- +1
车影行踪 | 乘坐电车·阅读城市丨一百一十年无轨电车图鉴:14路电车微历史修订版
原创 椒盐粒 上海门牌研究所
14路(110周年纪念涂装)丨SWB5129BEV77G型双源无轨电车丨S5A-0014丨浙江路桥丨��电粉wing丨��2024.11最近在14路出现了一辆以绿+白配色为主基调的复古新装无轨电车,这要感谢赛文大师和廖大师两位资深公交迷为14路110周年庆生而准备的惊喜。
电车在上海城市历史发展的进程中始终扮演着一个重要的角色,无轨电车对于上海乃至全国而言,意义非凡。中国第一条无轨电车线路就诞生在上海(1914年11月15日),这个开端在全国遥遥领先(参阅下表)。不仅如此,这第一条无轨电车线路还是全球持续运营时间最长的无轨电车线路,被各界称为“活化石”。
中国城市公共无轨电车年表丨《电车行记》其实,了解一座城市的历史文化有一种别样的打开方式:乘坐电车 阅读城市。记得要带上这份椒盐粒最新修订的14路电车微历史,感受这场上海特有的时空穿梭之旅。
1914年6月21日,英商上海电车公司(简称英电)以福建路不甚宽广不宜敷设电车轨道,计划开行无轨电车,可弥补有轨电车在运行中的不足,向英国无轨电车制造公司订购603型无轨电车(短车身)多辆,预计其中2辆6月底即可抵达上海,7月中有5辆可到,英商着手架设电杆敷设电线。
7月4日,英电订购的2辆无轨电车抵沪。
英商上海电车公司刊登的无轨电车广告
英商无轨电车丨603型无轨电车丨资料图10月2日,英电筹办无轨电车,以福建路为试点,南自郑家木桥,北至老闸桥,已渐次装设铁质电杆和来回电线行将完备,月内可以通车。英电称,如试办有效将推广至租界内各路段,便利交通。
10月13日深夜,英电无轨电车试车。
11月13日,英电在无轨电车开通前2天登报广告,刊列票价。
英商无轨电车(开往老闸桥)丨603型无轨电车丨��廖辉(翻拍)11月15日,英商上海电车公司(简称英电)开辟首条无轨电车线路,辟线之初无路别号(1925年定名14路),线路自郑家木桥(今福建中路延安东路口)起,沿福建路(今福建中路)往北,至老闸桥南堍(今福建中路北京东路口)止,线路全程约0.7英里(1.10公里)。福建路横贯南京路闹市中心,无轨电车通车之日,当时上海《时报》对通车情况曾作报道言:“人们感到好奇,道傍伫立而观者,殊为拥挤”。
无轨电车开办初期仅7辆车,车厢内设28座,满载时可乘70人。每车每日行驶39.71英里(63.93公里),营运车速5.31英里/时(8.55公里/时)。
无轨电车调头转台丨郑家木桥丨资料图当时因洋泾浜河道尚未填没,电车在郑家木桥无法调头,特在路中设置圆形转台一座,电车到达终点站时先驶上转台,然后以人力推动转台使电车转向,实现调头。
11月27日,因福建路路面条件欠佳,郑家木桥至老闸桥无轨电车线路宣告停驶。英电要求工部局重新翻修路面,工部局则提出电车硬质车轮造成路面损坏应对之进行改善,双方就修复道路费用及改善车轮方案展开拉锯磋商。

英商无轨电车(开往郑家木桥)丨603型无轨电车丨上海音像资料馆视频截帧<<左右滑动查看更多>>
1915年
英商无轨电车(开往郑家木桥)丨603型无轨电车丨资料图7月6日,福建路翻建工程竣工,郑家木桥至老闸桥无轨电车恢复行驶。
1916年
英商无轨电车(开往天后宫桥)丨603型无轨电车丨北京路丨资料图9月21日,郑家木桥至老闸桥无轨电车线路延伸,北端沿北京路(今北京东路)向东至天后宫桥(河南路桥)。
1922年上海指南:14路无轨电车1925年
1925年上海指南:14路无轨电车(延伸前)10月11日,郑家木桥至天后宫桥无轨电车北端延伸至沪宁车站(北火车站)。延伸段经由天后宫桥,循北河南路(今河南北路)、界路(今天目东路),至沪宁车站(停北山西路);回程由北山西路(今山西北路)、爱而近路(今安庆路),折回北河南路,再循原线。全程1.589公里。
是年,郑家木桥至沪宁车站无轨电车线路定名为14路。
英商14路电车(开往沪宁车站)丨603型无轨电车丨346丨资料图1926年
8月1日,法商无轨电车通车,开通3条线路:①民国路(今人民路)吉祥街(今江西南路)至三洋泾桥(爱多亚路江西路),0.27公里;②民国路郑家木桥街(今福建南路)至郑家木桥(爱多亚路福建路),0.37公里;③敏体尼荫路(今西藏南路)至福建路。
