- +1
NEJM最新:戒烟10年及以上,死亡率几乎与从未吸烟者无差
原创 Swagpp 梅斯医学
“吸烟有害健康”是人人都懂的道理。不仅有害自己的健康,还会影响到身边被迫吸“二手烟”的亲朋好友。
我国统计数据显示,2023年我国烟民人数超过了3.5亿,而被动吸烟的人口高达7.4亿;而每年因烟草失去生命的高达100多万人,甚至超过了艾滋病、结核病、交通事故以及自杀死亡人数的总和。
当然,全球数据也不容乐观。长期吸烟会损害口腔和肺部健康,导致心脑血管疾病,以及诱发癌症等等;同时还是全球过早死亡的主要原因,造成每年500万-700万人死亡。
在沾染上烟瘾之后,相信烟民们或多或少有过这样的想法,“抽完这根,我就戒烟!”。但戒烟之难难于上青天,戒烟的过程真的太痛苦了,加上其好处无法在短期内直观地感受到,很多人最终放弃了。
但近日,NEJM Evidence上最新刊登的研究让戒烟的好处“具像化”——第一,戒烟好于不戒烟,越早戒烟越好。数据显示,如果40岁之前能成功戒烟并保持约3年时间,女性和男性的死亡风险将分别降低95%和90%。
第二,10年以上戒烟或能“逆转”吸烟危害。无论烟民年纪多大,与持续吸烟的老烟枪相比,不到3年的戒烟就能避免5年的寿命损失;而10年及以上的戒烟则能避免大约10年的寿命损失,使其死亡率接近未吸烟者。
总结来说,戒烟好过不戒,早戒好过晚戒。
DOI: 10.1056/EVIDoa2300272为了得到广泛适用的结果,研究者统计了1974年至2018年期间来自美国、英国、挪威和加拿大四国的148万成年人吸烟情况,年龄覆盖20至79岁。最终,在14.8年的随访期间记录到122,697个死亡案例。
全部受调查者中,男性为“老烟枪”的概率更高。在当前吸烟的男性中,有32.4%为重度吸烟者,每日吸烟根数达20根及以上;而该比例在女性中仅为19.8%。
“点燃香烟的那一刹那,你也点燃了死亡的导火索”。吸烟提升死亡率并非新闻,与从不吸烟的相比,现在仍抽烟的女性参与者的全因死亡风险是前者的2.8倍,而男性约是2.7倍。
