- +1
格雷沙姆讲座系列之《自然几何与万物形态》第1章:手的形态——对称性、手性与旋向性
我的右手在镜中的倒影是一只左手 —— 它看似与右手相似,实则截然不同。蛋白质、攀缘藤蔓、贝壳等许多自然结构都具有这种被称为 “手性” 的特性:有些明确为左旋,有些为右旋,还有些兼具两种旋向。手性的终极起源,是自然界最大的谜团之一。本讲座将探讨判断物体手性的一般性问题,以及手性如何影响科学的各个分支。
作者:阿兰・戈里利(Alain Goriely)格雷沙姆几何学教授 2025-9-16
译者:zzllrr小乐(数学科普公众号)2026-1-9
作者简介

阿兰・戈里利(Alain Goriely)是一位数学家,其研究兴趣广泛,涵盖数学方法、力学、科学与工程学等多个领域。他在动力系统、数学生物学以及基础力学与应用力学领域的贡献广受认可,尤其以生物生长数学理论的构建而闻名 —— 这一研究的巅峰之作是他具有开创性的专著《生物生长的力学数学》(The Mathematics on Mechanics of Biological Growth,2017年)。
1994年,他在布鲁塞尔大学获得博士学位,随后留校担任讲师。1996年,他加入亚利桑那大学,在著名的应用数学项目中组建了研究团队。2010年,他受邀加入牛津大学,成为首任数学建模首席教授(Statutory Professor of Mathematical Modelling),同时担任圣凯瑟琳学院研究员。目前,他担任牛津工业与应用数学中心主任。
此外,阿兰还基于自身研究相关课题积极开展科学普及工作,研究内容包括植物卷须扭曲、缠绕植物生长、脐带打结、鞭子抽打发声、贝壳形态、大脑建模等。他著有《应用数学简史》(Very Short Introduction to Applied Mathematics,2017年)一书。其学术成就先后获得斯隆研究奖学金(Sloan Fellowship)、英国皇家学会沃尔夫森Wolfson研究奖、美国国家科学院科扎雷利Cozzarelli奖以及工程科学学会工程奖等多项荣誉。2022年,他当选为英国皇家学会会士。2024年起,他成为格雷沙姆几何学教授。2025年,他获得LMS伦敦数学会大卫・克莱顿奖(David Crighton Medal)。详情参阅小乐数学科普:2025年大卫・克莱顿奖授予阿兰・戈里利(Alain Goriely)。
第1章:手的形态——对称性、手性与旋向性
在今年的格雷沙姆系列讲座中,我将探索“自然几何”与“万物形态”。我们的目标是观察周遭存在的各种形式——无论是自然界中的万物,还是人类创造的物品,并揭示支配这些形式的几何原理。我们将从一个最显著且普遍的现象切入:镜子中的事物看似相同,实则不同。一只手、一个贝壳或一段螺旋,在镜中的倒影看似完美复刻,但仔细观察便会发现,镜像无法与原物完全重合。为何两种形态能如此相似,却又存在本质差异?我们又该如何用精准的语言,同时捕捉它们的相似性与差异性?
1.1 手性

图 1.1:我的右手及其镜像
请看我的右手及其镜中倒影(图1.1)。
无论我如何摆放,都无法将右手与它的镜像完全重合。事实上,镜中的右手倒影与我的左手几乎难以区分,就像左手手套无法适配右手,右脚鞋子无法穿在左脚上一样。这两件物品存在本质区别。伊曼努尔·康德曾这样描述:“世上还有什么比手或耳朵的镜像更相似、在所有细节上更一致的呢?然而,我却无法将镜中所见的手,替换成原来的那只手……”[6] 这一观察揭示了纯几何描述的局限性:镜像或许在几何上完全全等、在描述上高度相似,但在现实空间中却无法互换。康德借此探讨了空间的相对与绝对概念。
在数学中,我们可以通过引入“手性”(chirality)的概念来刻画左右之分。1893年,刚被册封为开尔文勋爵的威廉·汤姆森,在牛津大学初级科学俱乐部发表的罗伯特·玻义耳讲座中,首次给出了手性的精准定义:“若一个几何图形或一组点,其在平面镜中理想呈现的镜像无法与自身重合,我便称其为手性的(chiral),并说它具有手性(chirality)。” 若一个物体能与自身镜像重合,则为非手性的(achiral);反之,则为手性的。因此,手性并非物体的某种属性,而是某种属性的缺失。这里的“重合”指的是空间中的平移与旋转组合,即所谓的“刚体变换”——这类变换明确排除了镜像变换。这一组变换与我们对“在空间中移动物体而不使其变形”的理解一致(因此称为“刚体”变换):变换过程中,物体内任意两点的相对位置保持不变。
“手性”(chiral)一词源自希腊语“kheir”(χϵιρ),意为“手”——手是手性的典型范例:人类双手的不对称性,成为了几何、化学和物理学中“手性”概念的核心隐喻与命名来源。环顾四周,我们有时能轻易判断一个物体是否具有手性。通常,非手性与镜像对称性相关(但并非绝对)。因此,任何能被一个平面分割为两个镜像部分的物体都是非手性的。例如,在自然界中,两侧对称动物(Bilateria)是一个庞大的动物类群,其身体在发育过程中可通过一个对称面分为左右两半。人类、昆虫、蠕虫以及许多常见动物都属于这一类群。

