- +1
均匀带电的无限长直导线电势问题的正规化处理——一个将量子场论概念与方法融入本科教学的例子
原创 高向东 王雯宇 等 物理与工程
摘要
若在基础物理课程的教学中合理融入现代物理学研究的概念与方法,则可使学生更好地理解所学知识的应用价值,从而为更高水平的教学和研究作准备。本文以均匀带电无限长直导线电势的计算为例,探讨了如何在本科二年级的电动力学课程教学中引入和渗透现代量子场论的一些概念和方法。具体内容包括良好的数学定义与病态的数学定义、发散积分的正规化、物理量与非物理量等。本文试图以较为浅显的方式来讲明这些对于本科生来说太过抽象的物理与数学概念,以帮助学生在未来学习量子场论等现代物理内容时更轻松自然地理解并使用其中的思想与方法,并对数学与物理中一些一般性的相关问题有更好的理解。
关键词电动力学;教学案例;发散积分;正规化
AbstractIf the concepts and methods of modern physics research are reasonably integrated into the teaching of basic physics courses, students can better understand the application value of what they have learnt, and thus be prepared for higher level teaching and research. In this paper, we take the calculation of the potential of a uniformly charged infinite-length self-conducting wire as an example, and discuss how to introduce and penetrate some concepts and methods of modern quantum field theory in the teaching of electrodynamics in the second year of undergraduate courses. Specific contents include good mathematical definitions and pathological mathematical definitions, regularisation of divergence integrals, physical quantities and non-physical quantities, and etc. This paper attempts to explain these physics and mathematical concepts that are too abstract for thousands of undergraduate students in a relatively simple way, so as to help students understand and use the ideas and methods more easily and naturally when they study modern physics such as quantum field theory in the future, and to have a better understanding of some general problems related to mathematics and physics.
Key wordselectrodynamics; teaching cases; divergence integrals; regularisation