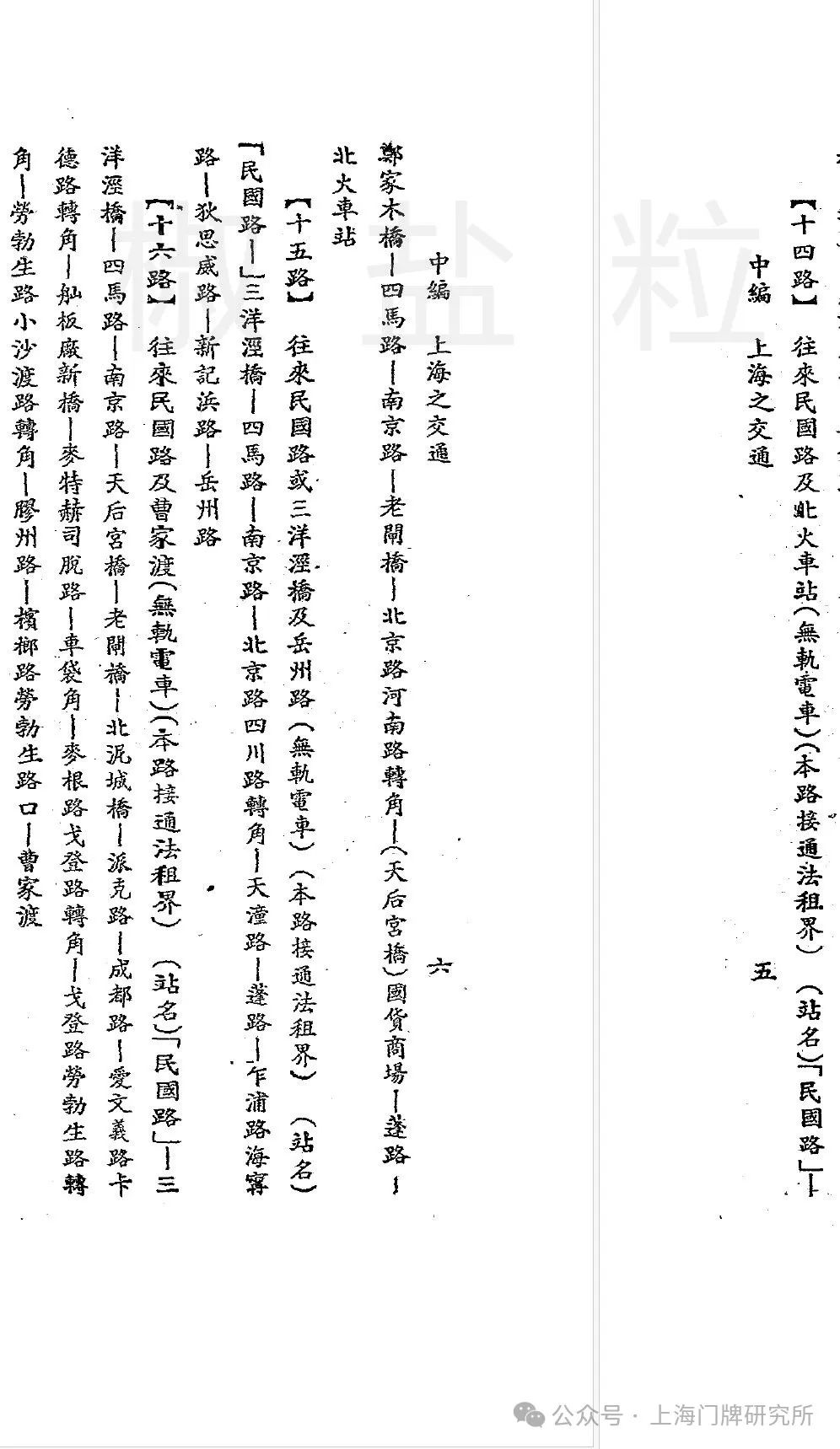
10月23日,英商14路、15路、16路三条无轨电车与法商电车互通联运,其中14路南起民国路郑家木桥街口,北迄沪宁车站,全程2.558公里。
12月23日,法电罢工,英电14路电车被限制不准驶入法租界。
1926年《申报》:英商电车不能驶入法界1927年
11月3日,14路无轨电车沪宁车站终点站由北山西路调整为北河南路老靶子路(今武进路)口。
1928年
1月3日,本埠加强戒严防范,法租界巡捕房将各马路铁门锁闭,以致行驶于华界各路法商电车均临时修改路线,如恢复行驶法租界未久之14路无轨电车因共舞台口铁栅门关锁,不便调头,仍止于郑家木桥。
3月21日,公馆马路(今金陵东路)修筑路面施工结束,14路电车延伸行驶至民国路。
英商14路电车丨603型无轨电车丨福建路丨网图
1929年地图:14路无轨电车北站终点站周边
1931年《上海小蓝本》:14路无轨电车
1933年上海市指南:14路无轨电车
1934年上海市指南:14路无轨电车
1936年大上海指南:14路无轨电车
1936年“交通图”:14路无轨电车走向1937年
受“八一三”战事影响,14路无轨电车停驶。
9月5日,14路无轨电车恢复行驶于郑家木桥至天后宫桥(河南路桥)南堍间。
11月12日,14路无轨电车仍恢复行驶于郑家木桥至沪宁车站(北火车站)。
1938年
因租界内市面日趋兴旺,英法联营恢复,14路无轨电车恢复民国路至北火车站行驶。
1938年上海指南:14路无轨电车
14路电车丨603型无轨电车丨郑家木桥丨网图丨1930s
1939年上海指南:14路无轨电车
1939年无轨电车线路图:14路电车走向
1940年“行号路”:14路无轨电车1941年
12月9日,日军对英商上海电车公司实行“军管理”。
1942年
2月,英商上海电车公司更名上海电车株式会社。
3月20日,日军宣布委托华中都市公共汽车公司接管英电,不久英法联营再度中断。
1944年
2月15日,上海电车株式会社将无轨电车14路改名为17路,无轨电车17路改名为14路。
7月1日,华中都市公共汽车公司改组为上海都市交通公司。
1945年
年初,上海都市交通公司全部电车线路停驶。
11月2日,英电复业,14路无轨电车恢复郑家木桥与北火车站之间行驶。
1947年大上海指南:14路无轨电车
14路电车丨603型无轨电车丨B332丨网图
1948年地图:14路无轨电车走向
1949年“行号路”:14路无轨电车1951年
7月24日,英商、法商电车再次互通联营,14路无轨电车南端终点恢复为人民路(当时尚称民国路)近福建南路口。线路全程3.338公里。
1951年《新上海便览》:14路无轨电车(互通前)
1951年地图:14路无轨电车走向(互通后)1952年
14路电车(同款车型)丨603型无轨电车丨1950s丨视频截帧
1952年交通日记:14路无轨电车11月20日,人民解放军军管会征用英电。
12月9日上海市电车公司成立。
12月30日,14路无轨电车线路由北站延伸至武进路近吴淞路,后又前移至吴淞路口(沈家湾)。全程增至3.796公里。
1953年3月交通日记:14路无轨电车
1953年8月交通日记:14路无轨电车
1953年地图:14路沈家湾终点站周边1954年
1月30日,14路无轨电车由上海市电车公司第一保养场(是年1月12日成立,址原静安寺车栈)划归新成立的第三保养场(址在1953年建成的长治路电车场)管辖。(1955年2月5日第二保养场与第三保养场合并,定名为电车第二保养场。)
7月1日,配合21路环城无轨电车(1953.7.1—1954.7.1)撤销,14路电车取代环城行驶,线路由沈家湾起,循原线至人民路、中华路环城内圈一周,再循原线驶回沈家湾,终点站设在小南门。全程6.39公里。
1954年交通日记:14路无轨电车
1955年交通日记:14路无轨电车
1956年地图:14路无轨电车环城走向
1956年交通日记:14路无轨电车
1956年冬季上海指南:14路无轨电车
1957年交通日记:14路无轨电车
1957年生活手册:14路无轨电车
1957年上海指南:14路无轨电车1958年
5月13日,14路无轨电车由沈家湾向东北延伸至全家庵路(今临平北路),终点站设在四平路全家庵路口以北。
