- +1
中科院宁波材料所,今日重磅Nature!
膜科技前沿
由于其热力学和电化学性质的复杂相互作用,材料内部的结构无序产生了令人着迷的现象。
氧-氧化还原(OR)电化学提供了容量限制的突破,同时导致结构紊乱,降低了电化学可逆性。
对固体热膨胀的传统解释依赖于Grüneisen关系,将膨胀系数与晶格的非谐性联系起来。
然而,由于此类系统中未探索的动态乱序转换,这种范式可能不适用于或材料。
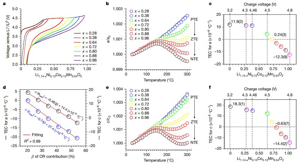
在此,来自美国芝加哥大学的张明浩&孟颖、中国科学院宁波材料技术与工程研究所&中国科学院大学的刘兆平等研究者发现OR活性材料中存在负热膨胀,其系数值为−14.4(2)× 10−6°C−1,这归因于热驱动的无序-有序转变。相关论文以题为“Negative thermal expansion and oxygen-redox electrochemistry”于2025年04月16日发表在Nature上。

材料宏观物性往往显著受结构无序性影响。晶体材料中的结构无序性是指原子或分子在晶格中偏离完美有序排列的各类不规则性。
晶体材料无序性的本质、程度及其对热学与电化学性能的影响,一直是学界研究的焦点。
自立方相钨酸锆(ZrW2O8)中发现负热膨胀(NTE)现象以来,材料的热膨胀行为已从单纯的热响应指标转变为表征无序-有序转变的重要探针。
此后大量NTE功能晶体材料相继被发现,其中部分材料通过四方-立方相变、电荷转移跃迁及不同程度的结构无序等机制,展现出巨幅NTE效应。
结构无序性在电化学领域同样起着关键作用。以锂硫(Li-S)和锂氧(Li-O2)电池为代表的阴离子氧化还原电化学,需要借助显著结构重构来实现能量存储。
类似地,电池材料中氧氧化还原(OR)活性的引入虽可提升容量,但会引发剧烈结构变化。
这种容量增益可能伴随往返能效的降低,其根源在于OR激活导致的显著结构无序化。
OR激活后形成的复杂氧网络畸变和过渡金属重排,使得通过传统表征技术实验测定无序度极具挑战性。
研究者近期研究发现,温度对富锂层状氧化物OR激活后的结构恢复具有决定性作用。
特别值得注意的是,在特定温区内材料晶格参数呈现NTE现象,这一新发现为评估OR活性材料的结构无序程度提供了新思路——NTE响应可作为诊断无序度的有效指标。
在此,本研究首先系统考察了多种材料的热膨胀行为,证实NTE是兼具OR活性和无序-有序转变材料的普适特征。
通过建立OR活性与NTE系数幅值的关联规律,研究者发现可通过调控材料OR活性来实现NTE的精细调控。
对NTE系数的分析,为设计研究对象零热膨胀(ZTE)行为,提供了实用方法。
基于这些发现,研究者提出利用电化学诱导的无序-有序转变策略,可实现OR活性材料电池的结构恢复与电压回升协同调控。

图1 通过NTE探测或电化学。

图2 控制OR电化学,根据不同的衰减状态调整TEC。

图3 控制或电化学设计中兴通讯材料。

图4 电化学诱导的无序-有序跃迁。
综上所述,通过对温度变化诱导局域结构动态演变的实时监测,研究者实现了对可逆氧氧化还原(OR)材料中负热膨胀(NTE)结构特征的定量解析。
该研究不仅揭示了结构无序性在热驱动无序-有序转变中的关键作用,同时阐明了其与材料OR活性的内在关联。
进一步研究发现,通过调控材料无序度可实现OR活性的精细调节,这为零热膨胀(ZTE)功能材料的设计开辟了新途径。
尤为重要的是,电化学诱导无序-有序转变的证实,为OR活性材料在工况条件下的结构与电压双重恢复提供了独特方法。
这些发现凸显了理解电化学与热化学特性方法间复杂相互作用的重要性,对设计新一代高鲁棒性智能材料具有重要指导意义。
参考文献
Qiu, B., Zhou, Y., Liang, H. et al. Negative thermal expansion and oxygen-redox electrochemistry. Nature (2025).
https://doi.org/10.1038/s41586-025-08765-x
原文链接:
https://www.nature.com/articles/s41586-025-08765-x
来源:微算云平台,仅供科研分享,助力科学传播,如有侵权,请联系后台删除。
原标题:《中科院宁波材料所,今日重磅Nature!》
本文为澎湃号作者或机构在澎湃新闻上传并发布,仅代表该作者或机构观点,不代表澎湃新闻的观点或立场,澎湃新闻仅提供信息发布平台。申请澎湃号请用电脑访问http://renzheng.thepaper.cn。





- 报料热线: 021-962866
- 报料邮箱: news@thepaper.cn
互联网新闻信息服务许可证:31120170006
增值电信业务经营许可证:沪B2-2017116
© 2014-2026 上海东方报业有限公司