图 1.2 自然界中的非手性结构示例:两侧对称动物
两侧对称动物是一个演化支,这类动物的核心特征是在胚胎发育阶段具有两侧对称性。如图所示,许多此类动物在成年后依然保持这种对称性,另有一些则会在成年阶段丧失对称性。需要注意的是,这种镜像对称性并非绝对完美,所有动物体都会衍生出次级手性结构。
大致来说,许多成年两侧对称动物也是非手性的(图1.2):它们的身体结构在矢状面(sagittal plane)反射下具有对称性,即左半部分是右半部分的镜像。这也是我们能讨论“典型两侧对称动物身体结构”,而无需纠结其“左旋”或“右旋”的原因。当然,这种对称性并非完美无缺:心脏与肠道会卷曲,大脑也并非完全对称。在两侧对称生物中,某些功能或结构偏向身体一侧的现象,在生物学中被称为“侧化”(lateralisation)。但在定义该类群的结构层面上,两侧对称动物被描述为非手性生物(至少在发育初期是如此),手性只是后续产生的修饰特征。
由于人类自身是两侧对称动物,且通过近似非手性的身体结构感知世界,我们自然会设计许多工具和制品,使其具有这种双侧对称性。椅子、桌子、梯子,甚至书籍:粗略来看,这些物品都是非手性的,因为它们的镜像可以与自身完全重合。当然,细节设计可能会引入手性——例如汽车的驾驶位、衬衫的纽扣、只有一侧扶手的椅子,或是朝特定方向旋转的螺旋楼梯。但人类制造的许多物品,其默认设计往往遵循双侧非手性原则,这与制造者自身的身体结构相呼应。这也解释了为何镜中的世界初看之下并无太大差异,直到我们关注到细节。
尽管许多动物及其制造的物品大致是非手性的,但自然界中的许多结构本质上是手性的。软体动物同样属于两侧对称动物,但它们的手性在发育早期就已显现,并形成明显的“旋向性”(handedness)(图1.3)。

图 1.3 许多物体具有明确的左旋或右旋手性,这种手性源自人体自身的旋向特征
右旋的贝壳无法与左旋的镜像贝壳重合。藤蔓的扭曲生长也是如此。在分子层面,手性更为根本:氨基酸、糖类和DNA螺旋都以特定的旋向形式存在,无法与其镜像匹配。因此,尽管许多两侧对称动物的宏观身体结构,以及椅子、桌子等物品的形态接近非手性,但生命的精细结构和许多自然形态都受手性支配。正如同我们的左脚与右脚截然不同,鞋子和手套一样,都是手性的。
判断贝壳的左右旋并不复杂:将贝壳的螺旋顶端(顶点)朝上,开口(壳口)朝向自己。若此时壳口位于你的右侧视野,则该贝壳为右旋(dextral);若壳口位于左侧,则为左旋(sinistral)。奇怪的是,大多数腹足纲动物都是右旋的,但某些类群中存在左旋个体,有时在通常为右旋的物种中也会出现罕见的左旋变异体。
自然地,我们希望将旋向性(左旋或右旋)的定义扩展到数学对象上。最简单的标准例子是螺旋线——一种明确的手性结构。在科学定义中,图1.4右侧的螺旋线称为右旋螺旋,左侧的称为左旋螺旋。这遵循“右手定则”:伸出右手,让手指顺着螺旋线远离你的方向卷曲,若伸直的拇指与螺旋线的推进方向一致,则该螺旋为右旋;若需用左手才能使手指卷曲方向与螺旋线匹配,则为左旋。正如费曼曾经所说:“我们知道‘右手定则’只是一种约定:一种便捷的规定。” 但这种约定的本质是什么?它又源自何处?