1958年交通指南:14路无轨电车
1959年公交手册:14路无轨电车
1960年公交手册:14路无轨电车1962年
9月1日,配合11路环城圆路无轨电车开辟,14路无轨电车同步调整为老西门至全家庵路,不再环城内圈一周行驶,全程7.864公里。
1963年地图:14路老西门终点站周边
1965年票价表:14路无轨电车
14路电车丨603型无轨电车丨郑家木桥@福建中路延安东路丨网图丨1960s1969年
SKD644型无轨电车投入14路无轨电车行驶,逐步替代在用英制603型无轨电车。
14路电车(同款车型)丨SKD644型无轨电车丨资料图
1974年交通指南:14路电车
1975年票价表:14路无轨电车1976年
SKD663型铰接式无轨电车投入14路运营,逐步替换单机电车。
1976年票价表:14路无轨电车
1977年历书:14路电车
1978年交通路名指南:14路电车
1980年公交手册:14路电车1982年
四平路一期道路拓宽工程施工期间,14路电车临时缩线至东嘉兴路,走向循东嘉兴路、新嘉路、溧阳路折返。施工完毕后,西向未再恢复新嘉路、东嘉兴路走向。
1982年票价表:14路电车
1982年地图:东嘉兴路一带14路电车局部走向(调整前)1983年
1983年交通手册:14路电车(调整前)9月15日,配合四平路一期道路拓宽工程竣工通车,14路电车向北延伸至打虎山路。线路自老西门至打虎山路全程8.85公里。
14路丨SK561GF型无轨电车丨辽源西路丨��Leroy W. Demery, Jr. 丨��1983.10
14路丨SK561GF型无轨电车丨武进路丨��Leroy W. Demery, Jr. 丨��1983.10
14路丨SK561GF型无轨电车丨武进路河南北路丨��Leroy W. Demery, Jr. 丨⏰1983.10为方便上海低压电器厂盲人职工出行、免受挤车之苦,14路电车在头道桥北堍设立“四平路董家宅路”双向盲人照顾站(招呼站),并投放盲人专车。(1985年起每日高峰时段有盲人专车停靠。)
14路盲人专车丨《新民晚报》1985年报道
14路丨SKD663型电车丨663-225丨福建中路丨网图丨��1984.2
1984年地图:14路打虎山路终点站周边1985年
8月15日,配合福建路、浙江路一组单行交通措施实施,14路电车往老西门方向,自原线河南北路起,经天潼路、浙江北路、浙江路桥、浙江中路、湖北路、海口路、浙江中路、浙江南路,循人民路原线至老西门。
1987年
1月6日,配合四平路(临平北路—新港路)自来水埋管施工,14路电车临时缩线为老西门至东嘉兴路,原东嘉兴路过境站设为临时终点站。
2月,配合武进路河南路路口实施西向南禁左措施,14路电车往老西门方向改经由武进路、江西北路、海宁路,再循河南北路原线,原西向“北站”站点移至江西北路。
1988年
14路丨SK561G型无轨电车丨河南路桥丨徐喜先《百变上海》丨��19889月1日,因延安东路隧道工程建设影响,14路电车南端临时缩线调整至东新桥。调整后线路自东新桥至打虎山路全长7.75公里。往东新桥方向自原线浙江中路,经湖北路(北向南)、海口路、北海路,至湖北路(南往北)止;往打虎山路方向自湖北路起,经广东路、福建中路,再循原线。东新桥终点站设在湖北路72号处(北向停靠,原25路东新桥终点站)。后定为正式走向。
东新桥北海路海口路交叉口14路电车转弯处丨网图丨��1988同年,因铁路新客站启用后,北站已停止办理客运业务,市府发文公交站点停用“北站”名称,14路电车“北站”站点更名为“武进路”。
14路丨SK561G型无轨电车丨日升楼@浙江中路南京东路丨网图丨��1988
1989年票价表:14路电车
14路(右车)丨SK561GF型无轨电车丨561GF-0141丨河南路桥丨网图
1990年乘车手册:14路电车
1990年地图:14路东新桥终点周边1991年
7月17日,配合吴淞路市政施工,14路电车临时改道经四平路、溧阳路、四川北路、武进路,再循原线行驶。至1992年9月10日恢复。
1992年
配合四平路-吴淞路二期道路拓宽工程,嘉兴路桥改建,14路电车改道四平路、嘉兴路桥、吴淞路行驶,不再经由新嘉路、东嘉兴路等路段,撤销“东嘉兴路”双向站点。
1992年交通指南:14路电车
1993年票价表:14路
