- +1
身份证最后一位是X的人,受了多少苦?
原创 欧剃 果壳
“为啥我的身份证号码最后有个叉?我看大家的都是数字啊。是不是因为我特别厉害?X战警!”
家里的“神兽”忽然指着户口簿上自己身份证号的X,发出了一连串的疑问。看着孩子这么开心,我真不忍心告诉他这个X会带来多少小麻烦。
社交网站上,“X之人”诉说着X之痛丨微博到网上随便搜一搜,就能发现有很多“X之人”对默认密码的抱怨。对于身份证尾号是数字的大部分朋友来说,“后六位”作为各种账号、证件的初始密码是一件习以为常的事。但对于身份证尾号是X的“天选之子”就没那么简单了。
不仅不同系统要求X的大小写不一样,有的甚至把“X之人”的初始密码设置成去除X后再向前顺推一位……这谁能一次性输入正确啊!
“X之人”:要不然你们这些系统“打一架”吧,谁赢了用谁的规则既然这么麻烦,为啥身份证号码非得弄个字母X。这些人又是怎么被选中成为“X之人”?
掐指一算,你是X
末尾X的诞生,其实全靠前17位数的“支持”。
现在通行的身份证是第二代居民身份证,其中的18位身份证号码,也成了每个人都刻在脑子里的数字。身份证号末尾的X代表的也是数字,表示数字“10”。
第二代居民身份证的正面是国徽、证件名称、签发机关和证件有效期,背面是照片和登载的个人身份信息,其中最后一行公民身份号码,就是平时俗称的“身份证号码”。丨居民身份证式样,公安部行业标准《居民身份证总体技术要求》GA/T 448-2021公民身份号码共有18位数字:
6位地址码,按照《中华人民共和国行政区划代码》(GB/T 2260)确定的,户口所在地县一级行政区划代码。由于行政区划代码在历史上经过多次修订,所以就算是同一个地区出生的人,前六位也不一定相同。
8位出生日期码,四位数年份+2位数月份+2位数日期。
3位顺序码,男性为奇数,女性为偶数。
最后再加一位校验码。
公民身份号码结构丨国家标准《公民身份号码》GB11643—1999身份证号码充满了“随机性”——我们没法计划自己何时出生、出生在何地。不过最后的这位校验码,却成了“不确定中的确定”。只要前17位都定下来了,最后这一位数字也就确定了。它是通过一套算法,将前17位数字代入运算得出来的数字。
这样费劲算数的目的,是为了以后检查错误更方便。身份证号码在输入的时候可能出现各种错误,除了漏字、多字这种位数显而易见的错误外,输错数字都不容易被发现。校验码则可以“反推”出身份证号码是否录入正确,甚至可以识别出相邻两位填反、错位等错误。
当然,校验码只是为防止随机发生的错误,它不能检查出有意的伪造错误,也不能用来自动更正发现的错误。
现有的身份证输入系统大多会自动计算你填的号码对不对咋还算出了数字10?
结尾出现X,都得“怪”这套校验算法。这套算法采用的方法是取模11,得出的计算结果范围是0到10。但身份证只有18位,结尾变成10就多了一位。这才把10的“重任”交给X来表示。
温馨提示:如果你晕公式,可以跳过这段……
身份证最后一位的算法采用的是 ISO 7064 《数据处理——校验符系统》中给出的 MOD 11-2 校验码系统。这里的MOD 11-2表示模数是11,基数是2。也就是校验公式(见下)中,需要将总数除以11(模数)并取余数,而每个位置上的加权因子是通过以2(基数)为底的几何级数算出来的。
公民身份号码校验公式丨国家标准《公民身份号码》GB11643—1999身份号码中的校验码位于最右边,所以它位置序号i=1,对应的加权因子W1也等于1。按照公式,我们需要将身份证号码中其他各个位置上的数字都乘以对应的因子,把它们加起来得到总数,再将总数除以11并取余数。如果这个余数加上校验码(乘1还是本身)以后,除以11的余数是1,那就说明这个号码能够满足公式的校验。
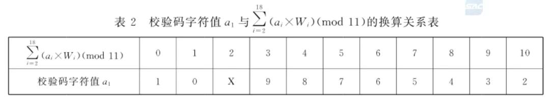
为了方便计算,国家标准中直接给出了校验码a1和余数的换算关系对应表:
来源:国家标准《公民身份号码》GB11643—1999举个例子:
校验码计算范例丨国家标准《公民身份号码》GB11643—1999因为模数是11,所以最后的结果有0~10共10种可能性,为了保证校验码只占1个字符位置,当算出来的 a1 等于10时,在身份证上用罗马数字符X表示。
(耶,X终于出现了!)