图 1.4 左旋与右旋螺旋示意图(遵循右手定则)
1.2 一种约定
科学家们试图为“左”和“右”给出正式定义的努力,凸显了这一概念的复杂性。事实上,左右之分并非单纯的好奇心问题:它曾困扰着19世纪的一些伟大思想家。詹姆斯·克拉克·麦克斯韦在完善电磁学理论的最后阶段,就陷入了这一困惑。1871年5月8日,他在给朋友彼得·格思里·泰特的信中倾诉了自己的沮丧:“我太绝望了!我就像尼尼微人一样迷茫!哪只是我的右手?我是不是错乱了?就像一个镜中的人,在虚幻中行走?”[2] 他在信的结尾提出了一个更实际的想法:“我必须联系数学会,让大家就这一方法达成共识”[12]。他指的是伦敦数学会。
果然,三天后,他在学会的一次会议上提出了这个问题。当时出席会议的有威廉·汤姆森(尚未成为开尔文勋爵)和数学家阿瑟·凯莱等学界巨擘。这场讨论被认为至关重要,其内容于1871年5月25日刊登在《自然》杂志(第82期)上。麦克斯韦在文中明确指出了问题的核心:“在纯数学领域,这种缺乏统一性的情况几乎不会造成不便,但在天文学、电磁学以及所有物理科学中,明确并坚持采用某一种体系至关重要。” 麦克斯韦意识到,若要定义三维空间中的向量旋度等运算,必须首先确定空间是基于左手坐标系还是右手坐标系。但科学界应选择哪一种呢?经过权衡,学会达成了一项约定:“采用右旋体系,以开瓶器或藤蔓卷须为象征。”
两年后,这一问题在麦克斯韦的《电磁通论》[7, p.24]中再次出现,他引用了晶体学家威廉·哈洛威斯·米勒的一项建议:
“W. H. 米勒教授曾向我提议,由于藤蔓的卷须是右旋螺旋,啤酒花的卷须是左旋螺旋,空间中的两种关系体系可分别称为‘藤蔓体系’和‘啤酒花体系’。我们所采用的藤蔓体系,是林奈所倡导的体系,也是除日本外所有文明国家的螺丝制造者所采用的体系。”
让我们逐一解析麦克斯韦的这些表述。
首先,麦克斯韦关于日本螺丝的说法令人费解。我们尚未找到证据表明,19世纪的日本使用左旋螺丝。但有趣的是,人类学家记录到因纽特人曾使用左旋螺丝[11]。
麦克斯韦的定义尝试在多个方面都存在疑问。米勒是晶体学领域的巨擘,但绝非植物学家,他的生物学表述并不准确。在英国,“vine”指的是葡萄藤(Vitis vinifera),但葡萄藤的卷须并非固定的右旋或左旋——它们的旋向会沿着长度方向发生变化(见图1.5)。

图 1.5 卷须是部分攀缘植物特化形成的变态叶,用于攀附支撑物。卷须的形态通常是左旋与右旋螺旋丝体的混合体。
达尔文早已描述过这种现象,我在早期研究中将其命名为“卷须扭曲”(tendril perversion)[9]。麦克斯韦脑海中所想的似乎并非卷须本身,而是藤蔓茎干缠绕支撑物的方式。但葡萄藤并非缠绕植物,它依靠卷须攀爬——卷须是特化的叶片,而非茎干。相比之下,啤酒花确实是缠绕植物,但它并不产生卷须。
麦克斯韦的第二个问题在于他对林奈观点的引用。在《植物哲学》(Philosophia Botanica)第一版(1751年)[13]中,林奈确实对旋向性进行了分类:啤酒花(Humulus)是左旋的(sinistrorsum),而旋花(Convolvulus)是右旋的(dextrorsum)(见图1.6)。