1994年交通指南:14路电车
1994年黄浦区地图:14路电车东新桥终点站周边
14路丨SK561G型无轨电车丨日升楼@浙江中路南京东路丨网图丨��1994
14路丨SK561G型无轨电车丨日升楼@浙江中路南京东路丨网图1995年
9月24日,配合海宁路、武进路一组单行交通措施实施,14路电车往打虎山路方向调整走向:自原线河南北路起,经海宁路、吴淞路,循原线。
12月底,上海公交行业“三制改革”,公交总公司第二电车公司改制为上海二电公共交通公司(二电公交公司)。14路属二电公交公司管理。
1996年
14路电车南端缩线由东新桥至南京东路,终点站设在汉口路(福建中路与湖北路间)。

1996年交通手册:14路
14路丨SK561GF型无轨电车丨561GF-674丨打虎山路丨��六个石头1997年
春节期间,二电公交公司自行研制了全国首辆冷暖空调电车,并投入到14路电车线路运营,给这条中国无轨电车第一线又增添了一个新的光环。

14路丨二电公交公司自行研制冷暖空调电车丨公交内江场丨网图丨��1997
14路丨二电公交公司自行研制冷暖空调电车丨东新桥@广东路丨��李翔丨��199714路电车东新桥终点站迁移至广东路(近福建中路口,即今址),进站线路简化为由湖北路南向东转入广东路。

14路丨SK5105GP型无轨电车丨5105GP-074丨打虎山路丨��六个石头丨��1997
14路丨SK561GF型无轨电车丨东新桥@广东路丨网图丨⏰1998.71999年
14路丨SK5105GP型无轨电车丨5105GP-098丨日升楼@浙江中路南京东路丨网图4月30日,为便利出行,14路电车由打虎山路延伸至本溪路。延伸后往本溪路方向自东新桥起,循原线经控江路、江浦路,至本溪路止;往东新桥方向自本溪路起,经控江路、打虎山路,循原线至东新桥。增设站点:鞍山路、新华医院(往本溪路单向)。
6月30日,由公交控股公司、巴士公司、大众出租、原水公司等多家投资进行重组,公交控股公司相对控股,二电公交公司改制为上海二电巴士公共交通有限公司(二电巴士)。14路属二电巴士管理。
2001年
8月14日,为改善江浦路沿线和凤城新村地区交通出行,填补江浦路北端公共交通空白,二电巴士公交公司对14路电车进行线路延伸,自本溪路延伸至江浦路中山北二路。线路自东新桥至中山北二路全程8.7公里。延伸后走向:自广东路起,循原线经大连路、控江路,至江浦路止;回程自江浦路起,经中山北二路、长岭路、抚顺路、江浦路、本溪路,循原线至广东路止。延伸段增设延吉西路、中山北二路等站点。首末班时间:东新桥4:15—23:45;中山北二路4:20—23:45。
2002年
7月24日,按照“政府引导、企业自愿、市场运作和多元投资”原则,将巴士一电公司、二电巴士公司、三电市南公司整合重组为上海巴士电车有限公司(巴士电车),是日举行巴士电车公司成立仪式。14路属巴士电车管理。
14路丨SK5105GP-1型空调无轨电车丨5105GP-1-345丨武进路丨��朱达艺丨��2002
14路丨SK6105KP型空调客车丨6105KP-023丨武进路丨��朱达艺丨��2002
14路丨SK6962P型公共汽车丨6962P-314丨吴淞路丨��朱达艺丨��2002
14路丨SK6115KHP2-1型空调客车丨6115KHP2-1-436丨河南北路七浦路丨��朱达艺丨��2002
14路丨SK6115KHP2-1型空调客车丨6115KHP2-1-142丨河南北路七浦路丨��朱达艺丨��2002
14路丨SK5105GP型无轨电车丨5105GP-248丨东新桥@广东路丨��朱达艺丨��2002
14路丨SK5105GP-1型空调无轨电车丨5105GP-1-347丨武进路丨��朱达艺丨��20022003年
7月17日中午11点,一辆14路电车(自编号5105GP-250,牌号沪A-86620)在广东路、福建中路口发生一起连撞四人的交通事故。因驾驶者疏忽未注意路况,先撞到一名推手推车者,后因操作不当又连续撞人,导致两死两伤的后果(一名行人和推手推车者受伤,另分别有一名骑自行车和骑三轮车者身亡),并有交通路牌、护栏及多辆非机动车损坏。

14路丨SK5105GP型无轨电车丨5105GP-250丨广东路事故丨网图丨��2003.7
2003—2004上海绿页:14路
