- +1
当心AI给你“洗脑”!MIT最新研究:大模型成功给人类植入错误记忆,马库斯:太可怕
叨乐 发自 凹非寺
量子位 | 公众号 QbitAI
AI竟然可以反过来“训练”人类了!(震惊.jpg)
MIT的最新研究模拟了犯罪证人访谈,结果发现大模型能够有效诱导“证人”产生虚假记忆,并且效果明显优于其他方法。

网友辣评:
仔细想想,AI诱导人类产生虚假记忆,这个现象其实在我们生活中已经出现了!

还有网友说:
我觉得还挺有意思的!有种《2077》的既视感~

而马库斯的观点也还是一如既往的悲观:
这种发展趋势也太可怕了!

AI如何“训练”人类
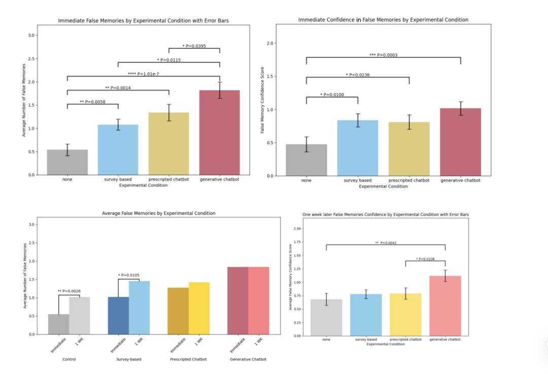
为了研究大模型对人类记忆的影响,团队找来了200位志愿者,并把他们平分成4个组:
控制变量组:志愿者直接回答问题,没有任何干预。
调查问卷组:志愿者填写一份调查问卷,其中5个为误导性问题。
预先编写的聊天机器人组:志愿者与一个预先编写的聊天机器人互动,机器人询问与调查问卷相同的问题。
AI警察组:志愿者与一个大模型进行互动。
规定每组人看完视频后都要回答25个问题(其中5个为误导性问题),来评估他们的正确记忆和虚假记忆的形成情况。

一周后,再让这些志愿者回答相关问题,并将两次的调查结果进行对比。
最终的对比数据表明,AI警察组的这个方法比其他组的方法更有效。
这一切都是因为它能够根据志愿者的回答,提供即时反馈和正面强化。这种互动方式可以让志愿者更容易接受错误的信息,从而增强虚假记忆的形成。
例如,当志愿者错误地回答问题时,AI警察可能会肯定错误的细节并给予积极的反馈,进一步巩固了这些错误记忆。
除此之外,AI警察还会设计出具有误导性的提问,诱导志愿者回忆错误的细节。
例如,AI警察可能会询问“抢劫者是否开车到达商店”,而实际上抢劫者是步行到达的。这种误导性问题直接影响了志愿者的记忆重构过程。

什么AI更容易“训练”人类?
实验中,大模型成功“训练”了人类。
实验结果表明:AI警察组诱导的虚假记忆,大概是控制变量组的3倍,而且比调查问卷组和预先编写的聊天机器人组分别高出1.7倍和1.4倍。
不仅如此,AI警察和志愿者的所有互动都提高了他们对虚假记忆的信心,信心水平是控制变量组的两倍。
就算是过了一周的时间,那些和AI警察聊过天的志愿者还是把这些虚假记忆记得清清楚楚,植入的记忆持久性很强。

研究人员还发现,实验中对大模型不太熟悉但对AI技术较为熟悉的志愿者,和对犯罪调查感兴趣的志愿者,更容易受到虚假记忆的影响,个体差异在虚假记忆的形成中的重要作用。
他们还强调,人类的记忆并不是一个简单的回放过程,而是一个构建性过程,容易受到外部信息的影响。
大模型通过引入错误信息,利用这一特性来改变用户的记忆,植入新的记忆,从而使其相信虚假的细节。
参考链接:https://www.media.mit.edu/projects/ai-false-memories/overview/
论文地址:https://arxiv.org/pdf/2408.04681
项目地址:https://github.com/mitmedialab/ai-false-memories/tree/main
— 完 —
本文为澎湃号作者或机构在澎湃新闻上传并发布,仅代表该作者或机构观点,不代表澎湃新闻的观点或立场,澎湃新闻仅提供信息发布平台。申请澎湃号请用电脑访问http://renzheng.thepaper.cn。





- 报料热线: 021-962866
- 报料邮箱: news@thepaper.cn
互联网新闻信息服务许可证:31120170006
增值电信业务经营许可证:沪B2-2017116
© 2014-2025 上海东方报业有限公司