图 1.6 攀缘植物有左旋与右旋之分,但它们是否适合作为旋向性的定义参照?
事实上,旋花的茎干会以右旋螺旋的方式缠绕在杆子上,就像普通的开瓶器一样。然而,在第三版中,林奈插入了一条勘误,指出第103页的“左”应改为“右”,但并未修正第39页的对应内容。这种不一致造成了长期的困惑。19世纪的植物学家分裂为两派:格雷、艾希勒、杜沙尔特和达尔文支持第一版的描述,而德堪多、莫尔、比肖夫和萨克斯则认同修正后的观点。
直到20世纪,关于“左”和“右”的恰当物理定义仍是一个未解之谜。对物理学而言,决定性的突破出现在β衰变的发现——中子在这一过程中会转变为质子、电子和中微子。数十年来,人们一直认为自然规律对左旋和右旋无差别对待,这一原则被称为“宇称守恒”。
但在1956年,吴健雄和她的合作者对钴-60原子核进行了一项如今闻名于世的实验,结果表明,在β衰变中,电子的发射方向相对于核自旋存在偏好性。这一发现证明,在粒子物理的最深层次,自然界本身就是不对称的[15, 14]。1957年,这一突破最终为物理学提供了“左”和“右”的物理定义——它不再仅仅是一种约定,而是弱相互作用本身所固有的属性。
然而,这也成为了诺贝尔奖历史上最著名的遗漏之一:提出该想法的李政道和杨振宁获得了奖项,而完成这项艰难且具有决定性意义实验的吴健雄却未被授予奖项。
在本讲座中,我们将遵循麦克斯韦的约定。若有疑问,只需回家拿起一个普通的螺丝或开瓶器,追踪其螺纹的轨迹。除非你碰巧遇到了罕见的左旋工具,否则你所追踪的曲线将是右旋螺旋,正如图1.4所示。
1.3 无处不在的手性
手性并非仅在物理学中扮演关键角色。生物学中充满了左旋和右旋结构,生命本身就依赖于这种不对称性。构成生命体的分子几乎都是手性的,而自然界以惊人的一致性选择了其中一种旋向。蛋白质的基本组成单位——氨基酸,几乎只以左旋形式存在;而DNA和RNA中的糖类则是右旋的。这种严格的分子旋向性至关重要:若替换为相反的旋向,蛋白质将无法正确折叠,遗传信息也无法被读取。这种不对称性会在不同尺度上传递,这也是为什么从蜗牛壳的螺旋扭曲、胶原蛋白纤维的螺旋排列,到我们心脏的位置,更大的生物结构也都具有手性。从这个意义上说,地球上的生命本质上是“单手性”的。
手性在化学中的重要性,最早是由路易·巴斯德在19世纪中叶揭示的。在研究酒石酸盐晶体时,他发现某些晶体存在镜像形式。通过用镊子仔细分离这些晶体,巴斯德发现,其中一种晶体的溶液会使偏振光向左旋转,而另一种则会使其向右旋转。当两种形式以等比例混合时,它们的旋光效应会相互抵消,形成所谓的“外消旋混合物”(racemic mixture)。这标志着立体化学的诞生,也揭示了大多数对映异构体(enantiomers,分子的左旋或右旋形式)的行为存在差异。
令人惊叹的是,巴斯德早在开尔文勋爵提出“手性”一词数十年前,就已精准把握了手性的本质。他的描述在核心思想上与现代定义几乎一致:
“若从形状及其相同部分的重复排列角度观察任何物质对象,我们很快会发现它们可分为两大类,特征如下:一类物体在镜中的倒影可与自身重合;另一类物体的倒影则永远无法与自身完全重合,以复刻其所有细节。直梯、叶片排列分明的茎干、立方体、人体……都属于第一类。螺旋梯、藤蔓、手、不规则四面体……都属于第二类。后者缺乏对称面。”[10]
一个日常中显著的对映异构体差异例子是香芹酮(carvone)——一种存在于精油中的分子。香芹酮的一种对映异构体具有留兰香的气味,而其镜像异构体则具有葛缕子籽的气味。从化学角度看,它们几乎难以区分:相同的原子以相同的键序连接。我们的眼睛往往无法分辨左右旋的差异,但我们的鼻子却可以。因为嗅觉依赖于手性受体,它们会将两种对映异构体感知为完全不同的气味。
手性的影响也可能更为严重,沙利度胺(thalidomide)的故事就是一个惨痛的例证。20世纪50年代末,沙利度胺作为一种治疗妊娠呕吐的药物上市,其产品是两种对映异构体的混合物。其中一种具有预期的治疗效果,而另一种则导致了全球数千名儿童出现严重的出生缺陷甚至死亡。更糟糕的是,这两种异构体在体内会相互转化,使得分离变得无效。沙利度胺事件成为了药物研发中忽视手性可能导致严重后果的悲剧性教科书案例,它也让化学和医学界认识到,分子的旋向性并非次要细节,而是关乎生死的关键问题。这一事件也说明了对药物进行严格科学监管的重要性。如今,当我们遗憾地看到,为了政治权宜而削弱或牺牲这一原则时,其代价将以生命为计量单位。
1.4 手性与维度
手性与维度之间的关系十分微妙。在一维空间中,情况非常简单。以一个连通区域为例,比如一条直线上的区间(图1.7)。这类物体始终是非手性的,因为平移变换可以将区间的镜像映射到自身。然而,若考虑非连通集合(如两个不重叠的区间),则可能出现手性。想象两个区间在直线上不对称排列:它们的镜像若不交换两个区间的顺序(这是不允许的),就无法映射回原始构型。因此,一维非连通集合可能是手性的,而连通集合则不可能。

图 1.7 一维空间内的一维连通集合必然为非手性结构,而部分非连通集合则可能具有手性。但在二维空间中,一维集合均为非手性结构。
但存在一个微妙之处:在一维空间中具有手性的集合,在更高维度中会变成非手性的。再以直线上两个不对称排列的区间为例,它们在一维空间中无法与自身镜像重合,但如果将这个集合置于平面中,其表面的手性就会消失。在二维空间中对该图形进行反射后,我们可以在平面内旋转它,使其镜像与原始图形重合。换句话说,任何一维集合嵌入二维空间后都是非手性的。

