- +1
STTT:隗佳/张义成/周晓曦团队揭示,双靶点CAR-T细胞疗法具有治愈TP53突变癌症的潜力

撰文丨王聪
编辑丨王多鱼
排版丨水成文
TP53 基因是人类基因组中最重要的肿瘤抑制基因之一,被称为“基因组守护者”,其编码的 p53蛋白通过调节细胞对基因毒性应激的反应来维持基因组稳定性,包括 DNA 损伤修复、细胞周期停滞、细胞凋亡、代谢调控、衰老和自噬。
在复发/难治性侵袭性B 细胞非霍奇金淋巴瘤(r/r B-NHL)中,尤其是弥漫性大 B 细胞淋巴瘤(DLBCL)中,TP53 基因突变率高达 30% - 63%,且与治疗耐药性、病情进展以及显著较差的总生存期和无进展生存期相关。
CD19 靶向的 CAR-T 细胞疗法已成为复发/难治性侵袭性B 细胞非霍奇金淋巴瘤(r/r B-NHL)二线治疗的重要手段,可带来持续缓解,并有可能实现长期疾病控制。然而,其在携带 TP53 基因突变的患者中,其治疗效果仍存在争议。
在这项最新研究研究中,研究团队报告了两组 TP53 突变的复发/难治性侵袭性 B 细胞非霍奇金淋巴瘤患者接受 CD19/CD22 双靶点嵌合抗原受体 T 细胞(CAR-T 细胞)治疗的长期随访结果,这些患者接受的是单药治疗或与自体干细胞移植(ASCT)联合治疗。此外,我们还提供了全面的安全性数据,包括感染并发症和继发性恶性肿瘤的发生率,并确定了与该高危人群临床结局相关的预后因素。
2026 年 2 月 13 日,华中科技大学同济医学院附属同济医院隗佳、张义成、周晓曦等,在 期刊发表了题为:Long-term follow-up demonstrates the curative potential of dual CD19/CD22 CAR-T-cell therapy alone or combined with autologous stem cell transplantation in TP53-altered relapsed/refractory B-cell non-Hodgkin lymphoma的研究论文。
该研究表明,单独使用双靶点 CD19/CD22 CAR-T 细胞疗法,或联合自体干细胞移植,在 TP53 基因突变的复发/难治性 B 细胞非霍奇金淋巴瘤中具有治愈潜力。

在复发或难治性侵袭性 B 细胞非霍奇金淋巴瘤(r/r B-NHL)患者接受 CAR-T 细胞治疗的情况下,TP53 基因突变的预后意义仍不明确,尤其是在长期结局方面。
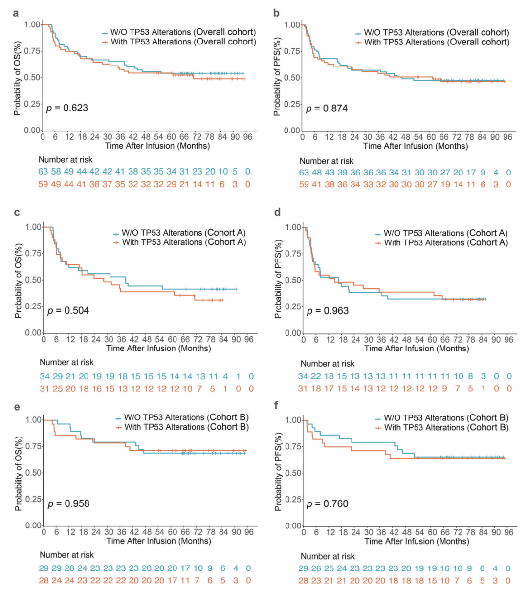
在这项最新研究中,研究团队报告了 122 例 r/r B-NHL 患者的长期随访结果(中位随访时间为 77.77 个月),这些患者接受了单独的双靶向 CD19/CD22 CAR-T 细胞疗法(A 组,n = 65)或在自体干细胞移植(ASCT)后接受双靶向 CD19/CD22 CAR-T 细胞疗法(B 组,n = 57)。其中有59 名患者(48.4%)中携带 TP53 基因突变。
结果显示,在两个队列中,TP53 基因突变亚组和野生型(无 TP53 基因突变)亚组之间的总生存期(OS)和无进展生存期(PFS)均无显著差异。

值得注意的是,序贯自体干细胞移植(ASCT)-CAR-T 细胞疗法(B 组)相较于单独使用 CAR-T 细胞疗法(A 组),5 年总生存率(70.2% vs 40.0%)和无进展生存率(64.9% vs 35.4%)提高。5 年累计非复发死亡率总体为 10.7%(A组 为 9.2%,B 组为 12.3%)。
2.5% 的患者中出现了继发性恶性肿瘤,而输注治疗后 3 个月以上出现的严重感染相关事件发生率为 13.6%,这表明治疗的长期安全性良好。多变量分析确定治疗方案和存在巨大病灶是总生存期(OS)和无进展生存期(PFS)的独立不良预后因素。
总的来说,这些研究结果表明,双靶点 CD19/CD22 CAR-T 细胞疗法,尤其是与自体干细胞移植(ASCT)相结合时,可能减轻 TP53 基因突变带来的不良预后影响,在复发/难治性侵袭性 B 细胞非霍奇金淋巴瘤中提供持续的临床益处,并且长期毒性可控。
论文链接:
https://www.nature.com/articles/s41392-025-02571-7
原标题:《STTT:隗佳/张义成/周晓曦团队揭示,双靶点CAR-T细胞疗法具有治愈TP53突变癌症的潜力》
本文为澎湃号作者或机构在澎湃新闻上传并发布,仅代表该作者或机构观点,不代表澎湃新闻的观点或立场,澎湃新闻仅提供信息发布平台。申请澎湃号请用电脑访问http://renzheng.thepaper.cn。





- 报料热线: 021-962866
- 报料邮箱: news@thepaper.cn
互联网新闻信息服务许可证:31120170006
增值电信业务经营许可证:沪B2-2017116
© 2014-2026 上海东方报业有限公司