具体疾病来看,吸烟会大大增加死于呼吸系统疾病的风险,女性和男性的风险分别升高至7.6倍和6.3倍。其次为血管疾病和癌症,死亡风险约增加2.8-3.1倍。
但值得一提的是,吸烟对于女性的危害更大,女性重度吸烟者的总死亡风险略高于男性。
基础信息情况既然吸烟会大大增加死亡率,那么“迷途知返”后的戒烟还能使健康“重回巅峰”吗?
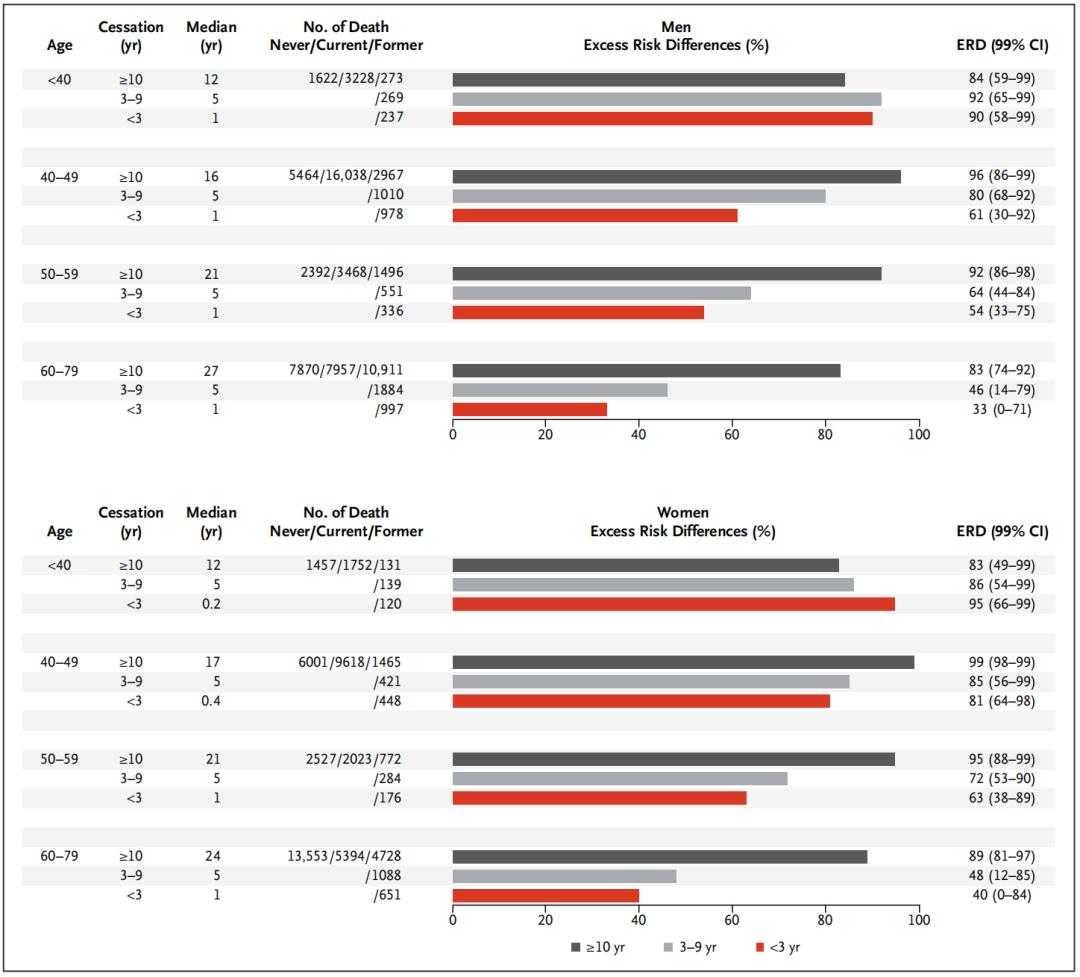
考虑到“复吸”的情况,研究者以“戒烟小于3年”作为衡量戒烟短期益处的可靠指标。
结果显示,40岁及以下短期戒烟,参与者的死亡率接近于从不吸烟者,女性和男性的超额死亡风险分别降低95%和90%。而在50-59岁期间戒烟,女性和男性的超额死亡风险分别降低63%和54%;而到了60-79岁再戒烟,超额死亡风险则降低了40%和33%。
换言之,戒烟戒得早,益处更明显!如果能在40岁之前成功戒烟,仅需3年时间就能使健康回到“巅峰”。
当然,更长时间的戒烟,健康也能更好地“修复”。数据显示,在50-59岁的女性和男性中,戒烟3-9年后的超额死亡风险分别降低72%和64%,该数值高于3年戒烟者;而如果能坚持戒烟10年及以上的话,超额死亡风险将分别降低95%和92%,几乎达到未吸烟者的水平。
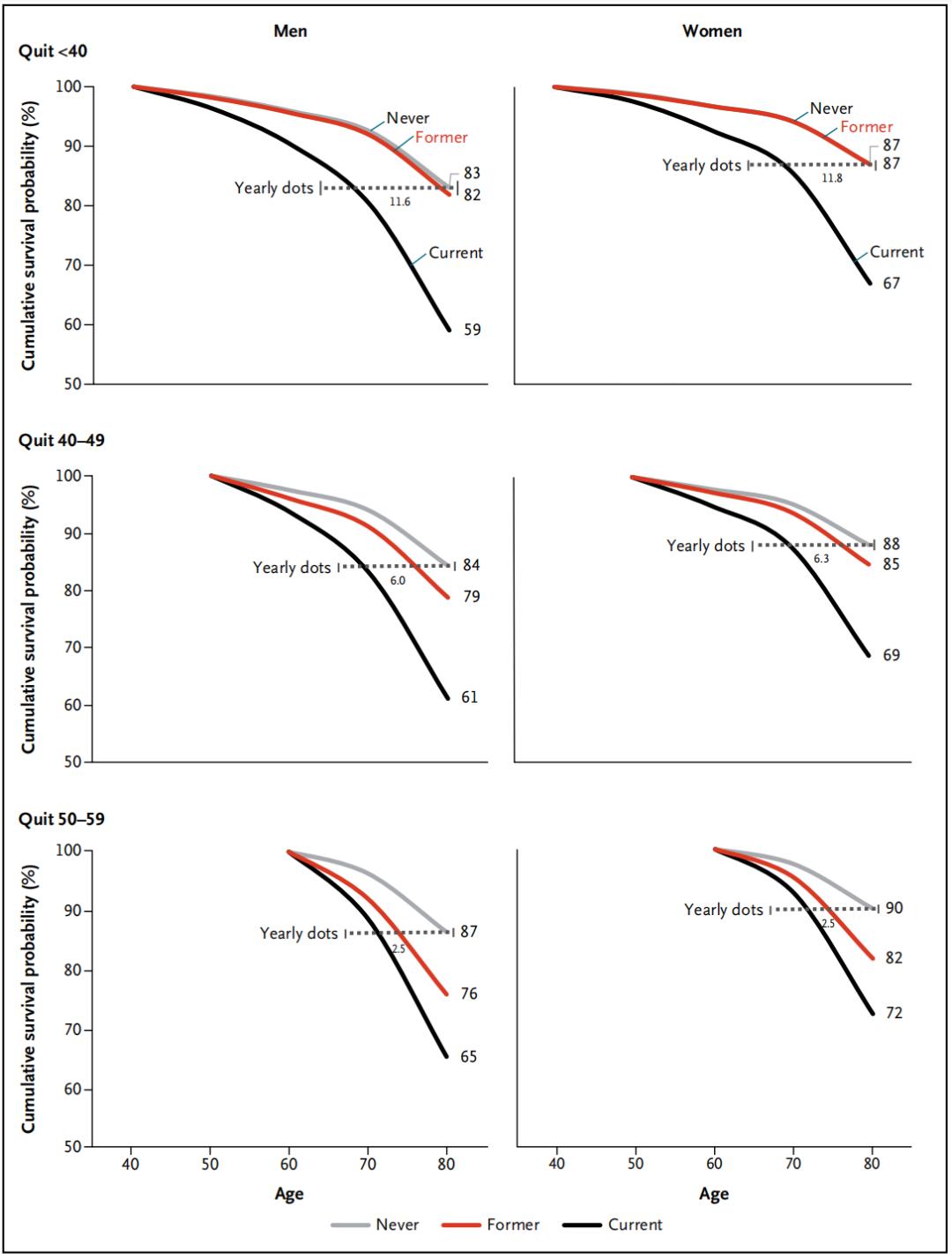
男性/女性在不同年龄段戒烟的超额死亡风险差异戒烟后的生存率数据则更为直观。
在40-79岁的人群中,男性和女性未吸烟者的累积存活率为83%和87%,而男性和女性当前吸烟者的累积存活率则降到59%和67%。这些死亡风险相当于吸烟使得男性和女性分别平均损失了13年和12年的潜在寿命。
从疾病角度来看,对于患有血管疾病的烟民来说,吸烟导致的平均潜在生命损失分别为男性14岁和女性10岁,癌症分别为12岁和12岁,呼吸系统疾病分别为18岁和20岁。
如果能实现短期戒烟(戒烟<3年),则可避免因持续吸烟而损失的约5年寿命;如果能戒烟长达10年及以上,则可以提高8到15年的生存率,接近于从不吸烟者。