图 1.8 二维平面中的螺旋线均具有手性,因其非顺时针即逆时针。但同一螺旋结构在三维空间中则为非手性结构。
在二维空间中,情况变得更为复杂。圆、正方形等简单形状是非手性的,因为通过一条直线的反射可以使它们与自身重合(图1.8)。但许多平面图形(如螺旋线)是手性的,因为若不改变旋转方向,反射无法使它们与自身镜像重合。然而,同样地,任何二维物体在三维空间中都是非手性的——我们可以在第三维中翻转它,使其恢复原始形态。
这种手性对维度的依赖性,早在19世纪就被奥古斯特·费迪南德·莫比乌斯注意到了。他证明了一个普遍结论:任何n维空间中的图形,若允许在n+1维空间中移动,则该图形是非手性的。原因是额外的维度提供了足够的自由度,可以将物体“翻转”为其镜像。因此,在直线上具有手性的一维集合,在平面中是非手性的;在平面中具有手性的二维图形,在三维空间中是非手性的,依此类推。因此,手性始终是相对于物体所处的嵌入空间而言的。这一思想的哲学意义并未被后世思想家忽视。近一个世纪后,维特根斯坦以其特有的犀利方式表述道:“若能在四维空间中翻转,右手手套便可戴在左手上。” 手性不仅取决于物体本身,还取决于其所处的空间。
敏锐的读者会知道,在现代物理学中,弦理论或大统一理论等常常涉及超过三个空间维度的模型。在这些情境下,手性问题再次变得至关重要。例如,标准模型中的粒子(如电子和中微子)在我们的三维世界中表现出手性行为:它们在弱相互作用中区分左旋和右旋。若我们想象这些粒子嵌入更高维度,莫比乌斯的结论警告我们,它们的手性可能会消失。然而,许多高维理论也要求手性的存在。
1.5 手性的度量
在处理三维物体时,仅仅判断“是否具有手性”往往不够,我们还希望了解物体的“手性程度”。这实际上涉及两个问题。首先,我们能否找到一个数值指标,为结构赋予手性程度?该指标对于非手性物体应为零,对于手性物体应为正值,且随着物体与非手性状态的偏离程度增加而增大。第二个问题是,我们如何区分左旋和右旋结构?若根据麦克斯韦的约定,确定了一个螺旋是右旋的,我们能否判断一个土豆(通常具有手性)是左旋还是右旋?

图 1.9 三叶纽结或土豆,是手性物体的经典范例。但它们究竟是左旋还是右旋?我们又该如何将适用于手、鞋子或螺旋线的旋向性定义,推广至空间中任意曲线的旋向性判定?
因此,一个良好的手性度量指标应满足:非手性物体的指标值恰好为零;随着物体不对称性的增加,指标的绝对值平滑增大;理想情况下,指标的符号能指示物体是左旋还是右旋。
我们将以三维空间中的光滑曲线(直线、圆、螺旋线和光滑纽结都属于这一范畴)为例进行讨论。
量化手性的第一步是检测物体是否为非手性。原则上,我们可以使用一种不区分左右的度量方法。假设我们有一个体积为vol(S)的三维物体S。我们将其在镜中反射,得到S~,然后观察S与镜像的任意刚体运动ℜ(S~)之间的体积重叠程度[4]。若物体体积为零(如曲线或曲面),则用长度或面积替代体积。通过对所有可能的旋转和平移取最小值,我们得到:

当S为非手性物体时,该数值恰好为零;否则,其取值范围在0到1之间,可被解释为物体的“手性程度”。
但这种度量方法存在一个缺陷:它严重依赖于底层度量的选择。例如,我们可以定义一种距离,使得平面中的任何手性三角形都能与非手性三角形无限接近[1]。此外,对所有刚体运动进行最小化计算在计算上难度较大,且结果无法区分旋向性——因为根据定义,χvol(S) = χvol(S~) [4]。因此,χvol提供了一种量化物体与完美镜像对称性偏离程度的方法。然而,这一定义虽然正确,但计算不便,通常需要数值积分,因此并不理想。
第二步,为物体赋予手性符号,难度更大。举个例子,在空间曲线r(s)的弗伦内-塞雷(Frenet–Serret)描述中,挠率τ(s)衡量了曲线在任意给定点偏离平面的程度。螺旋线具有恒定的挠率(右旋螺旋的挠率为正,左旋螺旋的挠率为负)。但在一般情况下,挠率会随点的不同而变化,因此单一的局部挠率值无法捕捉形状的整体旋向性。
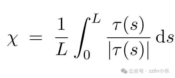
一种可能的手性度量方法是积分挠率:

它是挠率符号在整个弧长L上的平均值。在每个点上,比值τ(s) /|τ(s)|仅提取符号——右旋挠率为+1,左旋挠率为-1。因此,该积分记录了曲线偏向右旋或左旋挠率的程度。若曲线中左旋和右旋挠率的区域完美平衡,则平均值为零,χ=0,这与非手性或扭曲结构(如葡萄藤卷须,其旋向沿长度方向变化)一致。若曲线是完美的右旋螺旋,则τ(s)保持恒定正值,积分结果为χ=+1;同理,完美的左旋螺旋的积分结果为χ=-1。
然而,这一方法存在一个潜在问题,即“手性连通性问题”。假设我们有两个形状S₋和S₊,它们都是手性的,但旋向相反(见图1.10)。

