- +1
算法辅助发现数学常数间的内在规律——Rotem Elimelech
近几十年来,计算机算法为数学领域的诸多发现提供了助力,其应用主要集中在大参数空间的探索。随着计算机算力的不断提升,一种极具吸引力的可能性逐渐显现 —— 人类直觉与计算机算法的结合,有望发现那些原本难以捉摸的数学结构。

本文中,我们将展示如何通过计算机辅助,发现一种此前未知的数学结构 —— 守恒矩阵场(CMF,conservative matrix field)。借鉴拉马努金机器项目的研究思路,我们开发了一款大规模并行计算机算法,为众多数学常数推导出了大量连分数形式的公式。从这些公式中提炼的规律,不仅助力我们构建出首个守恒矩阵场,还揭示了该结构的核心特性。
守恒矩阵场让 π 与 ln2、自然常数 e 与冈珀茨(Gompertz)常数等不同数学常数之间显现出意想不到的关联。此外,这一矩阵场还能建立起看似毫无关联的公式之间的联系,实现了数百个现有公式的统一,并能衍生出无穷多个新公式。我们以黎曼 ζ 函数 ζ(n) 的取值为例验证上述结论,该函数在数学和物理领域已被研究数百年。
同时,守恒矩阵场也为数学常数的无理性证明提供了新方法,例如,我们利用这一结构对阿佩里(Apéry)关于 ζ(3) 无理性的经典证明进行了推广。本研究借助全球数千台个人计算机开展计算,证明了大规模计算方法在解决数学领域长期悬而未决的难题、发现不同科学领域间潜在关联方面的巨大潜力。
作者:Rotem Elimelech等(以色列海法理工学院电气与计算机工程系)2024-6-14
Rotem Elimelecha, Ofir Davida, Carlos De la Cruz Menguala, Rotem Kalischa, Wolfgang Berndta, Michael Shalyta, Mark Silbersteina,Yaron Hadada, Ido Kaminera
PNAS《美国国家科学院院刊》
译者:zzllrr小乐(数学科普公众号)2026-3-28
摘要
数学常数在几何学、组合数学、数论、概率论等众多数学分支和科学领域中自然出现。π、e、黄金分割比 φ 以及黎曼 ζ 函数的取值
ζ(n)=1⁻ⁿ+2⁻ⁿ+3⁻ⁿ+…(n=2,3,…)
都是广为人知的数学常数。黎曼 ζ 函数是数论领域数学探索的核心,其零点分布与素数分布存在密切关联,而黎曼 ζ 函数零点的精确分布问题构成了黎曼猜想 —— 这一至今仍是纯数学领域最重要的未解难题。
一个数学常数出现在不同的数学场景中,既体现了其重要性,也往往能推动学者发现数学领域的核心关联。欧拉解决巴塞尔问题的经典案例便是这一规律的绝佳印证,他证明了 ζ(2)=π²/6的恒等式,由此建立起 π 与素数分布之间的深层联系。
数学常数与其他数学结构间新关联的发现,往往源于研究者的敏锐直觉或创造性突破。人们不禁猜想,是否存在一种更底层的核心概念,能够涵盖全部或大部分数学常数,并为这些常数的分类和排序提供理论框架。本文中,我们提出了这样一种数学结构 —— 守恒矩阵场(CMF,conservative matrix field),并证明该结构不仅能复现已知的常数间关联,还能揭示此前未被发现的新关联。通过这些关联,守恒矩阵场构建了一个统一的理论框架,有助于深入研究数学常数的相互关系、内在特性及复杂度。
研究意义
本研究属于科学人工智能领域,通过连分数公式建立了不同数学常数之间的关联,并为证明数学常数的无理性这一数论核心问题提供了新方法。本研究的关键突破是发现了阶乘约简(factorial reduction)现象 —— 这一现象在从经典研究到最新成果的众多数学常数公式中普遍存在。本研究是实验数学领域规模最大的自动化发现研究之一,数千名志愿者参与其中,使大规模并行算法连续运行超过两年。该研究不仅展现了实验数学对广大数学爱好者群体的影响力,也为这类研究的进一步开展提供了借鉴。
利益声明
作者声明无利益冲突。本文为PNAS《美国国家科学院院刊》直接投稿文章,©2024 作者所有,由《美国国家科学院院刊》出版,采用知识共享署名 - 非商业性使用 - 禁止演绎 4.0 协议(CC BY-NC-ND)发布。
一、数学常数的复杂度
理解数学常数内在本质的核心问题是判断其有理性,这一属性可作为衡量常数复杂度的重要指标。判断一个常数是有理数还是无理数并非易事,黎曼 ζ 函数在奇数处的取值情况便印证了这一点:1978 年阿佩里证明了 ζ(3) 的无理性,这是该领域为数不多的研究成果,而所有更高阶的奇数 ζ 值的有理性至今仍未确定(相关部分成果见参考文献 6-8)。同样,卡塔兰常数 G、冈珀茨常数 δ、欧拉 - 马歇罗尼常数 γ 等著名常数的无理性也尚未得到证明。

除了将数简单划分为有理数和无理数外,无理性测度的概念为衡量数的复杂度提供了更精细的方法。该测度用于量化一个常数被无穷多个不同有理数逼近的速度:有理数的无理性测度为 0,无理数的无理性测度至少为 1,部分数的无理性测度甚至可以任意大。然而,绝大多数实数的无理性测度为 1,这意味着学界需要一套更精准的常数分类体系。
本研究的目标是通过量化表示各数学常数的公式复杂度,建立更精细的常数层级结构,并据此对常数进行聚类。接下来,我们将介绍连分数公式,并阐述这类公式为何特别适用于计算机辅助研究。
二、算法驱动的常数公式发现
阿佩里关于 ζ(3) 无理性的经典证明,正是利用连分数公式实现了对该常数的高效逼近:

该公式是多项式连分数(PCF,polynomial continued fraction)的典型例子,其部分分子和部分分母均为关于深度 n 的整系数多项式。对这类连分数进行截断,可得到一列逼近目标常数的有理数,进而用于估算该常数的无理性测度。
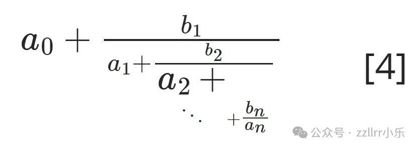
多项式连分数的数学应用范围十分广泛,可用于表示三角函数、贝塞尔函数、伽马函数、超几何函数等多种数学函数,还能推广一大类无穷级数,并对应具有多项式系数的线性递推公式。同时,多项式连分数的计算复杂度较低,这一特性对计算机辅助研究至关重要。多项式连分数空间具有可枚举性,因此可对其进行系统探索,且每个连分数都能被高效求解。
为致敬斯里尼瓦瑟・拉马努金对数学的独特贡献而命名的拉马努金机器项目(Ramanujan Machine project),首次提出通过算法自动发现多项式连分数公式的理念。该项目设计了两种算法,通过将公式的数值解与常数匹配,发现如上述 ζ(3) 形式的连分数公式,其中中途相遇算法(meet-in-the-middle)是当时最成功的算法。该算法通过暴力搜索,将公式的数值展开式与常数 η 的线性分式变换形式(c₀+c₁η)/(c₂+c₃η)进行匹配,成功发现了大量公式,其中一个公式还为卡塔兰常数的无理性测度建立了新的下界。
为突破中途相遇算法等暴力搜索方法的局限性,需要开发更先进的探索策略。通过分析拉马努金机器项目得到的公式数据库,我们在公式空间中发现了一个有趣的数值特性 ——阶乘约简(定义见第一部分),这一特性为我们开发更高效的公式发现算法奠定了基础。
该算法属于启发式算法,其核心猜想为:著名数学常数的连分数公式常表现出阶乘约简特性,并基于此对搜索空间进行剪枝。尽管算法以启发式猜想为基础,但通过该算法发现的所有公式均经过了独立验证。该算法的一大优势是适用于分布式计算,支持大规模并行搜索,由此发现的大量已知常数的多项式连分数公式,数量远超以往所有人工推导的结果。
本研究采用了实验数学的研究思路,即利用算法挖掘数学规律。算法能够分析海量且难以人工处理的数据集,检测数学结构中的模式和规律,为数学家提出更有力的猜想提供线索,甚至为严格的数学证明奠定基础。这些研究结果会进一步推动新的实验和猜想,形成数学领域的 “科学研究方法”。本研究通过两轮算法驱动的科学研究,最终发现了守恒矩阵场的概念及其应用。

与物理实验的作用类似,计算框架为数学家提供了 “虚拟实验室”。算法与数学家的协同合作,加速了数学领域的发展,成为杰出数学家偶然灵感发现的重要补充。
三、数学结构的发现:守恒矩阵场
守恒矩阵场的发现,源于我们通过算法得到的大量多项式连分数公式数据集。对这些公式的分析显示,其中存在反复出现的对称性和规律,例如 π 的以下连分数公式:

上述第一个公式由布朗克尔发现、欧拉证明,第二个由拉马努金机器项目发现,第三个由皮克特等人发现。在我们的公式数据集中,大量例子都呈现出这种显著的相似性,这引发了一个问题:对于每个给定的常数,其所有公式空间中是否存在一个统御性的结构?
通过算法得到的海量公式,让我们得以识别出若干无穷参数族公式,这些公式可表示 e、ln2、π、ζ(3) 等常数。对这些公式间关系的研究,催生了守恒矩阵场这一数学结构(定义见第二部分)。该结构不仅实现了对无穷公式族的统一,还能推导出收敛速度更快的公式。这一结构源于公式中发现的 “守恒律”,与物理学中表征守恒矢量场的守恒律相似。
守恒矩阵场的一个重要应用是,为证明数学常数的无理性指明了可行方向,我们以 ζ(3) 为例验证了这一点,其他案例见补充材料第九部分。我们猜想,守恒矩阵场能够统一一个特定常数的所有多项式连分数公式。此外,守恒矩阵场还揭示了不同常数间的有趣关联,例如 π² 与卡塔兰常数、π³ 与 ζ(3)、e 与冈珀茨常数之间的关联。这些发现表明,包括黎曼 ζ 函数取值在内的众多数学常数,可能通过守恒矩阵场的框架相互关联,这也支持了 “守恒矩阵场构建了数学常数层级结构” 的观点。
1 分布式阶乘约简算法
与拉马努金机器项目的算法类似,本研究的算法旨在发现将数学常数的线性分式变换与整系数多项式连分数相等的公式。该研究的核心挑战在于搜索空间的无穷性 —— 随着系数允许范围的扩大,搜索空间呈指数级增长。若直接对搜索空间进行并行探索,会产生大量冗余计算:例如,将目标常数的搜索空间分配给不同计算节点时,不同节点会对同一个连分数进行重复计算,仅用于与不同常数或其变换形式匹配;而若让计算节点共享结果以避免冗余,又会产生巨大的通信开销。
为解决上述问题,本算法专门搜索具有阶乘约简特性的连分数。我们的核心猜想是:阶乘约简是连分数收敛于著名数学常数的标志性特征。该策略非常适合分布式计算,既不会产生冗余计算,也不存在通信瓶颈;同时,无需遍历常数及其变换形式的无穷空间,大幅简化了搜索过程。
该算法不仅用于搜索猜想的公式,其本身也基于一个指导性猜想。值得注意的是,算法生成的所有公式均经过独立验证,因此无需为阶乘约简算法的合理性进行证明,该算法本身可作为一个独立的猜想等待形式化证明。
这一基于猜想的算法被证明是极为有效的,发现了大量数学常数的新公式,其中许多公式是以往方法未能发现的。阶乘约简特性的发现,得益于拉马努金机器项目前期算法得到的海量公式数据库。回顾研究过程,大量经过独立验证、且表现出阶乘约简特性的公式,进一步印证了 “阶乘约简是收敛于目标常数的公式的显著特征” 这一观点。
1.1 阶乘约简:实验数学 “实验室” 的发现
阶乘约简是关于多项式连分数渐近分数的分子pₙ和分母qₙ的最大公约数gₙ的一个观测结论。
无穷连分数的第 n 个渐近分数,是将连分数在深度 n 处截断后得到的数值,形式为:

该渐近分数也可表示为商pₙ/qₙ,其中pₙ和qₙ由以下递推公式定义:
uₙ =aₙ uₙ₋₁ +bₙ uₙ₋₂ 【5】
初始条件为p₋₁=1、p₀=a₀,q₋₁=0、q₀=1。若aₙ和bₙ均为整数,则pₙ和qₙ也为整数,此时记二者的最大公约数为gₙ。pₙ和qₙ的增长速度均为阶乘的幂,即pₙ, qₙ ∼ (n!)ᵈ(d 为正整数)。
表 1 展示了两个连分数的渐近分数示例,及其对应的pₙ、qₙ和gₙ取值。
aₙ = 1+2n,bₙ = n²
| | | qₙ | gₙ |
| | | | |
| | | | |
| | | | |
| | | | |
| | | | |
| | | | |
| ⋮ | ⋮ | ⋮ | ⋮ |
pₙ/qₙ → 4/π
aₙ = 4n,bₙ = n²
| | | qₙ | gₙ |
| | | | |
| | | | |
| | | | |
| | | | |
| | | | |
| | | | |
| ⋮ | ⋮ | ⋮ | ⋮ |
pₙ/qₙ → 0.224216…
表 1 两个多项式连分数的渐近分数示例
本算法的核心观测结论为:收敛于目标数学常数的多项式连分数表现出一个特殊性质 —— 渐近分数的既约分子和既约分母的增长速度至多为指数级,即:
pₙ/gₙ、qₙ/gₙ ~ sⁿ 【6】
而非约简前pₙ和qₙ更快的阶乘级增长速度,我们将这一观测到的性质命名为阶乘约简(factorial reduction)。
研究发现,阶乘约简是一种极为罕见的特性:大范围搜索表明,具有阶乘约简特性的连分数空间,是所有多项式连分数空间中的一个 “低维子空间”。但令人惊讶的是,拉马努金机器项目前期算法发现的、收敛于 π、ζ(3)、卡塔兰常数等众多常数的所有多项式连分数公式,均表现出阶乘约简特性;同时,我们对数百年间文献中收敛于这些常数的公式进行分析后发现,所有经过验证的连分数和无穷级数均具有阶乘约简特性。
本研究的算法正是利用了这一意外却简单的特性:通过数值测试多项式连分数渐近分数的既约分子和既约分母的增长速度,仅保留指数级增长的连分数,舍弃阶乘级增长的连分数。该方法无需预先确定极限常数,因此阶乘约简特性为高效识别收敛于数学常数的连分数提供了可能。图 2 展示了对若干多项式连分数的测试,体现了本算法的有效性。

图2 阶乘约化(FR)性质的观测结果——其与各类常数的关联及其在连分数广阔空间内的稀疏性
(A) 不同连分数的约化渐近分数增长率 s=ⁿ√(pₙ / gₙ)的计算结果,详见表中内容。我们采用绘制负值 s 的方式,表示 pₙ / gₙ 存在负极限。即便是极为相似的连分数,也可能具有截然不同的增长率。我们观测到,当连分数收敛于某一已知数学常数时,均会呈现指数增长特性。该方法可推导得出多种数学常数的表达式。
(B) 对同形式连分数的增长率进行对比后发现,唯一具有阶乘约化性质的连分数,恰好是阿佩里(Apéry)在文献(4,5)中发现的、收敛于ζ(3) 的那一个。连分数参数的细微变化即会对阶乘约化性质产生影响,这表明该性质的存在具有极强的稀缺性。
(C) 表中列出了图(A)中计算的各项多项式连分数,标注了其中具有/不具有阶乘约化性质的连分数,以及收敛于已知常数或收敛于无闭合解析式常数的连分数。其中,G 为卡塔兰常数;ζ^(5,1)=ζ(5)-ζ(4)+ζ(3)-ζ(2)+1 是公式11中取 s=5、R=1 时对应的连分数。
阶乘约简不仅是识别常数公式的有效工具,其本身也是一个值得研究的数学问题,该概念与阿佩里型无理性证明相关,还能为其他常数的无理性证明提供帮助。
1.2 公式搜索的分布式实现
阶乘约简特性的发现,让分布式阶乘约简(DFR)算法的设计成为可能,该算法的核心步骤如下:

图 3 差分阶乘约化(DFR)算法的实现流程
本地方案构建:
我们的数据库收集来自文献资料和过往算法运行结果的公式,以此定义参数化多项式连分数的方案。搜索空间的参数范围根据算力水平确定。
异地阶乘约化验证:
依托伯克利开放式网络计算平台(BOINC)志愿者社区提供的分布式计算能力,由各节点分别对连分数进行求值运算并开展阶乘约化验证 —— 这是该算法中计算量最大的环节。验证通过的案例会被标记,以待后续分析。
本地结果核验:
对所有标记案例的阶乘约化特性进行独立核验,随后采用整数关系探测算法(PSLQ)(文献 40–42)将其与已知常数进行匹配。
本地构建多项式连分数的搜索空间方案;
将该方案发送至服务器,由服务器将其解析为若干小计算块,确保普通家用计算机能在合理时间内完成单块计算,计算块通过伯克利开放式网络计算平台(BOINC)进行分发;
由志愿者捐赠的远端计算节点执行各计算块,检验块内每个多项式连分数是否具有阶乘约简特性,并将检测结果返回(阶乘约简为极罕见事件);
本地对所有检测到的阶乘约简案例进行自动验证;
尝试将每个验证后的、极限为 v 的公式与数学常数 η 匹配,将假设的等式(a+bη)/(c+dη)=v转化为a+bη−cv−dηv=0,利用 PSLQ 算法寻找该方程的整数解 a、b、c、d,PSLQ 算法的成功求解即表示匹配成功,所有验证后的公式(无论是否匹配成功)均被保存;
对匹配成功的连分数进行更高深度的计算,对比更多位数值以进一步验证,验证后将这些匹配结果作为新猜想保存。
尽管绝大多数阶乘约简案例都能成功匹配到数学常数,但仍有部分案例无法匹配 —— 原因是 PSLQ 算法仅能针对输入的有限常数列表进行测试。这些未匹配的案例仍会被保存为公式候选,用于后续结合更多常数进行测试、改进 PSLQ 算法的应用方式,或借助未来开发的更先进算法进行分析。
公式搜索中计算量最大的环节是阶乘约简的识别,原因是多项式连分数的候选空间十分庞大。例如,对次数分别为 5 和 10 的多项式aₙ和bₙ进行搜索(该子空间因包含 ζ(5) 的公式而具有研究价值,ζ(5) 的无理性仍是悬而未决的问题),仅系数在 -10 至 10 之间的多项式就包含3×10²²个候选,现有计算能力难以完成这一计算量。为缩小搜索空间,我们采用非典范表示法对多项式进行筛选。
分布式计算为大参数空间的搜索提供了可能。我们首先在理工学院的宙斯计算集群上运行该分布式算法,随后借助 BOINC 社区将算法部署到数千台个人计算机上。本研究发现的数千个公式,很大程度上得益于 BOINC 社区的贡献。通过 BOINC 实现分布式计算的一大优势是,无论新手还是专家,都能参与到数学发现的过程中。
在 BOINC 社区的支持下,本研究的 DFR 算法从 2021 年 10 月开始在线运行。截至本文撰写时,该算法已部署在 5000 多台计算机上,运行期间有超过 1000 名志愿者参与。
1.3 算法发现的公式示例
本分布式算法发现了大量连分数公式,形成的数据集成为本研究后续发现的基础。本节展示该数据集中的部分公式示例,这些公式均为首次发现,且截至目前大部分尚未得到证明。研究结果可在相关网站查询,完整公式列表正以在线库的形式整理,可供未来实验数学研究使用。
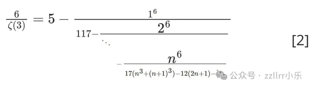
首先展示黎曼 ζ 函数取值的部分公式,DFR 算法发现的结果包括:

该公式及其他相关公式可推广为无穷公式族,与勒奇(Lerch)超越函数Φ 相关,该函数定义为:

其中 z、s 为复数,α>0。该函数的部分取值具有显式表达式,且包含多个数学常数,例如以下公式建立了 ζ(3) 与 π³ 的关联:

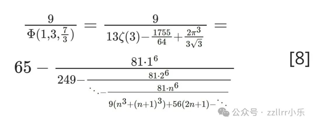
算法还发现了包含不同 ζ 值的公式,例如:

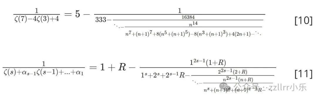
以及公式【10】

该搜索还发现了无穷多族公式,这类公式可关联任意数量的整数ζ值,其自变量取值上限为连分数中多项式bₙ次数的一半。我们在公式 【11】 中给出了其中一族公式:该公式对应的多项式次数为 5,根经参数R平移,其极限记为1/ζ^(s,R);对于任意有理数R∈ℚ,均可推导得到系数α₁,…,αₛ₋₁∈ℚ(详见补充材料附录 S3.A 节)。
公式【11】中所示的连分数通式族,仅仅是一个更广泛无穷公式族的子集—— 该广泛公式族可针对每个具有有理根的多项式bₙ,构造出一套含参的aₙ多项式集合。我们对该公式族展开了探究,并在补充材料附录 S3 节中给出了相关证明。这些公式的复杂性恰恰凸显了差分阶乘约化(DFR)算法的应用前景,因为现有算法根本无法发现此类公式。
我们的研究以算法为驱动,发现了适用于其他常数的表达式,例如卡塔兰常数G:

自动化搜索还发现了大量代数数的公式,包括次数大于 2 的代数数,例如:

该连分数近期也被其他研究发现,且本研究发现其属于任意次根的参数公式族:

补充材料第八部分S8进一步证明,该公式族本身是更广泛连分数公式族的特例,后者的极限已在相关研究中被求解。
2 守恒矩阵场
实现 DFR 算法后,我们从得到的大量公式中提炼规律,其中一种方法是识别具有共同模式、且与不同数学常数相关的公式聚类。

图4 从连分数的无穷公式族中生成高效收敛序列
表格给出了一组含参连分数公式族。各行对应参数α的整数值,由此得到的公式收敛于ζ(3)的分式线性变换。对每个序列中的所有元素进行该变换的逆变换后,可生成全部收敛于ζ(3)的序列。随后,我们沿序列构成的二维网格选取 “对角线” 轨迹采样,构造出一条新序列 —— 即从后续序列中依次选取对应元素。这条构造得到的序列可对ζ(3)实现高效逼近,并据此证明了ζ(3)的无理性。
值得注意的是,这类公式聚类会自然形成(参见图4),对其性质的探索能带来有趣的发现。具体而言,我们提出了一种数学结构,可对无穷多个多项式连分数进行推广。该结构具有独特的数学性质,能推导出具有新特征的多项式连分数,尤为重要的是,该结构不仅能推导出阿佩里用于证明 ζ(3) 无理性的多项式连分数,还能将其方法推广到其他常数的证明中。
2.1 算法发现的无穷公式族
DFR 算法得到了大量公式,我们将其归为若干无穷参数族。以 ζ(3) 相关的无穷公式族为例,该公式族由参数 α 进行参数化。计算发现,对于任意有理数值的 α,该公式族的极限均为双伽马函数ψ⁽²⁾的取值(双伽马函数定义为 Γ'(z)/Γ(z) 的导数,Γ 为伽马函数)。对于任意整数值的 α,该公式族均能通过线性分式变换得到 ζ(3)=−ψ⁽²⁾(1)/2。
对每个整数值 α 对应的公式进行逆变换,可得到无穷多列收敛于 ζ(3) 的序列。我们从第 n 个序列中选取第 n 项,构造出一列收敛于 ζ(3) 的有理数,该序列的收敛速度远快于其构建所用的任意一个连分数,为 ζ(3) 提供了更高效的表示形式 —— 而这一序列正是阿佩里用于证明 ζ(3) 无理性的序列。
这一发现表明,可基于无穷连分数公式族构建高效的常数公式。下一节将对该方法进行形式化定义,揭示其背后的数学结构 —— 该结构不仅能推广我们的发现,还能建立不同数学常数间的关联。更多无穷公式族的例子见补充材料第三部分S3。
2.2 利用守恒矩阵场实现公式统一
我们提出一种数学结构,可将表示特定常数的所有连分数公式族统一起来。为解释该概念的起源和意义,我们将连分数转化为矩阵表示,并以 ζ(3) 的公式为核心示例进行分析。
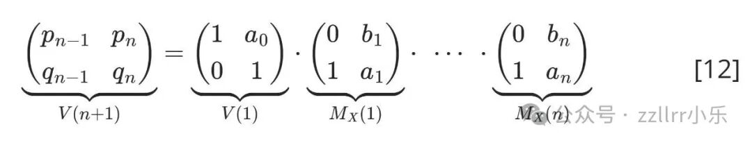
任意连分数均可表示为 2×2 矩阵的乘积,因为连分数本质上是线性分式变换的复合。渐近分数的分子pₙ和分母qₙ满足的递推公式,可转化为矩阵形式:

矩阵V(n)被定义为系统在整数点 n=1,2,3,… 处的状态矩阵,矩阵Mx(n)为从 n 到 n+1 的一步转移所需的作用矩阵。上式描述了从整数点 1 到 n+1 的转移过程,当n→∞时,状态矩阵V(n+1)列向量的比值pₙ₋₁/qₙ₋₁和pₙ/qₙ均收敛于连分数的极限。
考虑图 4 表格中由整数参数 α 索引的无穷公式族,每个公式均收敛于 ζ(3) 的一个线性分式变换。为每个公式的矩阵表示增加对索引 α 的依赖,可得:
V(n+1,α)=V(1,α)⋅Mx(1,α)⋅…⋅Mx(n,α) 【13】
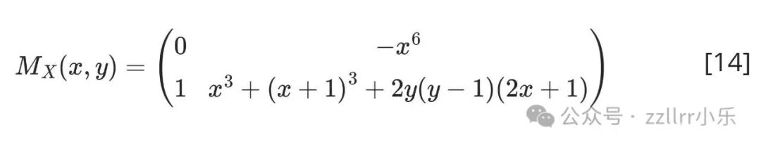
其中矩阵Mx(x,y)定义为:

公式【13】可直观解释为沿水平轨迹的连续转移,我们将 α=1,2,3,… 对应的水平轨迹排列为从下到上的平行线,形成一个二维网格。为方便分析,将参数 (n,α) 重新标记为 (x,y)。
接下来,我们分析网格中沿垂直方向的单位转移所需的作用,即从V(x,y)到V(x,y+1)的转移,记该转移的作用矩阵为Mʏ(x,y)。为使该记号有明确定义,水平和垂直转移需满足交换性,即对所有整数 x,y≥1,有:
Mx(x,y)⋅Mʏ(x+1,y)=Mʏ(x,y)⋅Mx(x,y+1) 【15】
该条件我们在图5B中解释。