0 引言
为学生未来进行前沿物理学研究以及工业实践提供理论与技术基础是物理学专业基础课的重要教学目标,但伴随着基础理论与应用技术的快速发展以及学生就业前景的多样化趋势,当前物理类专业基础的本科教学与实际科研活动产生了相当大的距离。本科专业基础课越来越多地转变为学生后续学习与工业实践基础知识的通识课,前沿理论与技术很难直接体现在本科生教学中。在这种背景下,在教学中融入现代前沿物理的概念与方法变得尤为可贵,这一方面能使学生在未来接触这些概念与方法时不会感觉过分突兀,另一方面也能深化学生对物理学的认知。
基于这种理念,我们在本文中以一个简单的例子,即电动力学课程中的“均匀带电无限长直导线的电势”为例,展示如何在教学中把“物理量与非物理量”“良好的数学定义”“发散的正规化”等重要物理概念和解决问题的方法讲明白。这些概念和方法对物理学学生,特别是将来准备从事理论物理研究的学生,理解后续量子场论课程中的正规化重整化等概念以及理论探索研究有一定技术铺垫意义。
本文在结构上作以下安排:首先我们将指出流行教科书在求解这个问题时的不足之处。在第 2 节中我们将以网络上的常见问题“
是否等于 1”为例解释良好与病态数学定义,并以此澄清部分教科书在这一问题上的病态数学定义问题。第 3 节将给出三种不同的发散积分的“良好数学定义”,即正规化方法,并分别求出均匀带电无限长直导线的电势;然后我们分析正规化方案与物理结果之间的关系,帮助学生理解物理量与非物理量的概念区别;最后是全文总结。
1 均匀带电无限长直导线的电势
本文主要要讨论的是电动力学中一道看似简单的习题(由于习题很简单,这里就不画图说明了):
截面积可忽略的无限长直导线上均匀带电,线电荷密度为 τ,试求空间中电势分布。
在经典教材——郭硕鸿先生的《电动力学》中,该习题被当作静电势概念及计算方法讲解的典型例题。很明显,这样一个体系是柱对称的。在柱坐标系下,与直导线距离为 R 处的电势可写为
因此整个问题的核心就是计算这个积分。这里的难点在于这是一个发散积分,即结果为无限大的积分。在郭硕鸿先生的教科书[1],这一积分的结果被写为很显然,把积分的上下限代入公式会得到无限大的电势。接下来教材通过论证计算电势差不会出现为无限大,并计算两点电势差得到一个有限的物理结果。
虽然表面上看,这种处理似乎算出了正确的结果,但是这种处理有两个不当之处。
第一点是量纲错误。在简单函数
中,幂函数、三角函数、指数函数及其反函数等。除幂函数外的其他函数的自变量在物理问题中必须是无量纲的数。这是因为这些函数都可以做幂函数的无限阶展开,因而若自变量有量纲,则我们在做的就是把不同量纲的量加起来,如
这在物理上是荒谬的。在本例题中,z 是长度量纲,不可做 ln 函数的自变量。这里需要无量纲处理。虽然对于有经验的教师与研究人员来说,这是无足轻重的小事,因为最后的物理结果并不会受影响,但对物理规律和定义认识不够深刻的学生来说,这种对量纲的错误使用会造成很大的困扰与迷惑。第二个问题更严重一些,式(2)实际上使用了病态的数学定义,即用到了积分结果在无穷大上限的值(一个无穷大的数)与无穷大下限的值(另一个无穷大的数)的差这种表示。历史上,对无限大的数与无限小的数的理解曾带来了很多困扰。比如说,若使用符号 ∞ 去做计算,诸如 ∞+3 这样的数学表达式其实是没有牢靠的根基的,我们也无法比较两个无限大数到底哪一个更大。形如式(2)这样的表达式跟 ∞+3 一样,都是病态的数学定义。对无限大、无限小这些问题的正确处理需要用基于 ε-δ 语言的极限定义。“极限”是一个良好的数学定义。使用极限概念,我们就可以严格化地定义出问题中的发散,或者说使积分中的发散以显式的形式表现出来。显形之后,就可以作进一步讨论。例如,在 n 趋向于无限时,我们可以讨论 n 与 n⊃2; 的比是什么。
