条件下催化硅烷水解产生氢气的研究工作。借助多尺度理论计算,研究团队预测了一类具有两亲性的七肽能自组装形成纤维结构,并有效催化二甲基苯基硅烷等一系列硅烷的水解反应。后续的湿实验中,通过气相色谱法定量检测氢气生成,实验证实了理论预测的准确性,从而显著扩展了功能性自组装多肽在催化反应中的应用。
论文链接:
https://pubs.acs.org/doi/10.1021/jacs.4c02942
多肽序列、自组装结构及催化反应中心03
提出面向人(脑-眼)机交互的眼动追踪隐形眼镜
南大/南航/省人医 徐飞教授/陆延青教授/陈烨研究员/袁松涛主任团队提出了一种具有眼动追踪功能的隐形眼镜。基于频率编码策略和球面共形的微纳加工制备工艺,该隐形眼镜具有无线无源、轻量无感、柔软安全的特点,能够实现高精度的眼动追踪和眼动命令识别。该隐形眼镜有望在人机交互、眼脑医学诊疗、眼-脑科学研究、心理学研究等领域展开应用。
论文链接:
https://www.nature.com/articles/s41467-024-47851-y
基于隐形眼镜眼动追踪和眼动命令输入的眼机交互系统04
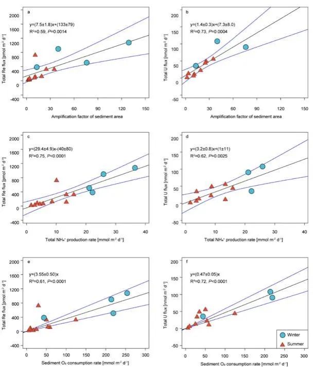
关注海洋中被忽略的陆架流固界面移除铼和铀的关键汇
南京大学地球科学与工程学院陈天宇教授团队的研究结合沉积物孔隙水Re和U浓度测量与放射性同位素224Ra/228Th不平衡,定量研究了长江口及其毗邻的东海陆架沉积物移除Re和U的通量及其主控因素。数据表明沉积物-水界面的动力条件(浸灌作用)是控制陆架沉积物移除海水Re和U通量大小的一级因素,而陆架沉积物移除Re和U的通量与有机物的厌氧分解速率和沉积物耗氧速率存在显著的正相关关系。
论文链接:
https://www.nature.com/articles/s41467-024-48297-y
陆架沉积物Re和U通量与沉积物浸灌作用系数(a, b)、有机碳厌氧分解速率(c、d)和沉积物耗氧速率(e , f)的相关性05
取得城市化水文效应领域重要进展
南京大学地理与海洋科学学院杨龙教授团队对全球1790个内陆城市过去20年间的形态和扩张方式进行聚类,归纳了不同城市形态的城市地区极端降雨频次的变化特征。研究发现,紧凑型城市扩张(即城区高度聚集分布或单中心城市)过程,城市中心极端降雨频次增加更为显著,而离散型城市扩张方式(即多个中心同步扩张)使得极端降雨主要发生在城市周围的郊区。
论文链接:
https://www.nature.com/articles/s41467-024-48533-5
(a)三种城市扩张方式:类型I:城市覆盖度低、城市化速率低、城市布局离散;类型II:城市覆盖度高、城市化速率低、城市布局紧凑;类型III:城市覆盖度低、城市化速率快、城市布局离散。(b-d)降雨异常空间分布。第二种紧凑型城市扩张在城区及附近地区产生了较大的降雨增加;而另外两种增加不明显,其中第三种离散型的快速城市扩张,降雨增加主要集中在郊区。06
发现与胶球性质一致的X(2370)粒子
由南京大学物理学院金山教授为主要参与者的北京正负电子对撞机上北京谱仪III合作组首次测量了X(2370)粒子的自旋宇称量子数,结果为0-+,这一实验结果支持X(2370)粒子是理论上预言的最轻赝标量胶球的解释。该研究为北京正负电子对撞机的实验建造及升级改造做出了重要贡献。
论文链接:
https://journals.aps.org/prl/pdf/10.1103/PhysRevLett.132.181901
J/ψ粒子辐射衰变到X(2370)粒子示意图07
揭示始新世东亚气候水文季节变化
南京大学地理与海洋学院胡镕副教授团队研究揭示中始新世东亚水文气候的季节变化,提供了暖期区域气候水文变化的重要证据。该研究以东秦岭河南卢氏盆地厚层的中始新世湖相镁碳酸盐沉积序列为载体,结合沉积学、古环境以及团簇同位素证据分析镁碳酸盐的成因,创新性地利用镁同位素分馏机理揭示沉积序列中白云石和菱镁矿的形成环境为强降水和强蒸发共存,发现季节性的干湿变化驱动了镁碳酸盐的循环沉淀,促使镁碳酸盐逐年增厚。