图 1.10 这是一族曲线,由以弧长为窗口对某条曲线进行采样得到。其中一侧的曲线近乎完美的右旋螺旋(手性值为 +1),另一侧的曲线则近乎完美的左旋螺旋(手性值为 -1)。由于手性值 χ 被假定为连续变量,因此必然存在一条手性值 χ=0 的曲线 —— 尽管该曲线本身仍具有手性(这一点可通过令两段螺旋的半径互不相等来保证)
我们可以找到一条连接两者的路径,使得路径上的每条曲线都是手性的。由于手性被假设为连续的,且沿路径取值为正和负,因此路径上必然存在一个手性指标为零的点。因此,对于任何手性度量指标,我们都能找到一个手性物体,其指标值为零——这是一种“假阴性”!

图 1.11 物体在风或流 u 作用下,所受扭矩会驱动其产生旋转 ω 。当扭矩与旋转方向一致时,旋转向量 ω 的幅值即为特征值,其正负符号可用于判定物体的手性。
刻画手性的一种更精细方法是“手性矩阵”(chirality matrix)。其灵感来源于物理学:当一个不对称物体置于均匀外场中(如液晶中的分子或粘性流体中的细丝),外场不仅会推动物体移动,还会使其发生扭转。这种扭转可以通过场向量与诱导旋转向量之间的线性关系来描述,而将一个向量映射到另一个向量的对象就是矩阵。由于旋转方向在镜像反射下会反转,因此该矩阵是一个“伪矩阵”(pseudo-matrix)——它在镜像变换下会改变符号,就像力学中的角动量一样。
通过沿曲线或细丝的长度积分局部力和扭矩,可精确定义其手性矩阵?。该矩阵的数学性质十分显著:它是对称且迹为零的,其特征值可用于判断旋向性。若三个特征值均不为零,则曲线是手性的,特征值的符号模式指示其左旋或右旋;若一个特征值为零,则情况模糊,反映了更深层次的手性连通性问题。因此,手性矩阵提供了一种强大但微妙的方法,将形状的几何特征与物体在受力时的扭转物理特性联系起来。
手性矩阵?为判断旋向性提供了一种简洁的代数方法。由于它是对称伪矩阵,因此总能对角化,得到三个满足γ₁+γ₂+γ₃=0的实特征值(γ₁,γ₂,γ₃)。在镜像反射?下,矩阵会改变符号,即 ?(?) = -? 。若物体是非手性的,则其手性矩阵在反射下必须保持不变,唯一可能的情况是特征值满足(γ, -γ , 0)——即一个特征值为零,另外两个特征值大小相等、符号相反。对于真正的手性物体,三个特征值通常均不为零。此时,符号模式决定旋向性:若两个特征值为正、一个为负,则物体为右旋;若两个特征值为负、一个为正,则物体为左旋。这一约定与我们熟悉的螺旋线定义一致。通过这种方式,?的特征值为手性提供了纯粹的数学“指纹”,通过线性代数将几何形状与旋向性联系起来。
1.6 手性的控制
大象的鼻子是自然界中旋向性的一个令人印象深刻的例子。鼻子可以上下活动、卷曲抓取物体,但要实现这些动作,它必须进行卷曲。当你向大象呈现一根垂直的圆木时,它必须决定从左侧或右侧抓取。令人惊讶的是,大象在抓取物体时表现出明显的偏好。仔细观察发现,每只大象都会始终以顺时针或逆时针方向卷曲鼻子,就像人类偏好使用某一只手一样。这种行为不对称被称为“鼻性”(trunkedness),与人类熟悉的“手性”概念相似(但与手性不同,种群中鼻性的左旋和右旋比例约为50:50)。
这一现象的迷人之处在于,此处的手性并非由外部因素强加(如螺丝的螺纹),而是必须主动控制的。大象的大脑会发送信号,使鼻子偏向某一螺旋方向,久而久之,这种偏好变得稳定。这一挑战与工程学中设计软机器人手臂或触手状操作器所面临的问题相似:如何让一个原则上可向任意方向弯曲的结构,实现全局的旋向运动。