为了更清楚地说明良好的数学定义与病态的数学定义的差别,我们讨论一个经常在网络上被谈及的问题。
2 病态的数学定义与良好的数学定义:0.9999…等于 1 吗?
互联网上常有人讨论“无限循环小数 0.9999…等于 1 吗”这一问题。毫无疑问,二者相等。但为什么很多人感到困扰呢?因为这里使用了病态的数学定义,即 0.9999 后面的……。这些点想要说明的是无穷个 9,这就是困扰之处——这里的省略号没有良好的数学定义。省略号代表着无限步骤的一个操作,不停地添加 9。无限步骤是没法完成的,这里的定义也是含混不清的。给这个无限循环小数一个良好的数学定义,是解决这一问题的关键。
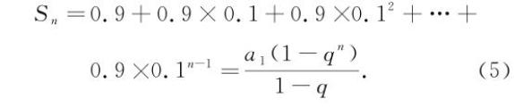
我们可以用基于 ε-δ 语言的极限概念来给 0.9999…一个良好的数学定义。我们用人们熟悉的简便符号
来表示 0.9999…。显然,按其本意,
可以写为一个无穷等比数列(首项 a1=0.9,公比 q=0.1)的和。而无穷等比数列的和可以写为前 n 项和的极限,即可定义
其中
代表等比数列的前 n 项和,这是一个数学意义清晰的表达式。而定义中用到的极限概念也是严格的。这样,我们就把从 0.9999…这个病态定义形式改成了基于 ε-δ 语言的极限定义形式。
计算这个极限,立即有
使用其基于极限的良好数学定义,可以清楚地看到就等于 1。这就是正确定义表达式的重要性。
3 发散积分的正规化
同样地,对于上文讨论的积分,式(1),我们也不能使用含混不清的无限大数来表示,而是要用有严格定义的极限操作来将其表示出来。这种让无限大“显形”出来的操作被称为正规化。需要特别强调的是,正规化操作不是要改变目标积分的结果,而是给发散积分一个严格的数学定义。
原则上,对一个表达式的正规化可有无限多种形式,但在实践中人们只能想出几种。在我们的教学中,我们有必要对几种常用的正规化都进行教学。这样处理的好处是有助于学生们充分理解正规化的任意性,以及物理量的客观性(不同的正规化都给出相同的物理结果)。本文将介绍三种常用的正规化,即有限长度正规化(在另一些问题中,“有限长度”为“有限能量”“有限动量”或有限的其他量,总之这是一种 “截断”方案,将无限积分看作有限积分的极限。这种正规化比较容易想到,因而有时也被称为“简单正规化”。)、泡利维拉斯正规化和维数正规化。
3.1 有限长度正规化
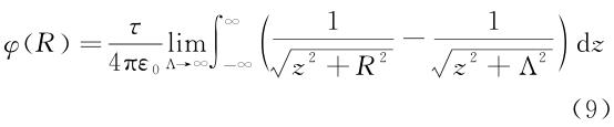
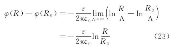
从积分上下限上看,积分式(1)之所以发散,是因为积分上下限为正负无穷。若是有限积分则不会有发散,因此我们将要讨论的电势表达式写成有限长度的积分,再让这有限长度取无穷极限,这样就克服了病态定义的毛病。我们将电势积分写为
以极限定义这个积分的这个操作就是正规化。正规化没有改变表达式本身,它只是将一个病态的数学定义改成了良好的数学定义。这里的“良好”体现在极限操作有良好的数学定义上。
对这个良好定义的积分做计算,我们可得到(可将积分变量 z/R 变换为 tan 函数,则很容易算出积分结果)
虽然这一表达式在极限操作下仍是发散的,但我们可先不取极限。这里计算出来的结果,电势 φ(R),并不是一个物理量(能直接与实验联系起来的量),电势差才是物理量。我们可以在保留极限操作不处理的情况下一直计算到最后,即算出真正要计算的物理量,然后再取极限。正确计算出的物理量应该是不发散的。从这个例子中可以清楚地看到正规化(将发散积分通过取极限方式表示出来)规避了计算结果含混不清的问题,类似于 0.9999……与
的区别。正规化是一种数学操作,主要关注发散的性质;而最终的物理结果是没有发散的,利用正规化的积分结果计算物理量会算出正确的物理结果。