论文链接:
http://doi.org/10.1029/2024GL108623
卢氏盆地中始新世湖相沉积序列的矿物、团簇同位素和碳酸盐镁同位素记录08
利用分级组装法制备“2.5D”DNA折纸晶体
南京大学现代工程与应用科学学院田野教授课题组以DNA折纸八面体结构为基础,构建了可定制层数的DNA折纸晶体。DNA 折纸技术作为一种可编程的组装方法,自提出的近二十年中,已成功实现1D、2D、3D晶体的定制。然而对于具有一定层数,介于2D与3D之间的“2.5D”晶体,现有组装方法难以实现对层数的精准控制。该课题组使用两步法分级组装的方式,成功实现了层数可控的“2.5D”DNA折纸晶体的合成。
论文链接:
https://doi.org/10.1002/anie.202402312
两步法分级组装示意图以及对晶体层数(a)、晶体层间距(b)及晶体表面形貌(c)的调控09
高熵策略实现高脱钠态稳定的钠离子电池正极材料
南京大学现代工程与应用科学学院郭少华教授、周豪慎教授团队采用高熵策略针对性促进本征钠离子迁移,提高正极材料高电压区间电化学容量贡献与循环稳定性。研究基于经典模型材料P2-Na0.67MnO2,设计并成功制备P2-Na0.67Mn0.6Cu0.08Ni0.09Fe0.18Ti0.05O2低成本正极材料,首圈充电过程中实现0.61Na深度脱出,充电比容量由92.8 mA h g-1大幅提升至158.1 mA h g-1,同时实现循环寿命的延长与放电电压的提高。
论文链接:
https://doi.org/10.1002/anie.202405620
(a)P2-Na0.67Mn0.6Cu0.08Ni0.09Fe0.18Ti0.05O2和(b)P2-Na0.67MnO2首圈充放电曲线示意图;(c) 10 mA g-1电流密度下循环性能对比图;(d) 线扫EELS测试图;(e) Na+迁移势垒对比图;(f) 不同Na含量晶胞参数对比图。10
提出基于像素化液晶超结构的矢量全息术
南京大学现代工程与应用科学学院马玲玲助理教授、陆延青教授团队和新加坡国立大学仇成伟教授团队联合提出了基于像素化液晶超结构的矢量全息术,该技术采用像素化液晶空间复用结合相位差编码的新思路,仅依靠单层液晶结构,即实现了空间任意光偏振和振幅的独立编码控制,展示了一个宽带高效、多维动态的液晶矢量光学平台。这一突破将促进液晶在下一代光信息技术领域的应用发展。
论文链接:
https://doi.org/10.1186/s43593-024-00061-x
液晶标量全息和液晶矢量全息示意图11
设计基于多价适体的可调DNA纳米结构调节多异受体介导的肿瘤识别
南京大学现代工程与应用科学学院田野教授课题组联合南京大学化学化工学院以及中科院杭州医学研究所,以DNA折纸结构为基础,通过调整适体的种类、价态、模式和折纸几何形状来精确调节靶向肿瘤识别。这种可编程多价系统为精确调节细胞识别与实现个性化肿瘤治疗提供了一个有前途的平台。
论文链接:
https://pubs.acs.org/doi/10.1021/jacs.3c10704
12开发面向二维材料逻辑电路和关联物态调控的新型超离子固态氟化物介电材料
南京大学现代工程与应用科学学院袁洪涛教授团队与合作者们开发出了一系列具有极低扩散势垒的超离子导体氟化物介电薄膜材料,展示了超离子导体电介质的强大的界面电容耦合能力,在系列氟化物体系中获得极高的界面电双层电容耦合(>20 μF cm–2)和极小的栅极漏电流密度(~10−6 A cm–2)等优异介电性能,为开发先进的电子器件应用和调控强关联材料的电子态提供了全新的介电材料平台。
论文链接:
https://www.nature.com/articles/s41565-024-01675-5
