- +1
器以载道 | “九章”系列量子计算原型机:实现“量子优越性”接力赛
2020年,量子计算原型机“九章”问世,这一突破使我国成为全球第二个实现“量子优越性”的国家;
2021年,“九章二号”和“祖冲之二号”量子计算原型机成功研制,使我国成为唯一在光学和超导两条技术路线都实现“量子优越性”的国家;
2023年,“九章三号”量子计算原型机比超级计算机快一亿亿倍,确立新的算力里程碑……

光量子干涉实物图图片来源:中国科学技术大学摄影:马潇汉、梁竞、邓宇皓
在惊叹这一系列重大科研成果时,今天,我们一起揭开“九章”神秘的面纱,走近量子计算机。
“九章”实现“量子优越性”
量子计算是一种遵循量子力学规律,调控量子信息单元进行计算的新型计算模式。1981年,诺贝尔奖获得者理查德·费曼首先提出了量子计算机构想。
它在原理上具有超快的并行计算能力,可望通过特定量子算法在一些具有重大社会和经济价值的问题方面,相比传统的电子计算机实现指数级别的加速。因而,研制量子计算机是当前世界科技前沿的最大挑战之一。
2020年12月4日,中国科学技术大学潘建伟团队与中国科学院上海微系统与信息技术研究所、国家并行计算机工程技术研究中心合作,成功构建76个光子的“九章”量子计算原型机。“九章”对经典数学算法高斯玻色取样(高斯玻色取样是一个计算概率分布的算法,可用于编码和求解多种问题)的计算速度,比当时世界最快的超级计算机“富岳”快一百万亿倍。这一突破使我国成为全球第二个实现“量子优越性”的国家。“取名‘九章’,是为了纪念中国古代著名数学专著《九章算术》。”潘建伟说。

“九章”量子计算原型机光路系统原理图 图片来源:中国科学技术大学
2021年,他们进一步成功研制了113光子的可相位编程的“九章二号”和56比特的“祖冲之二号”量子计算原型机,使我国成为唯一在光学和超导两种技术路线都实现了“量子优越性”的国家。
2023年10月11日,他们宣布成功构建255个光子的量子计算原型机“九章三号”。这项成果再度刷新光量子信息技术世界纪录,求解高斯玻色取样数学问题比目前全球最快的超级计算机快一亿亿倍,在研制量子计算机之路上迈出重要一步。

“九章三号”实验装置示意图 图片来源:中国科学技术大学
“九章”系列实现了一个重要的里程碑叫作“量子优越性”,是指当新生的量子计算原型机在某个问题上的计算能力超过了最强的经典计算机,就证明其未来有多方超越的可能,这样的优越性并非一成不变,经典计算机也在通过优化算法与量子计算机竞争。
此前,美国物理学家带领的谷歌团队宣布研制出53个量子比特的计算机“悬铃木”,在全球首次实现“量子优越性”。相比“悬铃木”,“九章”有三大优势:一是速度更快。虽然算的不是同一个数学问题,但与最快的超级计算机等效比较,“九章”比“悬铃木”快100亿倍。二是环境适应性更强。三是弥补了技术漏洞。“打个比方,谷歌的机器短跑可以跑赢超级计算机,长跑跑不赢;我们的机器短跑和长跑都能跑赢。”潘建伟团队的比喻生动地揭示了“九章”的领先之处。
在“量子优越性”基础上 不断探索应用场景
对于量子计算机的研究,国际主流观点认为有三个指标性的发展阶段:
第一阶段,研制50个到100个量子比特的专用量子计算机,实现“量子优越性”里程碑式突破。
第二阶段,研制可操纵数百个量子比特的量子模拟机,解决一些超级计算机无法胜任、具有重大实用价值的问题,比如量子化学、新材料设计、优化算法等。
第三阶段,大幅提高量子比特的操纵精度、集成数量和容错能力,研制可编程的通用量子计算原型机。
那“九章三号”处于哪个阶段?
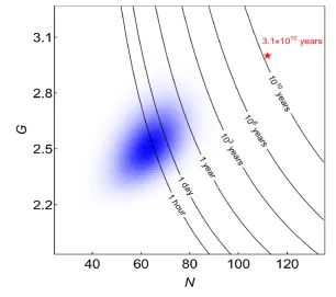
根据公开发表的最优算法,“九章三号”处理高斯玻色取样数学问题的速度比上一代“九章二号”提升一百万倍。“九章三号”1微秒可算出的最复杂样本,当前最快的超级计算机“前沿”(Frontier)约需200亿年。