除这种直接能想到的简单正规化外,人们还发现了其他可能更为方便或有其他好处的正规化方案,如泡利维拉斯正规化和维数正规化。
3.2 泡利维拉斯正规化
不同于有限长度正规化,泡利维拉斯正规化把关注点放在了被积函数而不是积分上下限。被积函数的形状造成了积分结果(取上下限时)的发散。因此,若在被积函数上减去相同的极限下(被积变量的极限)发散项,则积分结果将给出有限结果。但是,由于正规化不是把一个积分变成另一个积分,我们必须保证积分结果不能变化,因而新加的减除项在一个额外引入的常数的极限下必须为零。这样的处理理念带来的正规化方案被称为泡利维拉斯正规化[2]。
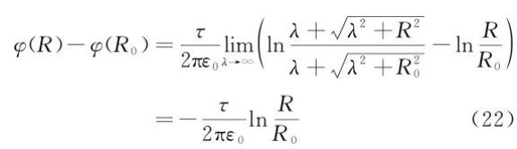
按泡利维拉斯正规化的想法,我们所讨论的积分可被正规化为
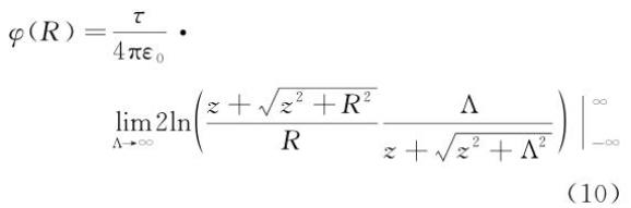
从被积函数上看,当对常数 Λ 取无限大极限,第二项的贡献就为零,因此没有改变积分本身。而计算这个积分将得到一个被表示成 Λ 极限的表达式。如前,将积分变量 z/R 变换为 tan 函数,我们得到
以极限的方式代入上下限,得到发散被取极限操作以 lnR/Λ 的形式显形出来了。
3.3 维数正规化
仔细分析就会发现,有限长度正规化破坏了问题中的对称性(柱对称性);而泡利维拉斯正规化需要对被积函数进行操作,这使得很难将其推广到更复杂的问题中(如被积函数项数很多或较为复杂)。那么有没有不具有这些缺点的正规化方法呢?从积分本身分析,维数正规化是另外一种非常优异的正规化方法。我们知道积分总是由积分上下限、被积函数以及积分微元(这里的 dz)三部分构成。从积分上下限上想办法就是有限长度正规化,从被积函数上想办法就是泡利维拉斯正规化,维数正规化是从积分微元上进行正规化处理的方案。
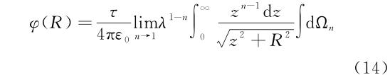
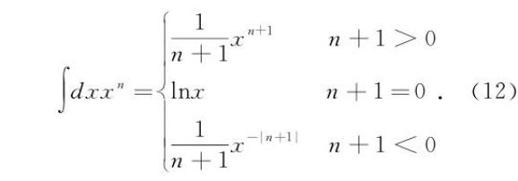
积分式(1)之所以有发散,是因为整个积分式(被积函数与积分微元)的分子与分母的幂次一样,因此在无穷上下限下产生了对数发散。形式上看,当被积函数是一个幂函数时(如 xn),有如下不定积分结果
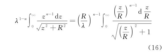
很明显,若计算的是无穷定积分,则取上下限后,结果分别为幂律发散、对数发散和有限。因此,只要改变分子与分母的幂次,就可以使积分形式上有限(取极限后仍发散)。基于这种想法的正规化是维数正规化[3]。维数正规化改变积分微元的幂次,使得积分有限。对于积分式(1),我们可以将其维数正规化为
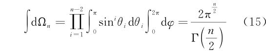
注意这里的 λ 是我们为了保持等式两边量纲相同而引入的具有长度量纲的常数,若我们计算正确,物理结果中将不含这一人为引入的常数。这里的 dnz 代表着正在处理的是 n 维空间的积分。看起来一个一维积分被写成了复杂的 n 维积分,似乎自找没趣,但实际上我们得到的好处。利用维数正规化,我们在保持了问题的对称性且不需要修改被积函数的情况下就正规化了发散积分。这里的 n 维积分是直角坐标系的积分。由于被积函数具有球对称性(只是球坐标系下径向变量的函数),因而我们最好在球坐标系下完成积分。在球坐标系下,该积分为 n 维立体角的积分和径向部分的积分之积,即
其中
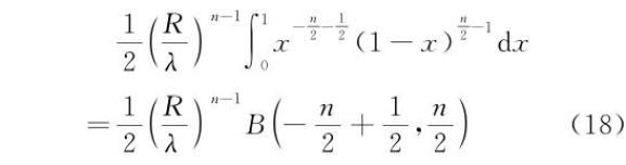
为 n 维球的立体角积分。在计算中,通过简单的三角函数变换可以将极角部分的积分变为第一类欧拉积分(B 函数),其可用第二类欧拉积分(Γ 函数)表示出来(在电动力学的教学中引入第一和第二类欧拉积分是比较恰当的,因为它们是最简单的特殊函数。通常情况下,学生第一次接触特殊函数就是比较复杂的勒让德函数,这使得同学对特殊函数有一定心理阴影。在我们的教学中引入简单的特殊函数,也有助于学生在后续的学习中不那么害怕勒让德函数和合流超几何函数等。),因而就得到了上面的积分结果(参见附录)。而径向部分的积分
