- +1
2025年“返家乡”暑期大学生社会实践活动报名开始
2025-06-11 19:04
来源:澎湃新闻·澎湃号·政务
字号

2025返家乡社会实践
报名开始啦!
嗨,亲爱的大学生朋友们~暑假快到啦
为了让你的假期快乐并充实
共青团浦江县委联合
浦江县委组织部(人才办)、浦江县人力社保局
共同开展了
2025年“返家乡”
暑期大学生社会实践活动
快来报名吧!
报名信息
报名时间即日起至2025年6月25日
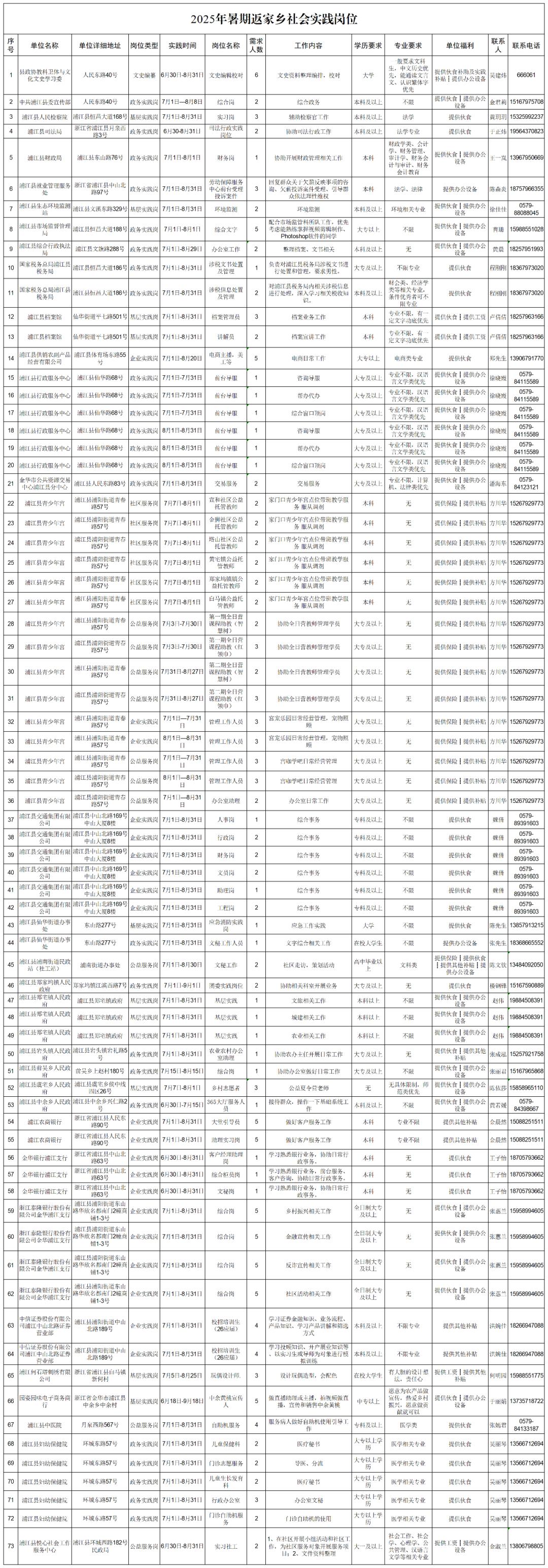
实践岗位公布岗位已录入系统
更多岗位请登录系统查看
扫描下方二维码可获取完整版岗位
实践时间拟集中安排在2025年7月到8月,实践时长原则上不少于1个月,因实习大学生放假、开学情况需调整时间的,由实习人员和所在单位自行商定。
实践对象在校或毕业的全日制大专(高职)及以上在读大学生(含研究生)。
扫码进群提交报名后,请务必扫描下方二维码加入暑期社会实践活动微信群,进群后请备注真实姓名。
报名方式
有意向的大学生,请登录“返家乡”社会实践平台进行注册报名。具体报名流程如下:
1.关注“浦江共青团”公众号,点击下方“返家乡”栏目即可报名申请!
2.首次登录用户需按提示注册账号并登录。
3.登录成功后点击“返家乡项目”→“岗位列表”,“区域筛选”选择“浦江县”即可浏览发布的项目信息,并申报心仪岗位。
期待你回到家乡用行动书写青春
用汗水贡献力量
成为更优秀的自己!
更多权威资讯,请下载诗画浦江APP
来源 | 浦江共青团
原标题:《2025年“返家乡”暑期大学生社会实践活动报名开始》
特别声明
本文为澎湃号作者或机构在澎湃新闻上传并发布,仅代表该作者或机构观点,不代表澎湃新闻的观点或立场,澎湃新闻仅提供信息发布平台。申请澎湃号请用电脑访问http://renzheng.thepaper.cn。
+1
收藏
我要举报





查看更多
澎湃矩阵
新闻报料
- 报料热线: 021-962866
- 报料邮箱: news@thepaper.cn
互联网新闻信息服务许可证:31120170006
增值电信业务经营许可证:沪B2-2017116
© 2014-2026 上海东方报业有限公司
反馈