图 1.12 象鼻是一种结构极为复杂的肌肉液压结构,包含纵向、径向及螺旋(斜向)肌群。该结构可被简化为仅含三个执行器的最简模型。
大象的鼻子是一种肌肉液压结构(muscular hydrostat),没有骨骼,但内部有超过90,000个独立的肌束,组织成17个主要肌群。这些肌群包括纵向肌、径向肌和螺旋状(斜向)肌。对于复杂运动而言,最重要的是斜向或螺旋状肌肉——它们以螺旋形式环绕在鼻子周围。当这些肌肉收缩时,不仅会使鼻子弯曲,还会产生扭转,这对于卷曲、抓取和旋转物体至关重要。这种斜向结构与沿长度方向分布的纵向纤维相结合,赋予了鼻子非凡的灵活性、力量和精细控制能力。
为了用一个简化模型刻画这一设计的本质,我与斯坦福大学的合作者决定将设计简化为仅三个执行器:一个纵向肌束和两个旋向相反的螺旋状肌束[5]。纵向元件提供简单的弯曲,而一对螺旋状执行器则引入扭转。通过这三个组件的协同工作,该模型再现了大象鼻子的大部分运动模式,尽管它比生物原型简单得多。
在这样的系统中,扭转的控制来自螺旋状肌束的激活平衡。以相反方向同等激活它们,会抵消扭转效应,产生纯粹的弯曲;仅激活一个螺旋状肌束会产生扭转;非对称组合则会产生弯曲和扭转的混合状态。通过这种方式,扭转成为一种可控的变形模式,可以根据肌肉(或执行器)激活的相对强度进行调节。大象通过数千个协调的肌束实现这一点;而我们仅用一对螺旋状执行器就能理解其原理。
1.7 结语
用我们的左手或右手,我们仅触及了手性的皮毛。仍有许多根本性问题有待解决:为何人类种群中90%是右利手?为何90%的贝壳物种是右旋的?生物分子的手性是如何被选择的,以至于只存在一种形式的DNA和氨基酸,而非它们的镜像?身体的非手性是如何被控制的,使得我们的双手几乎是完美的镜像?手性如何从最小的分子尺度传递到器官尺度?为何我们如此容易混淆左右?当你放空浴缸时,水真的会逆时针旋转吗?我邀请你在森林中漫步、在海滩上徜徉或在浴缸中放松时,思考这些问题!
1.8 延伸阅读
关于对称性与宇称不守恒的经典科普探索,包括对1956年吴健雄实验的标志性讨论,可参见马丁·加德纳(Martin Gardner)的《左右手宇宙》(The Ambidextrous Universe,1964)[3]。
克里斯·麦克马纳斯(Chris McManus)的《右手,左手》(Right Hand, Left Hand,2002)[8] 精彩且全面地探讨了大脑、身体、原子和文化中的不对称性,融合了神经科学、生物学和手性的广泛主题。
原文参考文献
[1] 安杰伊·B·布达(Andrzej B. Buda)、托马斯·奥夫·德·海德(Thomas Auf Der Heyde)、库尔特·米斯洛(Kurt Mislow). 论手性的量化. 《德国应用化学国际版》(Angew. Chem. Int. Ed. Engl.),31(8):989-1007,1992年8月
[2] 大卫·O·福尔法(David O Forfar)、克里斯·普里查德(Chris Pritchard). 麦克斯韦与泰特的非凡故事,1999年
[3] 马丁·加德纳(Martin Gardner). 《左右手宇宙:左、右与宇称的崩塌》(The Ambidextrous Universe: Left, Right, and the Fall of Parity). 企鹅图书公司,纽约,1964年。修订版1969年;第三版1979年,更名为《新左右手宇宙:从镜像反射到超弦的对称性与不对称性》(The New Ambidextrous Universe: Symmetry and Asymmetry from Mirror Reflections to Superstrings)
[4] G. 吉拉特(G. Gilat)、Y. 戈登(Y. Gordon). 手性物体的几何性质. 《数学化学杂志》(J Math Chem),16(1):37-48,1994年
[5] 巴托什·卡奇马尔斯基(Bartosz Kaczmarski)、索菲·莱安扎(Sophie Leanza)、蕾妮·赵(Renee Zhao)、德里克·E·莫尔顿(Derek E. Moulton)、埃伦·库尔(Ellen Kuhl)、阿兰·戈列利(Alain Goriely). 大象鼻子作为活性细丝的最小设计. 《物理评论快报》(Physical Review Letters),132(24):248402,2024年
[6] 伊曼努尔·康德(Immanuel Kant). 约翰·弗里德里希·哈特诺赫出版社,里加,1783年
[7] 詹姆斯·克拉克·麦克斯韦(James Clerk Maxwell). 《电磁通论》(A treatise on electricity and magnetism). 克拉伦登出版社,牛津,1873年
[8] 克里斯·麦克马纳斯(Chris McManus). 《右手,左手:大脑、身体、原子和文化中不对称性的起源》(Right Hand, Left Hand: The Origins of Asymmetry in Brains, Bodies, Atoms, and Cultures). 哈佛大学出版社,马萨诸塞州剑桥市,2002年
[9] 泰勒·麦克米兰(Tyler McMillen)、阿兰·戈列利(Alain Goriely). 固有弯曲杆中的卷须扭曲. 《非线性科学杂志》(J. Nonlinear Sci.),12(3):241-281,2002年
[10] 路易·巴斯德(Louis Pasteur). 天然有机产物的分子不对称性研究. 收录于《1860年化学讲座》(Leçons de chimie professées en 1860),《巴黎化学学会化学讲座》(Leçons de chimie professées à la Société chimique de Paris)第5卷. L. 阿歇特出版社,巴黎,1861年
[11] M. P. 波尔西尔德(M. P. Porsild). 爱斯基摩人技术中的螺丝原理. 《美国人类学家》(Am. Anthropol.),17(1):1-16,1915年
[12] 克里斯·普里查德(Chris Pritchard). 啤酒花卷须与藤蔓卷须:彼得·格思里·泰特与四元数的推广(第一部分). 《数学公报》(The Mathematical Gazette),82(493):26-36,1998年
[13] 卡尔·冯·林奈(Carl Von Linné). 《植物哲学》(Philosophia Botanica). 戈多夫·基塞韦特出版社,斯德哥尔摩,1751年