也可以通过变量变换变为 B 函数,即令则径向积分变为
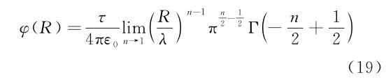
将立体角与径向积分结合起来,并利用B函数与Γ函数的关系,最后得到电势为
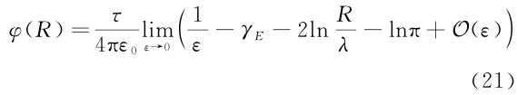
为更好显示发散,令,则
将 Γ 函数按小量 ε 展开,得到
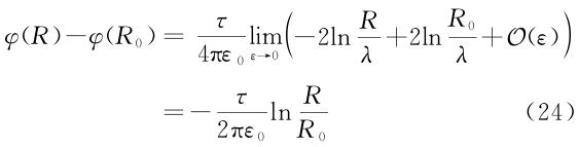
其中 γE=0.577216…为欧拉常数。这就是维数正规化下的结果。同样,这里我们也将发散分离了出来,并且以 1/ε 的形式展现了自己。这里需要指出的是,λ 是我们为了保持量纲而引入的常数,物理结果应不依赖于这一常数。常数 λ 的消除可以作为结果正确性的一种检验方式。三种不同的正规化方案以不同的形式展示了发散,但真实的物理结果应该是唯一的,与正规化方案无关。这里的不同源于所计算的电势乃是一个非物理量,电势差才是能带来可观测结果的物理量。
4 物理量与非物理量
物理学中常常需要引入一些非物理量以便于处理问题或构造理论。比如,人们总是在保守力系统中定义“势”,但势本身没有物理效应,势的零点可以任意取,而势差才有物理效果,才是物理量。人们在牛顿引力理论、电磁学中引入的势,就是一个非物理量。人们可以计算势,但没办法将其与实验现象联系起来。势差则是一个物理量,具有可观测效应,如重力势差将使物体掉落。在现代物理,尤其是量子理论中,对非物理量的使用则更为常见。非物理量可以有不合理的计算结果,如无限大。但是只要那些能够直接从实验数据中抽取出来的物理量,能够有合理的计算结果,物理理论就可能是对的。
有了这样的观念,我们来看本文中讨论的电势。前面计算得到的都是非物理量电势。物理量电势差是两个不同点电势的差。定义R0处电势为某个常数,不同正规化方案下的电势差分别为:
有限长度正规化:
泡利维拉斯正规化:
维数正规化:
很明显,无论采用哪种正规化去计算身为物理量的电势差,最终的结果都是一样的。并且,我们的结果并没有依赖于我们在计算的中间过程中引入的常数,如在维数正规化方案里引入的λ。这正是我们需要的结果。5 总结
本文建议,在本科生专业基础课的教学中通过合适的方式引入或者渗透一些现代物理研究中的概念和方法,为学生后续进行更高水平的学习和实践作知识和思维方法的准备。因此,我们以均匀带电无限长直导线的电势为例,展示了如何将正规化概念引入本科生电动力学的教学中来。通过
这个简单网络趣味问题让学生直观地理解良好与病态数学定义的区别,帮助学生理解将发散积分写成有良好定义的形式即正规化操作的必要性。本文介绍了针对这个问题的三种不同正规化方案并给出了具体的正规化积分表达表达式。最后的结果显示,虽然电势本身在不同正规化方案下的形式各不相同,但电势差总是一样的。这一结果可帮助学生理解物理量与非物理量的区别。
附录
第一类欧拉积分(B 函数)的定义为[4]
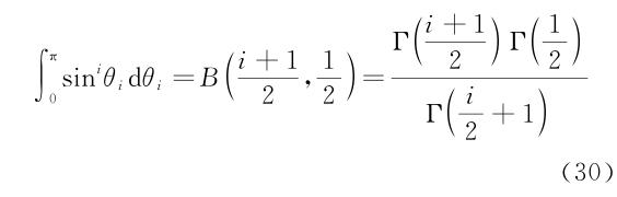
计算 n 维球的立体角时遇到的极角积分可通过三角函数关系写成 B 函数,即令
再令 cos2θi=x,并考虑到偶函数对称区间积分的性质,可将积分化简为
B 函数可以用第一类欧拉积分(Γ 函数)表示出来。
Γ 函数是阶乘的解析延拓,定义为
直接计算可证明如下关系式:
利用这一关系,n 维球的极角积分可表示为
其中可由定义式直接算出。利用此式可得到 n 维球的立体角为
参考文献[1]郭硕鸿.电动力学[M].3版.北京:高等教育出版社,2008.