14路站牌丨武进路丨��朱达艺丨��2003
14路丨SK6105KP型空调客车丨6105KP-007丨海宁路丨��朱达艺丨��2003.6
14路丨SK6105KP型空调客车丨6105KP-023丨东新桥@广东路丨��朱达艺丨��2003.7
14路丨SK5105GP-1型空调无轨电车丨5105GP-1-345丨海宁路丨网图丨��2003
14路丨SK6105KP型空调汽车丨6105KP-006丨河南北路丨��朱达艺丨��2003.6
14路丨SK5105GP型无轨电车丨5105GP-095丨浙江路桥丨��朱达艺丨��2003
14路丨SK6115KHP2-1型空调客车丨6115KHP2-1-437丨海宁路丨��朱达艺丨⏰2003
14路丨SWB6120KHV2-3型空调客车丨S2C-044丨河南北路武进路丨��朱达艺丨��2003.12
14路丨SWB5105KGP-3型空调电车丨KGP-031丨河南北路丨��朱达艺丨��2003.7
14路丨SWB5105KGP-3型空调电车丨KGP-032丨东新桥@广东路丨��朱达艺丨��2003.7
14路丨SK5105GP型无轨电车丨5105GP-100丨公交长治场丨��电粉wing丨��20032004年
6月28日,巴士电车进行内部体制改革,下属机构进行“拆三建十”改革,建立上海巴士电车一分公司、二分公司、三分公司(以上原一分公司),四分公司、五分公司、六分公司、七分公司(以上原二分公司),八分公司、九分公司、十分公司(以上原三分公司)建制,同时撤销巴士电车公司原一分公司、二分公司、三分公司及下属车队建制,改三级管理为两级管理。14路属四分公司管理。
14路(进场车)丨SK5105GP型无轨电车丨5105GP-267丨人民路福建南路丨��魏家钧丨��2004.6
14路丨SK5105GP-1型空调无轨电车丨5105GP-1-347丨江浦路丨��魏家钧丨��2004.3
14路丨SK5105GP-1型空调无轨电车丨5105GP-1-345丨江浦路丨��魏家钧丨��2004.3
14路丨SK6115KHP2-1型空调客车丨6115KHP2-1-437丨四平路丨��魏家钧丨��2004.5
14路丨SK5105GP-1型空调无轨电车丨5105GP-1-345丨打虎山路丨��朱达艺丨��2004.6
14路站牌丨河南北路海宁路丨��贺佳伟丨��2005
14路站牌丨河南北路海宁路丨��朱达艺丨��2005
14路丨SK5105GP型无轨电车丨5105GP-251丨四平路丨��朱达艺丨��2005.6
14路丨SWB5105KGP-3型空调无轨电车丨KGP-343丨嘉兴路桥丨��朱达艺丨��2005
14路丨GDW6105G型客车丨G0A-132丨河南北路丨��朱达艺丨��2005.10
14路丨SWB5105GP-3型无轨电车丨SG-011丨武进路丨��朱达艺丨��2006.5
14路丨SWB6100V2型客车丨S0D-035丨武进路丨��朱达艺丨��2006
14路丨SWB5105GP-3型无轨电车丨SG-007丨河南北路丨��电粉wing丨��2006
14路丨SWB5105GP-3型无轨电车丨SG-006丨天潼路河南北路丨��电粉wing丨��2006
14路丨HZGWG100K型无轨电车丨H0A-007丨东新桥@广东路丨��朱达艺丨��2006.4
14路(出场车)丨SWB5105GP-3型无轨电车丨SG-009丨公平路丨��电粉wing丨��20062007年
配合地铁施工,14路电车临时改道,自辽源西路起,经大连路、周家嘴路、海宁路、河南北路,循原线行驶。
同年,配合地铁施工,14路电车往中山北二路方向临时改道经河南北路、天潼路、江西北路、七浦路、河南北路,再循原线行驶。
14路丨SWB5105KGP-3型空调无轨电车丨KGP-029丨浙江中路丨��陈寒松丨��2007
14路丨SWB5105KGP-3型空调无轨电车丨KGP-030丨浙江中路丨��陈寒松丨��2007
14路丨SXC6105G3型客车丨W0A-001丨江浦路丨��魏家钧丨��2007.4
14路丨SXC6105G3型客车丨W0A-001丨北京东路河南中路丨��贺佳伟丨��2007.6
14路丨HZGWG100K型无轨电车丨H0A-055丨河南中路丨��贺佳伟丨��2007.6
