- +1
作者解读|优化干预策略,应对中国儿童青少年肥胖
原创 柳叶刀 柳叶刀TheLancet
《柳叶刀-公共卫生》(The Lancet Public Health)近日发表来自北京大学宋逸/马军/董彦会研究员团队和浙江大学袁长征研究员团队等国内多个科研团队领衔的中国儿童肥胖防控系列科研成果。研究全面整合了在中国开展的多层次儿童青少年肥胖的干预策略,探讨全球有效的干预方法在中国的适用性,并分析实施过程中遇到的推动因素与阻力障碍,为未来儿童青少年肥胖干预的推广提供理论依据。我们邀请作者团队带来文章解读。识别文中二维码或点击文末阅读原文,查阅原文。儿童青少年肥胖已成为全球性的重大公共卫生挑战。它不仅影响个体健康,还会带来长期的社会和经济负担,强调早期有效干预的重要性和紧迫性。在中国,儿童青少年肥胖问题的复杂性不仅源于其独特的社会、文化和环境背景,还受到快速城市化、经济转型以及生活方式变化的深刻影响。因此,制定符合中国国情的干预策略和措施至关重要。近年来,中国采取了多维度策略应对儿童青少年肥胖,涵盖国家政策倡导、社区建设、学校介入、家庭指导及个体化干预等,这些举措汇聚了政府、医疗卫生工作者、教育机构、社区、家长及儿童等多个利益相关方的参与。然而,尽管应对儿童青少年肥胖的策略具有一定的普适性,不同国家的干预效果仍有所不同,例如,学校干预在西方国家成效有限,却在中国有一定效果。但是,将国际成功经验本土化,仍需克服文化差异、经济不平衡及地区医疗资源分布不均等障碍。
尽管全球已有基于证据的干预措施,但其效果和实施在不同国家存在显著差异。中国的快速城市化、生活方式变化和经济发展使儿童青少年肥胖问题愈加严峻,因此需要根据本地情况制定切实可行的干预策略。本研究通过系统回顾,从1059篇相关文献中精选24项高质量随机对照试验,这些研究代表性较强、样本量较大、干预及随访周期较长,专门针对中国6-18岁儿童青少年。通过定量分析,并与非中国人群的高质量研究进行对比,探讨了这些策略和措施在中国情境下的适用性和可行性。
研究结果
图1 中国儿童青少年肥胖干预策略框架现有儿童青少年肥胖干预策略和措施涵盖社会政策至个体生活方式的多维度层面,对个人、社会和经济带来广泛影响。
社会层面,通过政策、立法和环境优化改善儿童青少年肥胖,如糖税和健康食品税补贴等措施,中国需考量地区差异以有效实施。其他社会干预措施包括母乳喂养推广、健康食品补贴和城市体育设施建设。
学校和社区携手,通过教育、健康膳食和体育活动等措施促进健康。虽然已在中国取得一定成效,但仍面临城乡资源分布不均、学生的学业压力大等挑战,因此,需要更多高质量的研究和政策支持来评估这些干预的长期效果和可持续性。
家庭作为儿童成长的核心环境,家长的参与和支持至关重要。研究发现,父母在膳食选择管理和体育活动安排中的作用尤为突出。在中国,家庭干预与学校干预联合或独立进行,均能有效改善儿童青少年的健康行为,但需克服传统文化和过度喂养观念,提升家长健康意识。