图 5 守恒(保守)向量场与守恒矩阵场的对比
(A) 守恒向量场具有路径无关性,即沿不同路径的积分结果相同。
(B) 类似地,守恒矩阵场同样具有路径无关性,但该性质针对的是沿路径的矩阵乘法运算。运算所得矩阵仅取决于初始位置与最终位置。有趣的是,研究发现守恒矩阵场具备一项额外特性:延伸至无穷远的路径对应连分数表达式。
(C) 图中所示的每条路径均对应同一数学常数的不同表达式。此处给出的连分数示例,均源自自然常数e对应的守恒矩阵场(详见补充材料附录 S4.A 节)。对于任意存在守恒矩阵场的常数,均可推导得到其对应的连分数表达式。
我们提出如下猜想:所有收敛于某一常数的连分数与无穷级数,均可由该常数对应的单一守恒矩阵场推导得出。
一般而言,对于任意的Mx(x,y),连接矩阵Mʏ(x,y)并非必然为关于 (x,y) 的多项式矩阵,但令人惊讶的是,在我们的示例中,Mʏ(x,y)具有如下形式:
守恒矩阵场的定义为:若 2×2 矩阵Mx(x,y)和Mʏ(x,y)的元素均为关于 x 和 y 的整系数多项式,且在Mx和Mʏ行列式非零的 x,y 范围内满足上述守恒性质(公式【15】),则称这两个矩阵构成一个守恒矩阵场。
守恒性质(公式【15】,或称cocycle equation 上循环方程)保证了沿二维网格中任意轨迹转移的作用矩阵,仅与轨迹的初始和最终坐标有关。这一路径无关性特征与物理学中守恒矢量场的固有性质相似,只是将路径积分替换为矩阵乘法。基于这一类比,守恒矩阵场的状态V(x,y)可理解为矩阵势,表示从固定原点(如 (1,1))到点 (x,y) 的任意轨迹的作用矩阵。具体而言,V(x,y)可通过沿连接原点和点 (x,y) 的任意轨迹,依次相乘矩阵Mx和Mʏ得到。
V (x, y) = Mx (1, 1) · Mx (2, 1) · · · · · Mx (x − 1, 1)
· Mʏ (x, 1) · Mʏ (x, 2) · · · · · Mʏ (x, y − 1)
V (x, y) = Mʏ (1, 1) · Mʏ (1, 2) · · · · · Mʏ (1, y − 1)
· Mx (1, y) · Mx (2, y) · · · · · Mx (x − 1, y)
即函数V(x,y)的计算可通过两种方式实现:先向右平移x-1个单位,再向上平移y-1个单位;反之亦然。
我们将从原点出发的轨迹的极限,定义为当沿轨迹趋于无穷时,势矩阵 V 右列元素的比值。在上述示例守恒矩阵场中,沿水平轨迹的极限对应图 4 第一行的连分数。一个重要的观测结论是:该示例守恒矩阵场中,沿任意轨迹的极限均收敛于 1/ζ(3)(该结论已在相关研究中得到证明)。基于这一结论,我们可从守恒矩阵场的不同轨迹方向,推导出大量 ζ(3) 的公式。更令人惊讶的是,这一性质在多个守恒矩阵场中均成立,从而为各类数学常数生成了无穷公式族。
我们构建了丰富的守恒矩阵场集合(见补充材料第四部分S4),这些矩阵场最初由 DFR 算法从图 4 所示的无穷公式族中发现,而这些示例又促使我们发现了守恒矩阵场的解析构造方法(见补充材料第八部分)。该构造方法表明,守恒矩阵场是有理 Wilf-Zeilberger 对概念的推广。有趣的是,与算法发现的守恒矩阵场一样,为 π、ζ(2) 等常数解析构造的守恒矩阵场,其极限也具有轨迹不变性。这表明,存在一个基本原理统御着一类具有明确定义极限的守恒矩阵场。对该类矩阵场进行公理化,有望拓宽守恒矩阵场的应用范围,从优化数值逼近方法、辅助符号计算,到为无理性证明提供新途径。
守恒矩阵场的定义要求两个矩阵Mx(x,y)和Mʏ(x,y)满足守恒性质,该定义可自然推广到 d 个两两交换的矩阵:
Mx₁(x₁,…,xd),…,Mxd(x₁,…,xd)
形成d 维守恒矩阵场(每个矩阵仍为 2×2)。补充材料第五部分展示了一个四维守恒矩阵场的示例,该矩阵场沿任意无穷轨迹均收敛于 ζ(2)。
2.3 基于守恒矩阵场的常数间关联
我们已经发现,每个守恒矩阵场可通过沿不同的直轨迹,生成一个常数的无穷多公式,每个公式均可转化为连分数。且值得注意的是,若沿一个方向的公式具有阶乘约简特性,则沿所有方向的公式均具有该特性。这些观测结果引出一个极具吸引力的猜想:一个常数的所有连分数公式,均可由一个单一的高维守恒矩阵场生成。
计算实验表明,守恒矩阵场可建立不同数学常数间的关联。具体而言,从非 (1,1) 的点(如 (1/2,1))出发的轨迹,会生成收敛于新极限的序列,且这些序列均源于同一个矩阵场。与整数平移不同 —— 整数平移通过线性分式变换将极限与原常数关联,非整数有理平移往往会得到不同的常数。例如,沿 y 轴将初始点平移 1/2 后,π 和2可由同一个守恒矩阵场生成;四维守恒矩阵场将 ζ(2) 与卡塔兰常数 G 关联起来,π³ 与 ζ(3) 也存在类似关联;对轨迹进行非整数有理缩放,也能建立常数间的关联,例如将 π 的矩阵场某一轴缩放 1/2 后,沿 x 方向的轨迹可将 π 与 ln2 关联。
这些关联具有重要的研究价值,因为它们能将一个常数的公式迁移到另一个常数,还有助于证明常数间的共同性质。若两个常数可通过有理平移从同一个矩阵场生成,则可将它们归为同一层级 —— 守恒矩阵场保证了它们由具有相同结构、多项式次数相同的递推公式推导而来。
守恒矩阵场中不同的轨迹,可通过具有迥异属性的公式表示同一个常数,例如收敛速度和无理性测度的差异。下文将分析二维矩阵场中不同斜率的直轨迹,如何为对应常数的无理性测度提供不同的下界。
2.4 无理性证明
自阿佩里突破性地证明 ζ(3) 的无理性以来,学界一直尝试将其方法推广,为其他常数的无理性提供证明。本节将证明,ζ(3) 的守恒矩阵场可为其无理性证明提供系统化方法,且该方法可推广到不同的守恒矩阵场,为其他常数的无理性证明开辟新路径。
所有这类证明的核心前提是:收敛于一个常数的任意连分数,都会生成一列有理数逼近,若该逼近的收敛速度足够快,则可证明该常数的无理性。这一结论可通过刘维尔 - 罗思(Liouville–Roth)无理性测度进行量化。实数 L 的无理性测度定义为所有满足以下条件的 δ 的上确界δ₀:存在一列收敛于 L 的不同有理数{pₙ/qₙ},使得对于充分大的 n,有:

【17】
根据狄利克雷的经典结论,有理数的无理性测度δ₀=0,无理数的无理性测度δ₀≥1。结合这两个结论,可得无理性判定准则:若收敛于 L 的无穷有理序列具有正的无理性测度,则 L 为无理数。
可将有理序列{pₙ/qₙ}的无理性测度 δ定义为:存在该序列的一个子序列满足上式的最大 δ 值。该 δ 值为极限常数的无理性测度δ₀提供了下界,因此可用于证明常数的无理性。例如,阿佩里用于证明 ζ(3) 无理性的连分数,其无理性测度 δ≈0.08。
守恒矩阵场为 δ 提供了闭式公式,将阿佩里的方法推广到任意多项式连分数,为每个常数提供了参数化的有理逼近族。该公式源于我们在矩阵场中发现的强阶乘约简特性(经次数平衡后):记g(x,y)=GCD(V(x,y))为矩阵 V 四个元素的最大公约数,数值实验表明,我们发现的绝大多数守恒矩阵场中,对于二维网格中趋于无穷的任意直轨迹t(n)=(x(n),y(n)),既约商Vᵢⱼ(x,y)/g(x,y)均呈指数级增长,而非阶乘级增长。我们猜想,若守恒矩阵场中四个既约商的多项式次数相同,则强阶乘约简是该类矩阵场的固有特性。指数增长的底数 s 与轨迹相关,可由任意矩阵元素ij推导得到,即sⁿ≈Vᵢⱼ(t(n))/g(t(n))。
因此,闭式 δ 公式为不同轨迹提供了不同的无理性测度值:
【18】
其中∣eₘᵢₙ∣≤∣eₘₐₓ∣为当 x,y 趋于无穷时,轨迹t(n)=(x(n),y(n))的一步转移矩阵的特征值。
2.5 ζ(3) 的无理性证明
为找到守恒矩阵场中使 δ 取最大值的轨迹,我们在二维网格的每个点处提取数值δ=δ(x,y),该值可由下式推导得到(该式由公式【17】条件推出):

