- +1
这个神奇的肌肉,让你坐着也在消耗血糖
大家好,我是脑叔,一个爱聊脑的家伙。
你每天坐几个小时?如果答案是"7-8小时起步",那么恭喜你,你已经是名副其实的"久坐族"!
众所周知,久坐的代价可不只是腰酸背痛。餐后血糖飙升、血脂异常、代谢率下降——这些慢性问题正悄悄找上门。但问题来了:很多时候我们不得不坐,有没有一种方法,能让我们坐着也能消耗血糖呢?
传统观念告诉我们,要消耗糖和脂肪,得动起来、得喘气、得流汗。然而,休斯顿大学的研究团队发现,我们小腿深处藏着一块"耐力冠军"——比目鱼肌(soleus)。这块仅占体重1%的肌肉,却能在你坐着时持续高功率工作数小时,而且几乎不消耗自己的能量储备。通过做一种叫"比目鱼肌俯卧撑"(Soleus Push-Up, SPU)的简单动作,你可以在不站起来、不喘气的情况下,把餐后血糖削掉一半,把胰岛素需求降低六成,甚至改善血脂代谢!

图1:比目鱼肌俯卧撑(SPU)动作示范与肌肉解剖位置。
这究竟是怎么做到的?
比目鱼肌:小腿里的"代谢引擎"
比目鱼肌位于小腿后侧,紧贴小腿骨,藏在腓肠肌(俗称"小腿肚")的深层。它由慢肌纤维(slow-twitch fibers)主导,纤维密度高、线粒体丰富、血供充沛——这意味着它天生擅长直接利用血液中的葡萄糖和脂肪酸供能,而不是像快肌那样依赖有限的肌糖原储备。这也是它能"干活不累"的生物学基础。
研究团队招募了不同年龄(22–82岁)、不同体重指数、不同运动习惯的志愿者。这些人的日常平均坐姿时间高达10.7小时/天,很多人几乎没有规律运动习惯。
坐着也能做的"比目鱼肌俯卧撑"
实验设计了两种强度的SPU训练。具体怎么做:
比目鱼肌俯卧撑(SPU)步骤:
坐在椅子上,双脚平放地面,与肩同宽。保持背部挺直,脚趾和脚掌前部稳稳贴住地面。
脚跟离地,用大约1-2秒的时间匀速向上抬起,直到感觉小腿后方有轻微拉伸感。关键是整个过程中脚趾要始终固定在地面上,不要翘起。
同样用1-2秒的时间,让脚跟缓慢、有控制地落回地面。
以稳定节奏重复这个循环。
在实验中,第一组10名志愿者连续做了270分钟(4.5小时)的SPU,期间监测全身耗氧量和肌肉糖原变化;第二组15名志愿者在喝下75克葡萄糖后的3小时内,分别进行两种强度的SPU,并与静坐状态对比,全程监测血糖、胰岛素和血脂变化。
4.5小时不累,血糖直降52%
当参与者进行SPU时,一系列惊人的生理变化发生了:
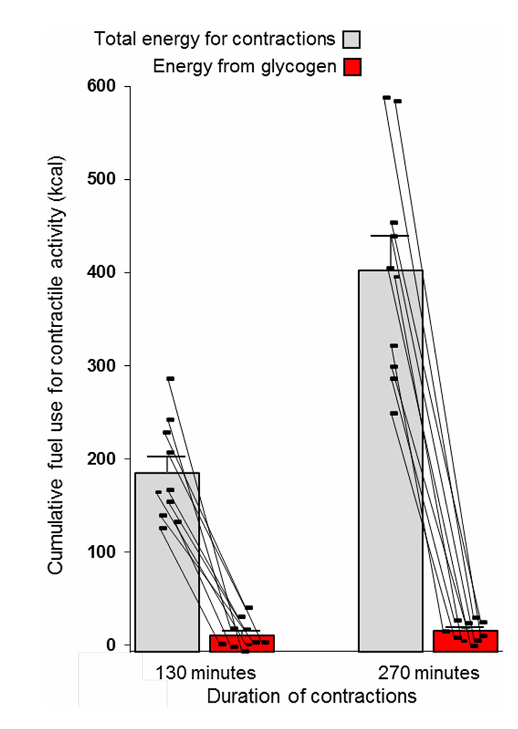
几乎不累的耐力:在长达4.5小时的持续收缩中,没有一个人感到明显疲劳或酸痛,更没有人中途放弃。肌肉活检显示,比目鱼肌的糖原仅减少了22 mmol/kg,这部分能量只占整个活动期总能耗的4%!换句话说,这块小肌肉几乎不消耗自己的肌糖原,而是直接从血液中"调取"葡萄糖和脂肪酸来"发电"。

