- +1
Nature Communications|中科院地理所牛书丽团队提出生态系统光合作用适应土壤水分…
文章信息
期刊:Nature Communications
题目:Evidence for the acclimation of ecosystem photosynthesis to soil moisture
原文链接:https://doi.org/10.1038/s41467-024-54156-7
通讯作者:牛书丽研究员(中国科学院地理科学与资源研究所)
发表日期:2024-11-12
研究背景
生态系统总初级生产力(GPP)是大气与生物圈之间最大的碳通量,受土壤水分影响很大。然而,人们对 GPP 对土壤水分的响应和适应仍知之甚少,导致在地球系统模型中表征土壤水分对 GPP 的影响存在很大的不确定性。
研究方法
为了直接量化GPP达到最大值时的最佳土壤水分(SMGPPopt,作者使用 FLUXNET 数据集中的涡流协方差观测值,并在全球分布的 143 个站点得出每日 GPP-土壤水分响应曲线。然后,利用涡流协方差观测值以及田间操纵实验来检查土壤水分与SMGPPopt之间的关系。试验的补充很重要,因为它可以系统地检验土壤水分对SMGPPopt的因果关系。该研究拟解决以下两个科学问题:(i)SMGPPopt是否广泛存在;(ii)SMGPPopt如何随土壤水分变化。

图1.土壤水分与总初级生产力(GPP)关系概念图
研究结果
108 个站点的 GPP 随土壤水分的增加呈现驼峰状响应曲线,并且表观最佳土壤水分(SMGPPopt,此时 GPP 达到最大值)广泛存在,并且全球各地的站点和生物群落之间存在很大差异。
SMGPPopt的变化主要由当地水资源可用性解释,较干旱的生态系统的SMGPPopt低于较湿润的生态系统,这反映了SMGPPopt的水分适应。这种适应得到了一项仅调控水而保持其他因素不变的田间试验的进一步支持,该试验表明,在长期缺水后SMGPPopt呈现下降趋势,因此GPP最大化时所需的土壤水分较少。
该研究结果为广泛存在的SMGPPopt及其适应提供了令人信服的证据,为理解和预测碳-气候反馈提供了新的见解。

图2.来自 FLUXNET 站点的SMGPPopt分布情况

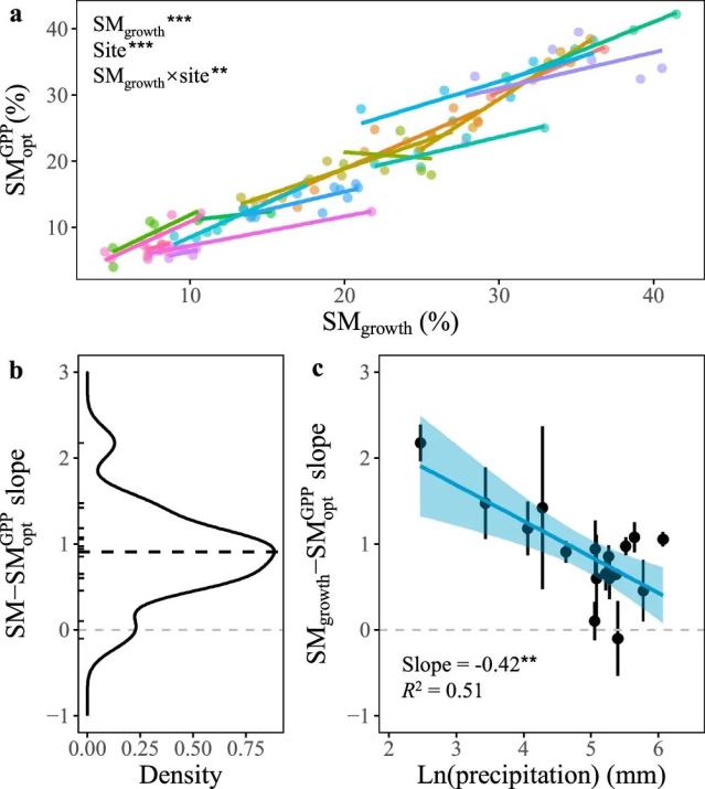
图3. SMGPPopt适应速度对生长季土壤水分(SMgrowth)的空间变化的响应

图4. SMGPPopt对生长季土壤水分(SMgrowth)的时间变化的响应

图5. 利用控制降水的田间试验探究生长季土壤水(SMgrowth)对SMGPPopt的影响
阅读原文继续滑动看下一个轻触阅读原文

北京生态学学会向上滑动看下一个
原标题:《Nature Communications|中科院地理所牛书丽团队提出生态系统光合作用适应土壤水分的证据》
本文为澎湃号作者或机构在澎湃新闻上传并发布,仅代表该作者或机构观点,不代表澎湃新闻的观点或立场,澎湃新闻仅提供信息发布平台。申请澎湃号请用电脑访问http://renzheng.thepaper.cn。





- 报料热线: 021-962866
- 报料邮箱: news@thepaper.cn
互联网新闻信息服务许可证:31120170006
增值电信业务经营许可证:沪B2-2017116
© 2014-2026 上海东方报业有限公司