[14] 吴健雄(Chien-Shiung Wu). 宇称不守恒. 收录于《粒子物理学原始思想与重大发现史》(History of Original Ideas and Basic Discoveries in Particle Physics),第381-400页. 施普林格出版社,1996年
[15] 吴健雄(Chien-Shiung Wu)、欧内斯特·安布勒(Ernest Ambler)、雷蒙德·W·海沃德(Raymond W Hayward)、戴尔·D·霍普斯(Dale D Hoppes)、拉尔夫·珀西·赫德森(Ralph Percy Hudson). β衰变中宇称守恒的实验检验. 《物理评论》(Physical review),105(4):1413,1957年
[1] Andrzej B. Buda, Thomas Auf Der Heyde, and Kurt Mislow. On Quantifying Chirality. Angew. Chem. Int. Ed. Engl., 31(8):989–1007, August 1992.
[2] David O Forfar and Chris Pritchard. The remarkable story of Maxwell and Tait, 1999.
[3] Martin Gardner. The Ambidextrous Universe: Left, Right, and the Fall of Parity. Penguin Books, New York, 1964. Revised ed. 1969; 3rd ed. 1979, retitled The New Ambidextrous Universe: Symmetry and Asymmetry from Mirror Reflections to Superstrings.
[4] G. Gilat and Y. Gordon. Geometric properties of chiral bodies. J Math Chem, 16(1):37–48,1994.
[5] Bartosz Kaczmarski, Sophie Leanza, Renee Zhao, Derek E. Moulton, Ellen Kuhl, and Alain Goriely. Minimal design of the elephant trunk as an active filament. Physical Review Letters, 132(24):248402, 2024.
[6] Immanuel Kant. Johann Friedrich Hartknoch, Riga, 1783.
[7] James Clerk Maxwell. A treatise on electricity and magnetism. Clarendon, Oxford, 1873.14
[8] Chris McManus. Right Hand, Left Hand: The Origins of Asymmetry in Brains, Bodies, Atoms, and Cultures. Harvard University Press, Cambridge, MA, 2002.
[9] Tyler McMillen and Alain Goriely. Tendril perversion in intrinsically curved rods. J. Nonlinear Sci., 12(3):241–281, 2002.
[10] Louis Pasteur. Recherches sur la dissymétrie moléculaires des produits organiques naturels. In Leçons de chimie professées en 1860, volume 5 of Leçons de chimie professées à la Société chimique de Paris. L. Hachette et Cie, Paris, 1861.
[11] M. P. Porsild. The principle of the screw in the technique of the eskimo. Am. Anthropol.,17(1):1–16, 1915.
[12] Chris Pritchard. Tendril of the hop and tendril of the vine: Peter guthrie tait and the promotion of quaternions, part i. The Mathematical Gazette, 82(493):26–36, 1998.
[13] Carl Von Linné. Philosophia Botanica. Godofr. Kiesewetter, Stokholm, 1751.
[14] Chien-Shiung Wu. Parity violation. In History of Original Ideas and Basic Discoveries in Particle Physics, pages 381–400. Springer, 1996.
[15] Chien-Shiung Wu, Ernest Ambler, Raymond W Hayward, Dale D Hoppes, and Ralph Percy Hudson. Experimental test of parity conservation in beta decay. Physical review, 105(4):1413, 1957.
© 阿兰·戈里利教授 2025/2026年
参考资料
https://www.gresham.ac.uk/watch-now/shape-hands
https://www.gresham.ac.uk/sites/default/files/transcript/R_2025_09_11_0735_Goriely_T_FINAL.pdf
本文为澎湃号作者或机构在澎湃新闻上传并发布,仅代表该作者或机构观点,不代表澎湃新闻的观点或立场,澎湃新闻仅提供信息发布平台。申请澎湃号请用电脑访问http://renzheng.thepaper.cn。





- 报料热线: 021-962866
- 报料邮箱: news@thepaper.cn
互联网新闻信息服务许可证:31120170006
增值电信业务经营许可证:沪B2-2017116
© 2014-2026 上海东方报业有限公司