氟化物的晶体结构、介电特性和氟离子迁移过程。(a) 稀土金属氟化物的晶体结构以及氟离子通过相邻四面体空隙(左图,T-T 路径)或八面体位点(右图,O-O 路径)的迁移路径。(b) 不同厚度LaF3薄膜的频率依赖的电容耦合。(c) 二元金属氟化物薄膜电容耦合的“元素周期表”。(d) 稀土镧系氟化物的电容值与阳离子半径的依赖关系。(e) 使用金属/氟化物/金属结构测量的氟化物薄膜的漏电流密度与等效氧化物厚度总结。13
研制非常规超导二极管
南京大学电子科学与工程学院吴培亨院士团队的王永磊教授和王华兵教授等设计出了具有空间反演“反对称性”和“反对称性破缺”的磁势场,成功地实现了非常规的超导二极管效应,并展示了产生和调控奇异超导效应的新方法。以上这些发现都表明反对称性和反对称性破缺在探索非常规超导特性中的关键作用,不但为设计新型超导电子学器件提供了新的原理,也是设计和研究其他磁性准粒子(如斯格明子)和电子(设计具有反对称性及其破缺的周期性电势场)系统的新奇非互易效应提供了新的思路。
论文链接:
https://doi.org/10.1021/acs.nanolett.3c05008
14提出诱导肿瘤细胞GD样死亡新策略
南京大学医学院胡一桥教授研究团队发现在戈谢病(GD)患者中,营养的摄入会加速GD细胞的死亡。团队使一种含硼的胆固醇(CholB),与白蛋白非共价结合后形成的LDL样纳米粒(AbCholB)进入肿瘤细胞,发生类似GD的代谢障碍。研究发现,在AbCholB诱导的GD样代谢障碍下,肿瘤细胞mTOR通路对营养感知钝化,处于长期稳定的抑制状态,肿瘤细胞无法感知营养饱和状态,最终被“撑死”。
论文链接:
https://www.nature.com/articles/s41565-024-01668-4
15揭示RNA解旋酶DDX5可作为抗软骨纤维化和降解的分子开关
南京大学生命科学学院孙洋教授、徐强教授团队首次阐明RNA解旋酶DDX5不仅抑制骨关节炎早期软骨退变,还直接阻止了晚期透明软骨的纤维化,该过程是通过选择性剪接和G-四链体解旋双重作用模式所介导,研究人员还借助DDX5基因疗法实现了软骨损伤的逆转。研究为洞悉早期软骨退变及晚期纤维化的分子开关以及干预策略提供了重要的线索和思路。
论文链接:
https://www.nature.com/articles/s43587-024-00624-0
DDX5通过可变剪接和G-四链体解旋双重作用模式阻止透明软骨纤维化和降解的新机制16
实现铁涡相变的直接成像
南京大学电子科学与工程学院吴培亨院士团队王永磊、王华兵教授课题组联合美国洛斯阿拉莫斯实验室Cristiano Nisoli等研究者设计了一种新型的人工纳米磁体阵列-直接笼目型人工自旋冰(direct-kagome artificial-spin-ice),克服了自然材料中难以直接观察到铁涡性(ferrotoroidicity)的局限性,首次在实验上观测到了铁涡相到顺涡相的相变。研究为理解铁涡性和其相变提供了新的视角,而且为开发新型磁性材料和器件,如可重构的混合器件、可编程的磁子学和先进的计算技术,开辟了新的可能性。
论文链接:
https://doi.org/10.1038/s41565-024-01666-6
具有准兼并态的直接笼目型人工自旋冰(a)直接笼目型人工自旋冰几何结构;(b)三个纳米磁体单元形成的两种不同极性的铁涡矩;(c)三角单元之间小磁体的局部耦合;(d)基于能量大小的顶点类型分类,Type I和Type II-α较小的能量差诱导出准兼并态。17
研究多硼手性多重共振热激活延迟荧光材料和器件
南京大学化学化工学院郑佑轩教授和李承辉教授课题组在多硼化CP-MR-TADF材料和CP-OLED研究中取得新进展。通过用位阻较小的二苯胺作为电子给体,给形成多硼结构留有足够的空间,获得了两对含有两个B-OH基团的四硼化本征型轴手性CP-MR-TADF对映体(R/S)-BDBF-BOH和(R/S)-BDBT-BOH。研究结果证明了手性多硼MR-TADF材料的重要性及其在高效CP-OLED中的应用前景。