简单点说,X的出现是因为模数取了11。设计校验算法,是希望让算法尽可能覆盖到常见的身份证号码录入错误。对于取模11的情况而言,ISO 7064 标准的附录A给出了该算法的有效性:能识别到所有的单替换、单换位和位移错误,对双替换错误的识别率也有90%。
不要X行不行?
相对而言,取模10虽然能避免X的出现,但它对相邻两位互换错误的识别率较低,也导致当存在2位或更多错误时,无法保证90%的识别率。
另外一种避免X出现的思路是,不使用会产生校验字符值为10的号码串。但因为身份证号码的前14位基本是固定生成的,除去校验码,只有最后三位数顺序码能调整。这样一来,同一地区同一天内可容纳的号码数量就少了许多。
挪威的身份证号码共11位数字,前六位是以DDMMYY(日-月-年)顺序排列的出生日期,接下来是3位随机码和2位校验码。第一位校验码负责校验1~9位数字,第二位校验码负责校验1~10位数字。他们要算两遍,而且权重还不一样。
挪威的校验码算法也是模11,为了避免出现X,他们弃用了所有会产生校验字符值为10的号码串。这导致他们损失了约17%的可用容量。
冰岛的身份证号码跟挪威有点像,校验码算法也是模11。为了避免出现X,他们也弃用了所有会产生校验字符值为10的号码串。只有2位随机码,导致冰岛每天大约只能同时出生80个人……考虑到冰岛的总人口仅约37万,按2020年1.5%的人口增长率来算,80个也还算充裕。
无处不在的校验码
除了身份证,有很多需要用到一串数字来表示的代号里都有校验码。
有些校验码不止会出现X。比如我国现行的法人和其他组织统一社会信用代码由18位阿拉伯数字或大写英文字母(不使用I、O、Z、S、V)组成。其中第17位是第9~16位的校验码(模11)。第18位是对前17位进行校验的校验码,虽然也使用 ISO 7064 的校验码系统,但为了兼容可能存在的英文字母,所以选取了MOD 31-3的算法系统。算出来的校验值可能的取值范围是从0~30,用A~Y的大写英文字母(不含I、O、Z、S、V)代表10~30之间的数字。
我们生活中常用的二维码其实也有校验功能。QR码的生成程序在将信息写入二维图案的时候,会使用名为BCH编码的纠错码生成算法,将冗余信息写入图案中。通过专门的解码算法,程序不但能校验出数据有没有错误,还能知道错误在哪,以便程序自动校正、恢复数据。容错等级最高的QR码支持在多达30%数据无法读取的情况下还能正确还原完整信息。
QR码的编码结构丨Wiki Commons
在生活中,有很多数字和字母都在暗暗校验着某些标签正确与否。虽然有时候“X之人”会遇到些小麻烦,但校验码还是帮人们避免了不少难以察觉的错误。
对于不同的系统而言,设计代码时使用了不用的数据类型,导致有的可以读取X,有的却不能。从而出现了各不相同的规则来限制最后一位的输入。
总之,希望各个系统能早日统一最后一位的输入规则吧,“X之人”真的累了。(狗头)
参考文献
[1] GA/T 448-2021 居民身份证总体技术要求. https://hbba.sacinfo.org.cn/attachment/onlineRead/a90a5a366e77dd80a07c5ef29df56bcc8fe1d92996727162f185eeff93ceaea7
[2] GB 11643-1999 公民身份号码. https://openstd.samr.gov.cn/bzgk/gb/newGbInfo?hcno=080D6FBF2BB468F9007657F26D60013E
[3] 姚先锋. 如何用Excel读取二代身份证的相关信息[C]//.2013年度江苏省测绘学会年会论文集.,2013:123-124.
作者:欧剃
原标题:《身份证最后一位是X的人,受了多少苦?》
本文为澎湃号作者或机构在澎湃新闻上传并发布,仅代表该作者或机构观点,不代表澎湃新闻的观点或立场,澎湃新闻仅提供信息发布平台。申请澎湃号请用电脑访问http://renzheng.thepaper.cn。





- 报料热线: 021-962866
- 报料邮箱: news@thepaper.cn
互联网新闻信息服务许可证:31120170006
增值电信业务经营许可证:沪B2-2017116
© 2014-2026 上海东方报业有限公司