[2]PAULI W,VILLARS F. On the Invariant regularization in relativistic quantum theory[J]. Rev.Mod.Phys., 1949, 21: 434-444.
[3]‘t Hooft G, VELTMAN M J G. Regularization and renormalization of gauge fields[J]. Nucl.Phys.B, 1972, 44: 189-213.
[4]叶其孝,沈永欢.实用数学手册[M].2版.北京:科学出版社,2006.
END
更多精彩文章请点击下面“蓝字”标题查看:CALL FOR PAPERS|《物理与工程》征稿量子世纪年乌云里的常数——4.14话h2024年全国高等学校物理基础课程教育学术研讨会 征稿通知2024年全国高等学校物理基础课程教育学术研讨会 第二轮会议通知中国大学物理教育MOOC联盟2023年工作会议(扩大)暨典型案例交流会 会议纪要2023年全国高等学校物理基础课程教育学术研讨会 会议纪要2023 年全国高等学校物理基础课程青年教师讲课比赛在喀什大学举办全国大学物理实验教学对口支援(智力援疆)研讨会在新疆师范大学举办王青教授:理解王中林院士“拓展的麦克斯韦方程组”“碰瓷”麦克斯韦:伽利略协变和洛伦兹协变电磁场论趣谈热点:运动介质洛伦兹协变电磁理论2021年《物理与工程》优秀论文、优秀审稿专家、优秀青年学者名单王青教授:源自苏格拉底的问题驱动式教育——在互动中共同学习和成长读后感:教育中的现实和远方王青教授:昨晚(6月9日),清华电动力学期末考试朱邦芬院士:“减负”误区及我国科学教育面临的挑战《物理与工程》2023年第6期目录乐永康:新冠肺炎疫情防控下美国物理实验教学及中美情况对比顾牡:对于重新制定的《非物理类理工学科大学物理课程教学基本要求》的认识和体会朱邦芬院士:从基础科学班到清华学堂物理班朱邦芬院士:对培养一流拔尖创新人才的思考李学潜教授:物理是一种文化李学潜教授:如何帮助物理系学生迈过从高三到大一这个坎穆良柱:物理课程思政教育的核心是科学认知能力培养穆良柱:什么是物理及物理文化?穆良柱:什么是ETA物理认知模型穆良柱:什么是ETA物理教学法吴国祯教授:我的国外研究生经历印象——应清华大学物理系“基科班20年·学堂班10年纪念活动”而写
陈佳洱,赵凯华,王殖东:面向21世纪,急待重建我国的工科物理教育王亚愚教授:清华物理系本科人才培养理念与实践葛惟昆教授:关于中外人才培养的几点思考安宇教授:为什么传统的课堂讲授模式需要改变安宇教授:其实教学就是积累的过程刘玉鑫教授:关于本科生物理基础课程教学和教材编著的一些思考沈乾若:重创理科教育的美加课程改革Henderson C:美国研究基金支持下的物理教育研究及其对高等物理教育的影响《物理与工程》期刊是专注于物理教育教学研究的学术期刊,是中国科技核心期刊,1981年创刊,欢迎踊跃投稿,期刊投审稿采编平台:
http://gkwl.cbpt.cnki.net
欢迎关注
《物理与工程》微信公众号
继续滑动看下一个轻触阅读原文
物理与工程向上滑动看下一个原标题:《均匀带电的无限长直导线电势问题的正规化处理——一个将量子场论概念与方法融入本科教学的例子》
本文为澎湃号作者或机构在澎湃新闻上传并发布,仅代表该作者或机构观点,不代表澎湃新闻的观点或立场,澎湃新闻仅提供信息发布平台。申请澎湃号请用电脑访问http://renzheng.thepaper.cn。





- 报料热线: 021-962866
- 报料邮箱: news@thepaper.cn
互联网新闻信息服务许可证:31120170006
增值电信业务经营许可证:沪B2-2017116
© 2014-2026 上海东方报业有限公司