论文链接:
https://doi.org/10.1002/anie.202407277
多硼CP-MR-TADF分子的设计策略18
提出一种利于植物光合作用的辐射制冷膜
南京大学现代工程与应用科学学院朱嘉教授、朱斌副教授团队与国际地球系统科学研究所/地理与海洋科学学院张永光教授团队深入合作提出了一种利于植物光合作用的辐射制冷膜,可有效地降低环境温度,减少水分蒸发,增强植物在炎热干旱环境下的光合作用。该薄膜由三明治结构组成,可选择性透过光合作用有效光,反射带来额外热效应的光,并能增强自身热辐射能力。该技术将有望解决气候变化中水-粮食-能源关系问题。
论文链接:
https://doi.org/10.1038/s41893-024-01350-6
PRCF的设计与表征19
构建高流动性/高强度双层凝胶电解质赋能超柔无枝晶的纤维状水系锌电池
南京大学现代工程与应用科学学院姚亚刚教授、中科院苏州纳米所张其冲研究员和安阳师范学院李朝威博士提出了限域包覆策略,首次在高曲率纤维电极上构建了具有高流动和高强度功能的双层凝胶电解质,创造性地使纤维电极与凝胶电解质具有稳定的界面,解决了柔性锌离子电池在弯曲和充放电过程中纤维电极与凝胶电解质界面分离的难题。
论文链接:
https://onlinelibrary.wiley.com/doi/full/10.1002/adma.202313772
(a)基于双层凝胶电解质的FAZIB示意图;(b)组装后FAZIB在不同扫描速率下的CV曲线;(c)不同电流密度下FAZIB的GCD曲线;(d)本工作FAZIB的倍率性能;(e)FAZIB的循环特性和库仑效率;(f)FAZIB弯曲状态示意图;(g)FAZIB在不同弯曲角度下的容量;(h)在弯曲下的FAZIB点亮红色LED的照片。20
制备高质量镍基超导薄膜
南京大学现代工程与应用科学学院聂越峰教授课题组结合分子束外延技术与原子氢拓扑还原方法,成功在超高真空条件下制备出具有原子级平整表面的镍基超导薄膜,为进一步研究其电子结构以揭示这类新型高温超导体的超导机理奠定了基础。在本工作中,研究团队通过自主改造原子氢源和搭建高真空还原腔体,将原子氢这一超高真空兼容的强还原剂应用于无限层镍氧化物薄膜的拓扑还原过程。经过系统的实验参数优化,原位制备出高质量的La0.8Sr0.2NiO2超导薄膜。
论文链接:
https://doi.org/10.1002/adma.202401342
(a) 无限层镍氧化物薄膜的原位制备示意图;(b-c) La0.8Sr0.2NiO2薄膜表面形貌及截面样透射电镜表征,显示原位还原样品具有原子级平整洁净的表面。21
研制超导微波频率梳信号源
南京大学电子科学与工程学院超导电子学研究所吴培亨院士团队王永磊和王华兵教授研究团队报道了一种完全集成且直流电驱动的超导微波频率梳信号源,其易于制造和操作,且能耗极低,有望成为片上集成量子芯片的关键信号源,从而推动超导量子科技的发展,是一项拓展超导电子学应用的具有里程碑意义的研究工作。
论文链接:
https://www.nature.com/articles/s41467-024-48224-1
基于超低能耗的片上集成微波频率梳有望实现片上集成的量子芯片
精彩荐读原标题:《五月速览!南大科技领域新进展》
本文为澎湃号作者或机构在澎湃新闻上传并发布,仅代表该作者或机构观点,不代表澎湃新闻的观点或立场,澎湃新闻仅提供信息发布平台。申请澎湃号请用电脑访问http://renzheng.thepaper.cn。





- 报料热线: 021-962866
- 报料邮箱: news@thepaper.cn
互联网新闻信息服务许可证:31120170006
增值电信业务经营许可证:沪B2-2017116
© 2014-2026 上海东方报业有限公司