14路丨HZGWG100K型无轨电车丨H0A-019丨河南路桥丨��贺佳伟丨��2007.62008年
配合打虎山路施工,14路电车往东新桥方向临时改道,自控江路起,经大连路、新港路,回原线。
同年,再次配合地铁施工,14路电车临时改道经控江路、大连路、周家嘴路、海宁路、河南北路。
同年,配合地铁施工,14路电车临时改道:往东新桥方向自原线河南北路起,经塘沽路、山西北路,回天潼路原线;往中山北二路方向自河南北路起,经天潼路、江西北路、七浦路,回河南北路原线。
14路丨HZGWG100K型无轨电车丨H0A-016丨东新桥@广东路丨��魏家钧丨��2009.1
14路丨HZGWG100K型无轨电车丨H0A-023丨河南北路海宁路丨��朱达艺丨��2009.5
14路丨HZGWG100K型无轨电车丨H0A-060丨控江路打虎山路丨��魏家钧丨��2010.5
14路丨HZGWG100K型无轨电车丨H0A-016丨四平路丨��魏家钧丨��2010.8
14路丨SWB6100V2型客车丨S0D-036丨山西北路丨��魏家钧丨��2010.2
14路丨HZGWG100K型无轨电车丨H0A-020丨东新桥@广东路丨��李凯丨��2011
14路丨HZGWG100K型无轨电车丨H0A-019丨海宁路河南北路丨��魏家钧丨��2011.1
14路丨HZGWG100K型无轨电车丨H0A-021丨四平路四达路丨��魏家钧丨��2012.2
14路丨SWB6100V2型客车丨S0D-035丨四平路临平北路丨��魏家钧丨��2012.3
14路丨HZGWG100K型无轨电车丨H0A-021丨湖北路福州路丨��李凯丨��20122013年
11月,配合武进路施工,14路电车往东新桥方向晚22点后临时改道行驶吴淞路、海宁路、河南北路。施工结束后即恢复。
14路(出场车)丨HZGWG100K型无轨电车丨H0A-054丨控江路黄兴路丨����18路电车������丨��2013.2
14路丨HZGWG100K型无轨电车丨H0A-015丨浙江路桥丨��朱达艺丨��2013.3
14路丨HZGWG100K型无轨电车丨H0A-022丨浙江北路天潼路丨����18路电车������丨��2013.9
14路(武进路河南北路区间车)丨HZGWG100K型无轨电车丨H0A-026丨海宁路丨����13路电车�� 丨��2013.92014年
6月1日,14路电车往东新桥方向恢复河南北路、天潼路原走向。
14路丨HZGWG100K型无轨电车丨H0A-054丨东新桥@广东路丨��张渊源丨��2014.6
14路丨SWB6100V2型客车丨S0D-131丨东新桥@广东路丨��李凯丨��2014
14路丨HZGWG100K型无轨电车丨H0A-056丨海宁路丨��朱达艺丨��2014.8
14路丨JNP6120BEV1型双源无轨电车丨J2B-0142丨湖北路福州路丨��张渊源丨��2014.72015年
4月18日,配合浙江路桥施工,14路电车往东新桥方向临时改道,自河南北路起,经河南路桥、河南中路、北京东路,回浙江中路原线。2017年5月恢复原走向。
6月8日,上海公交新一轮“区域化”兼并重组启动,为简化合并手续,降低重组成本,决定以巴士一汽为壳公司,通过国有资产无偿划转方式,将巴士电车及其股权注入巴士一公司,是日巴士一公司举行重组揭牌仪式。14路属巴士一公司管理。
14路丨JNP6120BEV1型双源无轨电车丨J2B-0138丨广东路福建中路丨��张渊源丨��2015
14路丨HZGWG100K型无轨电车丨H0A-043丨福建中路丨��张渊源丨��2015.5
14路丨JNPWG120G型双源无轨电车丨J2B-0258丨东新桥@广东路丨��张渊源丨��2016.6
14路丨JNPWG120G型双源无轨电车丨J2B-0258丨浙江路桥丨��张渊源丨��2017.102018年
8月4日,配合武进路架空线落地施工,14路电车往东新桥方向临时改道经吴淞路、海宁路、河南北路行驶。
是年,配合四平路的路面施工工程,虹口区对14路电车四平路线网进行临时性拆除。
14路丨JNP6120BEV1型双源无轨电车丨J2B-0240丨新港路丨��张渊源丨��2018.11
