- +1
CCS Chemistry | 华南理工大学马於光课题组:平面萘二酰亚胺阴离子自由基晶体中的自旋相…
以下文章来源于CCSChemistry ,作者CCS Chemistry
CCSChemistry.
CCS Chemistry是由中国化学会创办的高水平旗舰新刊,面向全球科学家,收录化学各领域高质量原创科技论文。关注CCS Chemistry,即时获取期刊相关资讯。
近日,华南理工大学马於光课题组以吸电性的萘二酰亚胺(NDI)骨架为基础,通过微调酰亚胺位点的取代基和还原剂类型,可以得到NDI分子分别以单体、π-二聚体和一维π-堆积体的聚集形式存在的一系列阴离子自由基晶体。鉴于自由基的聚集形式存在显著差别,固态吸收光谱和电子顺磁共振(EPR)表征揭示了晶体中存在截然不同的电子结构和自旋相互作用。同时,与相应中性NDI晶体结构的对比表明了自旋相互作用在晶体生长中的作用。
背景介绍:π-共轭有机自由基由于独特的开壳层特性和在光学、导体和磁性领域的潜在应用而受到广泛关注。这些材料的非凡性质源自其开壳层共轭单元之间的平行堆叠相互作用,特别是未配对电子之间的相互作用。如何理解这种相互作用并将其与其它非共价力平衡以调节分子组装,从而实现多功能材料并阐明聚集结构与性质之间的关系,仍然是芳香自由基领域的一个关键问题。
稠环酰亚胺具有大平面共轭结构和较高的电子亲和力,其阴离子自由基颇具研究潜力。旧有的关于稠环酰亚胺自由基晶体的研究主要基于在芳香核心位点存在强吸电子基团的分子,取代基不可避免地扭曲了芳香核心,使得晶体生长依赖于氢键、C-H...π相互作用和杂原子相互作用等,这些作用使酰亚胺分子彼此隔离,没有π-π相互作用。因此,本文主要基于核心无取代的平面NDI分子构建自由基晶体,以探究其中的自旋相互作用。
本文亮点:
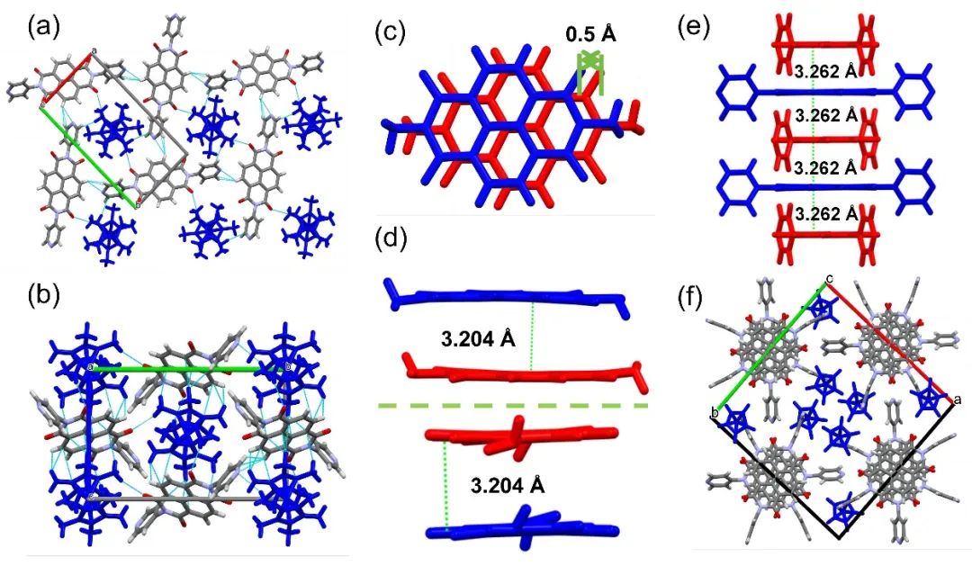
本文首先建立了简洁的自由基合成方法:将酰亚胺位不同取代的NDI衍生物与二茂钴(CoCp2)/十甲基二茂钴(CoCp2*)反应,然后通过溶液结晶的方法即可获得一系列NDI阴离子自由基晶体材料。作者发现,取代基和还原剂的类型可以起到显著调整晶体堆积结构的作用。例如,CoCp2*比CoCp2具有更低的电离能和更大的空间位阻,这使得它能够与NDI交替存在,并抑制其π-π堆积,得到单体晶体3b(NDI-Py/CoCp2*)。在还原剂为CoCp2的情况下,当取代基较小为氨基时,NDI自由基可以采取重叠构象堆叠,形成坚固的多中心双电子键,从而生成二聚体晶体2a(NDI-NH2/CoCp2)。通过增加取代基团的体积为吡啶环,空间位阻倾向于使NDI向交错构象堆叠转变,导致电子不再局限于二聚体内,而是离域形成扩展的π-堆叠晶体2b(NDI-Py/CoCp2)。此外,与相应的中性晶体1a(NDI-NH2)和1b(NDI-Py)进行比较,2a和2b的NDI分子间均具有更近的堆积距离和更大的重叠面积,结合理论计算,表明离域π电子间的相互作用表现为强烈的吸引力而非静电斥力。
图1. 单体(a)(b),π-二聚体(c)(d)和π-堆叠(e)(f)的晶体结构晶体堆积结构的不同将反映在其物理性质的差异上。三种晶体在可见光区(归因于分子内π-π*跃迁)和近红外区(归因于分子间电荷转移)的固态吸收光谱表现出显著差异。对于3b,即使在固态下也表现出与溶液中一致的精细吸收峰,由于NDI分子之间的有效隔离,在近红外区域未观察到电荷转移带。对于2a和2b,它们的主吸收峰均出现大的蓝移以及精细振动消失,表明分子间存在强烈的电子耦合。2a在1136 nm存在一个宽泛的电荷转移带,这一吸收带与二聚体内单电子的离域有关,对应于HOMO-LUMO跃迁,其中HOMO和LUMO由每个单体的SOMO重组生成。而在2b中,电子离域程度更大,一维关联电子形成扩展多电子多中心带,更小的带隙对应吸收谱带延伸至2500 nm之后。