个体干预则聚焦生活方式调整和临床治疗两个方面。中国相关干预研究主要侧重生活方式的改变,如膳食、运动习惯等的调整。然而,学业压力和不健康食品的泛滥也成为了主要障碍。临床干预针对严重肥胖,首选健康生活方式改变,药物治疗作为最后手段。综上,个体干预成效依赖于儿童参与度及长期支持,家庭与学校的协同作用能强化效果,促进健康习惯养成。
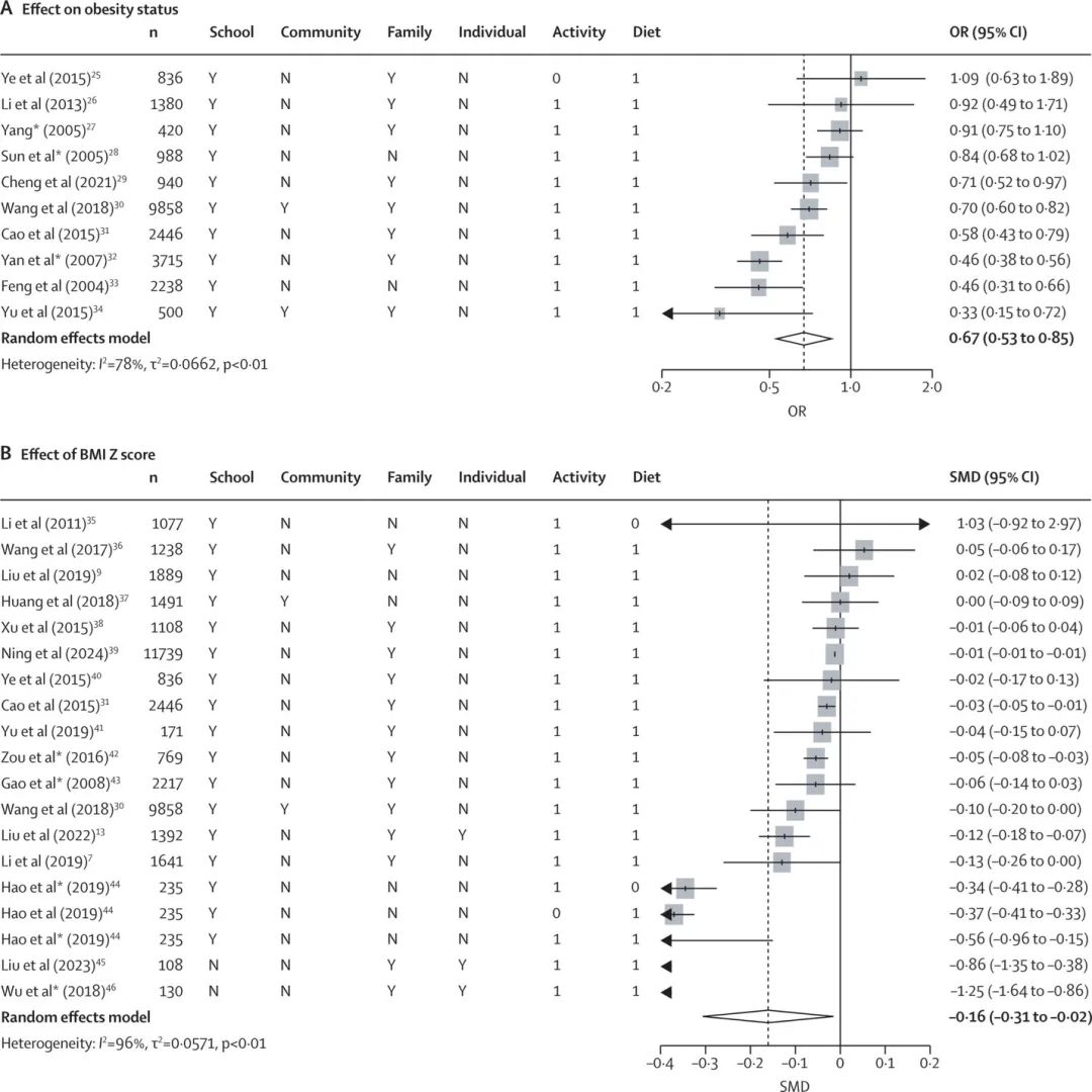
图2 儿童青少年肥胖随机对照试验有效性的荟萃分析基于中国现有随机对照试验的荟萃分析显示,适当干预措施能有效降低儿童青少年肥胖率和BMI。但现有研究主要集中于东南部经济发达城市,农村地区相关研究则相对匮乏。干预措施的可扩展性和长期效果也常常受到实施难度大和后续维持资源不足的限制。因此,鉴于中国的地域辽阔、民族多样性以及人口众多,规划、评估与决策时需采用全面、贴合实际的方法,结合普遍政策与个性化干预,以缩小健康差距。
研究意义
该研究系统整合了对中国儿童青少年肥胖的多层级干预措施研究,研究表明不同水平的干预效果存在差异性,反映了全球趋势,也凸显了中国的独特特征。中国在过去几十年的快速经济发展过程中,面临城市化、缺乏身体活动和营养转型等独特挑战,这要求重新制定儿童青少年肥胖一级预防的政策议程。然而,针对中国儿童青少年肥胖的高质量、大规模、长期随访的人群干预研究仍然缺乏,尤其是在量化社会和政策层面干预策略的研究上存在局限。解决儿童青少年肥胖问题的关键在于跨层次整合不同策略,融合政府、医疗系统、教育机构、家庭等各方力量。为实现这一目标,必须将标准化的干预操作流程与个性化的干预方案相结合,依赖中国国内多个部门和团体的共同努力。
团队介绍:浙江大学袁长征研究员和北京大学公共卫生学院/北京大学儿童青少年卫生研究所董彦会研究员为共同第一作者,北京大学公共卫生学院/北京大学儿童青少年卫生研究所宋逸研究员和马军教授为共同通讯作者。主要作者还包括来自西安交通大学、中国医科大学、中南大学、重庆医科大学、首都医科大学的多位专家学者,该研究得到国家重点研发计划、国家自然科学基金、北京自然科学基金、首都卫生发展科研专项、浙江大学教育基金会、北京大学人才引进计划项目等的支持。
中文解读由作者提供,仅供参考,所有内容以论文原文为准。
相关阅读
原标题:《作者解读|优化干预策略,应对中国儿童青少年肥胖》
本文为澎湃号作者或机构在澎湃新闻上传并发布,仅代表该作者或机构观点,不代表澎湃新闻的观点或立场,澎湃新闻仅提供信息发布平台。申请澎湃号请用电脑访问http://renzheng.thepaper.cn。





- 报料热线: 021-962866
- 报料邮箱: news@thepaper.cn
互联网新闻信息服务许可证:31120170006
增值电信业务经营许可证:沪B2-2017116
© 2014-2026 上海东方报业有限公司