14路丨JNP6120BEV1型双源无轨电车丨J2B-0133丨福建中路丨��贺佳伟丨��2020.7
14路丨SWB5129BEV77G型双源无轨电车丨S5A-0001丨本溪路桥丨��贺佳伟丨��2021
14路丨SWB5129BEV77G型双源无轨电车丨S5A-0001丨河南路桥丨��张冰丨��2021
14路丨SWB5129BEV77G型双源无轨电车丨S5A-0001丨福建中路丨��竹青丨��2021
14路丨SWB5129BEV77G型双源无轨电车丨S5A-0001丨湖北路丨��廖辉丨��2021
14路丨SWB5129BEV77G型双源无轨电车丨S5A-0001丨东新桥@福建中路广东路丨��廖辉丨��20212023年
2月,“上海印象”复古款SWB5129BEV77G型双源无轨电车投入14路行驶。
4月1日,巴士一公司部分线路分公司调整:原十车队(13路、23路、24路、36路、304路、939路)整体并入八车队,原十二车队(8路、22路、28路、139路、868路、934路)更名为二车队,原十三车队(6路、14路、137路、746路、1219路)更名为十车队,并划入原八车队的19路、21路,原十四车队(25路、33路、37路、135路、155路、317路、330路、1238路)更名为九车队。
14路丨SWB5129BEV77G型双源无轨电车丨S5A-0006丨江浦路抚顺路丨����18路电车������丨��2023.2
14路丨SWB5129BEV77G型双源无轨电车丨S5A-0005丨新港路大连路丨����18路电车������丨��2023.2
14路丨SWB5129BEV77G型双源无轨电车丨S5A-0007丨武进路丨����18路电车������丨��2023.2
14路丨SWB6109BEV36型电动客车丨S0R-0366丨福建中路丨��张渊源丨��2023.5
14路丨SWB5129BEV77G型双源无轨电车丨S5A-0003丨天潼路丨��张渊源丨��2023.5
14路丨SWB5129BEV77G型双源无轨电车丨S5A-0014丨福建中路丨��张渊源丨��2023.122024年
5月初,14路电车四平路线网重建工程,从海宁路吴淞路起至四平路新港路双向线网总长约4.8公里项目正式启动。9月,四平路4.8公里无轨电车线网优化工程正式完工。
14路丨SWB5129BEV77G型双源无轨电车丨S5A-0019丨四平路丨����18路电车������丨��2024
14路丨SWB5129BEV77G型双源无轨电车丨S5A-0009丨四平路丨����18路电车������丨��2024
14路丨SWB5129BEV77G型双源无轨电车丨S5A-0011丨嘉兴路桥丨��魏家钧丨��2024.6
14路丨SWB5129BEV77G型双源无轨电车丨S5A-0016丨沈家湾@武进路吴淞路丨����18路电车������丨��202410月19日,配合新港路地下管线翻新施工,14路电车临时调整走向:上行自东新桥起循原线至四平路、大连路、控江路循原线至江浦路中山北二路终点站;下行自江浦路中山北二路起循原线至辽源西路、大连路、四平路循原线至东新桥。临时取消站点:新港路四平路(双向)、新港路和平公园(双向)、新港路大连路(往中山北二路)。临时新增站点:四平路大连路(往中山北二路)、和平公园(往东新桥)、四平路密云路(往东新桥)。

14路站牌丨��张渊源丨��2024.1111月9日,纪念14路无轨电车运营110周年复古新装在14路S5A-0014号车面世。

14路丨SWB5129BEV77G型双源无轨电车丨S5A-0014丨福建中路丨��陈寒松丨��2024.11
14路丨SWB5129BEV77G型双源无轨电车丨S5A-0014丨浙江路桥丨��张渊源丨��2024.11
14路丨SWB5129BEV77G型双源无轨电车丨S5A-0014丨日升楼@湖北路南京东路丨��电粉wing丨��2024.11
特别鸣谢赛文
廖辉
参考资料
[1]上海市公用事业管理局编:《上海公用事业(1840—1986)》,上海:上海人民出版社,1991.1
[2]上海公用事业志编纂委员会编:《上海公用事业志》,上海:上海社会科学院出版社,2000.1
[3]上海公用事业志编纂委员会编:《上海公用事业续志》,内部发行,2002.10