与先前的研究结果一致,越早戒烟的效果越好。40岁之前戒烟的存活率最高,可使80岁前的存活率提高12岁;其次是40-49岁左右戒烟,大约提升6岁;在50-59岁戒烟的话,存活率仅能提高2.5岁。
戒烟时的岁数与存活率情况综上所述,何时戒烟都不晚,在任何年龄段戒烟均能有效降低死亡率。但这并非不戒烟的借口,越早、越长时间的戒烟自然越好——如果能在40岁之前成功戒烟,则能使其死亡率接近不吸烟人群;同样,长达10年及以上的戒烟也能使健康状态“回归”。
毫不夸张地说,吸烟对健康是百害而无一利。今天交的烟草税,明天变成医疗费,戒烟应从当下开始!
参考资料:
[1]Cho ER, Brill IK, Gram IT, Brown PE, Jha P. Smoking Cessation and Short- and Longer-Term Mortality. NEJM Evid. 2024 Mar;3(3):EVIDoa2300272. doi: 10.1056/EVIDoa2300272. Epub 2024 Feb 8. PMID: 38329816.
撰文 | Swagpp
编辑 | Swagpp
● ● ● 版权说明:梅斯医学(MedSci)是国内领先的医学科研与学术服务平台,致力于医疗质量的改进,为临床实践提供智慧、精准的决策支持,让医生与患者受益。欢迎个人转发至朋友圈,谢绝媒体或机构未经授权以任何形式转载至其他平台。
本文为澎湃号作者或机构在澎湃新闻上传并发布,仅代表该作者或机构观点,不代表澎湃新闻的观点或立场,澎湃新闻仅提供信息发布平台。申请澎湃号请用电脑访问http://renzheng.thepaper.cn。





- 报料热线: 021-962866
- 报料邮箱: news@thepaper.cn
互联网新闻信息服务许可证:31120170006
增值电信业务经营许可证:沪B2-2017116
© 2014-2026 上海东方报业有限公司