图2. 三种晶体的固态吸收光谱和轨道计算示意图作者进一步通过EPR揭示了三种晶体中不同的自旋相互作用。单体3b的线型表现出明显的非对称各向异性洛伦兹特征,表明其EPR跃迁主要受自旋-晶格相互作用的影响,并伴有寿命展宽。考虑到2a中NDI分子具有类似的对称性,但显示出更宽且更对称的峰,这归因于二聚体内部强烈的自旋偶极-偶极相互作用导致的久期展宽,掩盖了各向异性,使其无法区分。对于3b,其不对称峰形不同于传统的粉末各向异性,但类似于Dysonian线型(A/B=1.5),即传导电子顺磁共振(cEPR),这可能与一维π电子的离域有关。随后的脉冲EPR表征与上述分析一致,3b由于自旋关联较弱表现出最长的相干时间T2,而2b的T2较短。然而,对于2a,二聚体内强自旋-偶极相互作用引起自旋快速退相干,无法观察到回波衰减。
图3. 三种晶体的连续波EPR(常温,变温)和脉冲EPR谱图总结与展望:
综上所述,该研究利用平面萘二酰亚胺(NDI),通过改变取代基和还原剂,设计了三种具有不同结构的阴离子自由基晶体。其中NDI自由基分别以单体、π-二聚体和一维π-堆叠的形式存在,独特的聚集形式影响了自由基分子间的相互作用,在其独特的固态紫外-可见-NIR吸收光谱和电子自旋共振光谱中得到体现。这项工作通过系统性研究NDI自由基结构与性质的关系,可为后续自由基材料的设计与构建带来启发。
相关成果以Research Article的形式发表在CCS Chemistry。马於光教授和乔现锋教授为论文共同通讯作者,贺献东和甘汉麟为论文共同第一作者。该研究工作得到了国家自然科学基金的支持。
文章详情:
Spin interactions in planar naphthalenediimide anion radical crystal: from isolated monomer to π-aggregates
Xiandong He, Hanlin Gan, Jiaming Wu, Jiaji Yang, Qinglin Jiang, Jiang Zhang, Xianfeng Qiao* and Yuguang Ma*
Cite this by DOI: 10.31635/ccschem.025.202405226文章链接:https://doi.org/10.31635/ccschem.025.202405226
扫码在线阅读
扫描或长按左侧二维码,
在线阅读全文
原标题:《CCS Chemistry | 华南理工大学马於光课题组:平面萘二酰亚胺阴离子自由基晶体中的自旋相互作用:从孤立单体到π聚集体》
本文为澎湃号作者或机构在澎湃新闻上传并发布,仅代表该作者或机构观点,不代表澎湃新闻的观点或立场,澎湃新闻仅提供信息发布平台。申请澎湃号请用电脑访问http://renzheng.thepaper.cn。





- 报料热线: 021-962866
- 报料邮箱: news@thepaper.cn
互联网新闻信息服务许可证:31120170006
增值电信业务经营许可证:沪B2-2017116
© 2014-2026 上海东方报业有限公司