[4]上海市地方志编纂委员会编:《上海市志·交通运输分志·城市公共交通卷(1978—2010)》,上海:上海交通大学出版社,2018.3
[5]上海市地方志编纂委员会编:《上海市级专志·上海久事(集团)有限公司志》,上海:上海社会科学院出版社,2021.6
[6]上海市公用局编:《十年来上海市公用事业之演进》,上海:上海市公用局,1937.7
[7]上海市公共交通公司编:《上海市街道和公路营业客运(量大的公共交通)史料汇集》:第x辑,上海:上海市公共交通公司,1982
[8]上海市公共交通公司第三分公司(原电车一场)编史组编:《上海市公共交通公司电车一场卅三年来的发展简况1949—1982》,内部油印,1986.10
[9]上海市公共交通公司沪南车场编:《上海市公共交通公司沪南车场解放十年来的伟大成就1949—1959》,内部印行,1960
[10]上海市公共交通公司编:《上海陆上公共交通史》上册(讨论稿),上海:上海市公共交通公司内部印行,1982.7
[11]上海市公共交通公司编史办公室编:《上海城市公共交通史》,第一册(第四稿 稿本),内部发行,1987.2
[12]中共上海市公共交通总公司委员会编:《上海市公共交通企业社会主义时期中共党史大事记》,上海:中共上海市公共交通总公司委员会,1996.4
[13]上海市交通运输局公路交通史编委会主编:《上海公路运输史》,第一册,近代部分,上海:上海社会科学院出版社,1988.7
[14]Mike Davis:FAR EAST BUSES TRAMS AND TROLLEYBUSES SHANGHAI FROM 1908,DTS Publishing PO Box 105,Croydon,Surrey,2010(F.E.B.T.T.S.F.1908)
[15]上海公用事业管理局编:《上海公用事业十五年1978—1993》,内部发行,1993.9
[16]上海市人民政府交通办公室编:《上海交通1949—1988》,上海:上海科学技术文献出版社,1989.10
[17]王力群、齐铁偕主编:《上海是轮子转出来的:上海公共交通百年录》,上海:学林出版社,1999.9
[18]董为焜编:《上海今昔》,上海:上海人民美术出版社,1958.12
[19]上海人民美术出版社编:《上海新貌》,上海:上海人民美术出版社,1964.9
[20]姚丽旋编:《美好城市的百年变迁——明信片上看上海》,上海:上海大学出版社,2010.4
[21]上海市虹口区志编纂委员会编:《虹口区志》,上海:上海社会科学院出版社,1999.2
[22]上海市杨浦区志编纂委员会编:《杨浦区志》,上海:上海社会科学院出版社,1995.12
[23]历年《杨浦年鉴》
[24]《新民晚报》(1946—1999)图文光盘,上海:文汇新民报业集团,2003
[25]朱达艺:记忆中的14路 上海第一条无轨电车线路,朱达艺公共交通网上博物馆,2017-09-11
[26]网络资料
策划·撰文·排版
张渊源
摄影
六个石头
朱达艺
电粉wing
廖辉
李翔
张冰
竹青
魏家钧
贺佳伟
李凯
��18路电车������
��13路电车��
陈寒松
张渊源
资料
朱达艺
陈寒松、
DiGiCharat
��18路电车������
指导
灯塔
zrg
责编
DiGiCharat
徐曾祯
版本
修订第三版
椒盐粒的自白我们的公交系列作品都署名为“椒盐粒”。这个“椒盐”是“交研”的谐音,表明了我们做公交研究的决心。然而,我们只是一个小团队,所以称“粒”。可是小身材却有大味道。就像那地上的盐粒,在月光的照射下闪闪发光,点亮行途。我们要做的正是那会发光的“小颗粒”。
原标题:《【车影行踪154】乘坐电车 阅读城市丨一百一十年无轨电车图鉴:14路电车微历史修订版》
本文为澎湃号作者或机构在澎湃新闻上传并发布,仅代表该作者或机构观点,不代表澎湃新闻的观点或立场,澎湃新闻仅提供信息发布平台。申请澎湃号请用电脑访问http://renzheng.thepaper.cn。





- 报料热线: 021-962866
- 报料邮箱: news@thepaper.cn
互联网新闻信息服务许可证:31120170006
增值电信业务经营许可证:沪B2-2017116
© 2014-2026 上海东方报业有限公司