“九章三号”的计算复杂度需要花费超级计算机的时间 图片来源:中国科学技术大学
中国科学技术大学教授陆朝阳表示,量子计算的运算逻辑和传统电子计算机不同,传统计算机基于二进制进行逻辑运算,每个晶体管相当于一个开关,通过开关的状态表示0和1。每次运算只能处理一位信息,信息量越大,计算时间越长。而量子计算机采用量子比特,它利用量子力学特性比如叠加态和纠缠态,从而实现并行运算。“好比走迷宫,传统计算机每次只能选择一条路去尝试,如果失败了,就只能从头再来。但是量子计算机走迷宫,就好比同时有10个人一起尝试不同的路,瞬间就可以把所有可能都尝试一遍,很快就能找到那条正确的路。”陆朝阳说。
量子计算的另一个特性是随着可操纵的量子数量增多,运算能力呈指数级增长。“九章二号”可操纵113个光子,“九章三号”可操纵255个光子,但运算能力的提升并不是255除以113得到的2.26倍,而是100万倍。
“我认为,九章三号正在从第一阶段向第二阶段跨越。”陆朝阳说,他们在不断巩固第一阶段实现的“量子优越性”基础上,不断探索第二阶段的实用性开发,包括用来解决图论、盲计算、量子精密测量等方面的一些问题,寻找在现实中有潜在应用价值的场景。
量子计算机 距离实用还有多远?
“量子计算机在原理上具有超快的并行计算能力,可望通过特定算法在密码破译、大数据优化、天气预报、材料设计、药物分析等领域,提供比传统计算机更强的算力支持。但要实现具有实用性的通用量子计算机,还有很长的路要走。”潘建伟院士介绍。
近年来,中外科学家持续攻关量子计算研究,不断取得重大突破。“九章三号”在理论上首次开发了包含光子全同性的新理论模型,实现更精确的理论与实验吻合度,同时发展了完备的贝叶斯验证和关联函数验证。即便是这样,“九章三号”距离通用量子计算机还很远。“通用量子计算机需要操纵上千万的量子比特,同时也要具备纠错能力,这些都是目前九章系列量子计算原型机需要迭代实现的,量子技术的实用化是一场接力长跑。”陆朝阳说。
潘建伟团队表示,期待“九章三号”的突破能激发科学界更多关于经典算法模拟的研究,解决各种科学和工程挑战,加快实现通用型量子计算机。
参考资料:
1.“新华每日电讯”公众号.“快一亿亿倍”!中国科学家成功研制——
2.《瞭望》.“九章三号”为什么能这么快?
3.“人民日报评论”公众号.“九章”量子计算机的里程碑意义|新知
4.“光明日报”公众号.“九章”到底有多神?
5.“新华社”公众号.百万分之一秒!它做到了
6.“中国工程学”公众号.量子计算机再次证明自身优越性丨Engineering
7.“新华视点”公众号.里程碑式突破!——潘建伟团队解说“九章”量子计算
制作:北京市科协融媒体中心
本文为澎湃号作者或机构在澎湃新闻上传并发布,仅代表该作者或机构观点,不代表澎湃新闻的观点或立场,澎湃新闻仅提供信息发布平台。申请澎湃号请用电脑访问http://renzheng.thepaper.cn。





- 报料热线: 021-962866
- 报料邮箱: news@thepaper.cn
互联网新闻信息服务许可证:31120170006
增值电信业务经营许可证:沪B2-2017116
© 2014-2025 上海东方报业有限公司