【19】
其中V~(x,y)=V(x,y)/g(x,y)为网格中每个位置 (x,y) 的既约势矩阵。由此得到定义在二维网格上的函数δ:ℕ²→ℝ,该函数沿每个方向趋于无穷时的极限,即为该方向对应的有理逼近的无理性测度。因此,我们需要寻找使该极限取最大值的方向。图 6 给出了若干示例对应的δ(x,y) 分布情况,所有满足δ>0 的位置均标记为红色。沿图中红色区域内的任意轨迹构造序列,均可得到用于证明该常数无理性的序列。

图 6 利用守恒矩阵场提取无理性度量
(A) 从ζ(3)的守恒矩阵场中提取的无理性度量。所有停留在红色区域内的无穷轨迹,均可生成满足δ>0的序列,从而证明ζ(3)的无理性。最优δ值沿x=y轨迹取得,该轨迹等价于阿佩里连分数(文献 4、5、31)。
(B) 沿x轴平移1/3个单位后的ζ(3)守恒矩阵场。变换后得到的守恒矩阵场收敛于一个由ζ(3)与x3组合而成的常数,该常数的无理性尚未可知。此时最优δ值不再沿x=y轨迹取得。在补充材料附录 S6.A 节中,我们提出了两种基于优化的方法来检测最优δ轨迹,图中以彩色虚线轨迹对其进行了标注。尽管该守恒矩阵场不存在满足δ>0的轨迹,但上述方法可在其他常数对应的矩阵场中得到δ>0的结果(详见补充材料附录 S9 节)。
(C) 对应34的矩阵场所提取的δ值。其最优轨迹为x=y,可得到满足δ>0的结果,进而证明该常数的无理性。
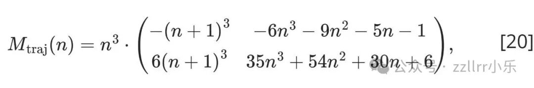
为找到轨迹 x=y 的闭式表达式,我们定义Mₜᵣₐⱼ(n)=Mx(n,n)⋅Mʏ(n+1,n),经次数平衡后的转移矩阵为:

当n→∞时,该矩阵的特征值为e±=17±122。直接数值测试表明log s≈6.5,因此 δ≈0.08,与阿佩里证明 ζ(3) 无理性所用连分数的无理性测度一致。相关研究证明了如何利用该守恒矩阵场证明 ζ(3) 的无理性,补充材料第六部分证明了该矩阵与阿佩里连分数的等价性。
因此,守恒矩阵场是阿佩里连分数及其无理性证明背后的代数结构。这一发现进一步激励学界为黎曼 ζ 函数的其他取值和其他数学常数,寻找类似的守恒矩阵场。例如,将该方法应用于 ζ(2) 的守恒矩阵场,也能为 ζ(2) 的无理性提供证明,且得到 δ≈0.09。将该方法推广到 ζ(2) 和 ζ(3) 之外,学界仍需探索:其他 ζ(n) 是否存在类似的矩阵场?这些矩阵场是否能为其无理性证明提供帮助?补充材料第七部分为更高阶的 ζ 值提供了类似方法,得到了具有非平凡、非正无理性测度的序列。
2.6 ζ(5) 的研究及无理性证明的探索
为 ζ(5) 构造守恒矩阵场具有重要的研究价值,因为其无理性是数论领域长期悬而未决的难题。尽管我们尚未找到这样的矩阵场,但本节展示了若干 ζ(5) 的公式,这些公式可为其守恒矩阵场的构造奠定基础。表 2 中的部分公式结合了黎曼 ζ 函数的多个取值,表明它们可能属于不同的守恒矩阵场,或同一矩阵场的不同有理平移。表中三个发现的公式无法通过 PSLQ 算法与任何 ζ 值组合匹配,因此仅展示其数值解。
表 2 DFR 算法发现的、与 ζ(5) 相关的 5 次多项式连分数结果
| | | |
|---|---|---|
| 6(n³+(n+1)³) | 2/(2ζ(5)+6ζ(3)-9) | |
| 2/(2ζ(5)-2ζ(3)+1) | ||
| n⁵+(n+1)⁵+16(n³+(n+1)³)−4(2n+1) | 64/(64ζ(5)+176ζ(3)-273) | |
| 8(n⁵+(n+1)⁵))+9(2n+1) | | |
| +(n+1)³)+7(2n+1) | | |
| (n+1)⁵)+20(n³+(n+1)³)−5(2n+1) | |
DFR 算法发现了包含不同 ζ 函数值的无穷公式族,尽管我们尚未识别出能推广这些连分数的矩阵场,但提出了一种利用这些公式提取有意义无理性测度的方法,并以 ζ(5) 为例进行了验证。我们通过组合多个连分数,构造出收敛于 ζ(5) 的新序列:利用公式族极限的闭式表达式ζ^(s,R),确定线性组合的系数cᵢ,使得:
ζ(5)=c₂⋅ζ^(s=2,R₂)+c₃⋅ζ^(s=3,R₃)+c₄⋅ζ^(s=4,R₄)+c₅⋅ζ^(s=5,R₅)
【21】
将每个ζ^(s,R)替换为其连分数的渐近分数序列,即可得到 ζ(5) 的有理逼近序列。改变Ri的取值,可生成无穷多列 ζ(5) 的逼近序列,其结构与图 4 类似。对不同Ri取值下的收敛速度分析,得到了 ζ(5) 的非平凡无理性测度,该方法有望将 ζ(5) 的无理性测度提升至现有记录之上。
3 讨论
分布式算法的引入,大幅增加了拉马努金机器项目的公式候选数量,也带来了新的算法挑战:需要自动化方法为每个公式候选匹配对应的常数,还需要方法将公式推广为参数族和守恒矩阵场。下文将详细阐述这些挑战。
3.1 连分数与数学常数间关联的发现算法
DFR 算法可识别出具有潜力的连分数候选,但无法确定其极限。为找到连分数的闭式公式,我们利用整数关系算法 PSLQ,将候选常数与发现的连分数数值解进行匹配。
PSLQ 算法接收一个实向量zᵢ,输出满足∑cᵢzᵢ=0(误差在预设范围内)的整数cᵢ。在本研究的 PSLQ 应用中,对于数值解为 v 的连分数和候选常数 η,输入向量为 (1,η,-v,-vη)。若 PSLQ 算法输出整数c₀,c₁,c₂,c₃,则有(c₀+c₁η)/(c₂+c₃η)=v成立。本研究的大部分结果均基于 PSLQ 算法的这一应用,得到了如上述 ζ(2) 形式的猜想公式。
PSLQ 算法的输入向量还可包含多个常数或连分数,从而将研究范围拓展到更复杂的公式。将 PSLQ 算法应用于这类向量,得到了本研究最具创新性的结果。我们猜想,改进后的 PSLQ 算法有望为本次研究发现的所有连分数提供闭式公式。
3.2 结果验证
算法发现的猜想均经过数值测试,除非已被证明,否则可能存在假阳性。为降低假阳性概率,我们对连分数进行更高深度的计算,实现了超过 100 位精度的测试。但部分公式的收敛速度较慢,难以达到该精度。
为提高慢收敛公式的可信度,我们借鉴实验物理学的方法 —— 通过识别多个可能存在误差的观测结果中的模式,支撑一个高可信度的模型。在本研究中,我们通过将慢收敛的连分数推广为参数族,弥补其精度不足的问题。尽管每个公式的验证精度有限,但公式族的形成能为其成员的有效性提供支撑。例如,ζ(3) 公式族的前几个成员仅通过了不足 50 位精度的验证,但该族中收敛速度更快的成员通过了更高精度的验证,为整个公式族提供了数值支撑。与物理学类似 —— 候选模型能对未测试参数的实验结果进行预测,我们也通过代入新参数并进行数值验证,对候选参数公式族进行了测试。
最后,我们将数学表示的 “简洁性” 作为结果验证的一个依据:PSLQ 算法得到的更简洁公式被认为更 “优美”,其正确性的概率更高,过拟合的风险更低。PSLQ 算法成功的一个经验法则是:找到的整数的位数,远小于连分数数值解的输入精度。位数越少,表明公式的信息主要来自常数而非整数,证明了表示的简洁性。若增加输入精度后,PSLQ 算法的输出结果保持不变,则该结果的可信度会进一步提升。
3.3 开放问题
本研究的算法方法在发现常数的猜想公式方面取得了巨大成功,海量的发现公式促使我们对同一常数的公式进行聚类,进而发现了公式间的关联,最终引出了守恒矩阵场这一数学结构。该结构不仅生成了无穷多列连分数,为无理性证明提供了方法,还构建了数学常数的层级结构。
本研究的算法辅助研究提出了若干有趣的开放问题,尤其是关于守恒矩阵场性质的问题。核心问题是:每个常数是否对应唯一的守恒矩阵场?目前的研究结果支持这一猜想。若该猜想得到验证,则意味着一个单一的守恒矩阵场可涵盖一个特定常数的所有公式,而定义该矩阵场的最大维度(即矩阵的数量)可能成为常数的一个重要特征。
将守恒矩阵场的概念推广到 2×2 以外的矩阵,可能会发现新的数学常数。任意次数的多项式是否均存在对应的守恒矩阵场,仍是一个开放问题,补充材料第八部分给出了次数最高为 3 的示例。
守恒矩阵场通过复杂度构建的常数层级结构,为识别同层级常数的共同性质提供了方法,有望揭示常数的核心特征。
3.4 研究展望
学界已开展多项开创性研究,将大规模计算应用于数学发现,例如寻找大梅森素数、大数分解、计算 π 的高精度值,同时该方法也应用于气候模拟、地外文明搜索等其他科学领域。在这些研究中,定制化算法已成为科学发现的常规工具。尽管如此,算法辅助研究策略仍处于起步阶段,随着科学人工智能领域的不断发展,基于更复杂算法的大规模计算研究正日益增多。
本研究展示了数论领域大规模实验探索和发现的全过程,最终得到了一个统一的数学结构。传统上,这类发现往往源于数学家的直觉,而我们预见,未来的数学推广过程将实现算法辅助 —— 基于特征提取、模式识别等技术,对大规模实验生成的数据集进行分析。我们期望算法能生成高质量的猜想,自动为研究者提出推广方向,再由研究者进行验证和最终证明。
阶乘约简启发式为自动化推广提供了一个典型案例:这一启发式方法是本研究众多结果的核心,源于研究者对实验结果中涌现模式的人工观测。未来的研究可探索自动化识别实验结果中的异常或意外规律,例如本研究中发现的、在常数公式中普遍存在的阶乘约简特性。
展望未来,实验数学中的算法方法将为研究长期悬而未决的数学难题提供更强大的工具。在未来几年,更先进的算法将被定制用于生成复杂度更高的猜想,为数学各领域的发展提供新线索,加速解决诸如数学基本常数的结构和性质等深刻问题。
数据、材料与软件可用性
本文描述的算法在拉马努金机器项目的 GitHub 仓库公开,拉马努金机器项目的所有结果均可在其官方网站查询,且会定期更新。
致谢
本研究得到施密特科学有限责任公司的资助。感谢伯克利开放式网络计算平台(BOINC)社区的志愿者,他们的贡献使本研究的发现成为可能。
原文参考资料

参考资料
https://www.pnas.org/doi/full/10.1073/pnas.2321440121
https://mathworld.wolfram.com/FactorialReduction.html
https://arxiv.org/abs/2502.17533
https://neurips.cc/virtual/2025/loc/san-diego/poster/117099
https://github.com/RamanujanMachine/euler2ai
https://www.scientificamerican.com/article/mathematicians-find-one-pi-formula-to-rule-them-all/
本文为澎湃号作者或机构在澎湃新闻上传并发布,仅代表该作者或机构观点,不代表澎湃新闻的观点或立场,澎湃新闻仅提供信息发布平台。申请澎湃号请用电脑访问http://renzheng.thepaper.cn。





- 报料热线: 021-962866
- 报料邮箱: news@thepaper.cn
互联网新闻信息服务许可证:31120170006
增值电信业务经营许可证:沪B2-2017116
© 2014-2026 上海东方报业有限公司