图2:SPU收缩期间比目鱼肌糖原消耗极低,支撑长时间耐力
惊人的局部代谢率:虽然全身能量消耗增加不多(约1.3–2.0 METs,相当于静坐的1.3-2倍),但比目鱼肌的局部代谢率高得惊人!通过MRI测量,研究者计算出SPU过程中比目鱼肌的局部耗氧量达到了237 mL/min/kg肌肉。作为对比,正常走路时整条下肢肌肉的平均耗氧量仅为30 mL/min/kg——这意味着,仅占体重1%的比目鱼肌,在坐着做SPU时的代谢强度,竟然是走路时整条腿肌肉平均水平的近8倍!
血糖控制效果显著:在口服75克葡萄糖后的3小时内,与静坐对照组相比,进行较高强度SPU的志愿者血糖浓度平均降低了50 mg/dL,降幅高达52%。更关键的是,胰岛素的曲线下面积(iAUC)减少了60%,同时C肽水平也显著下降。这说明, SPU让身体对胰岛素的需求大幅降低,这对保护胰岛功能、预防2型糖尿病具有重要意义。
血脂同样受益:在4.5小时的SPU过程中,研究者检测到血液中极低密度脂蛋白甘油三酯(VLDL-TG)显著下降。这表明,活跃的比目鱼肌能够主动"抓取"血液中的甘油三酯作为燃料,从而帮助改善餐后高脂血症。

图3:比目鱼肌局部代谢强度达走路时的近8倍
全身燃糖的"主角":在安静状态下,全身肌肉仅贡献约15%的餐后葡萄糖氧化。然而当SPU启动后,情况改变:3小时内全身碳水化合物氧化量从24克增加到71克(高强度组),其中约80%的额外碳水化合物氧化来自比目鱼肌!

图4:SPU显著降低餐后血糖与胰岛素需求
为什么SPU这么有效?
传统运动强调"动用大肌肉群、提高全身代谢率",但往往伴随着大量糖原消耗和交感神经兴奋,反而可能引起反跳性高血糖(运动结束后血糖反而更高)。而SPU走的是另一条路——只调动1%的肌肉,但让其局部代谢强度极高、持续时间极长,同时几乎不刺激肾上腺素和皮质醇,因此没有反弹效应。
正如研究者Marc Hamilton指出的,这种方法提供了一种"高质量而非大数量"的肌肉激活方式:不需要大汗淋漓,不需要专门时间,坐着工作、看电视或刷手机时就能完成。
而这项发表在iScience上的研究为我们提供了一种的代谢干预手段:坐着时抬抬脚后跟,让比目鱼肌"上班",就能在几乎不费力的情况下,显著改善餐后血糖、血脂代谢,并减轻胰岛负担。
参考文献:Hamilton MT, Hamilton DG, Zderic TW. A potent physiological method to magnify and sustain soleus oxidative metabolism improves glucose and lipid regulation. iScience. 2022;25(9):104869.
原标题:《这个神奇的肌肉,让你坐着也在消耗血糖》
本文为澎湃号作者或机构在澎湃新闻上传并发布,仅代表该作者或机构观点,不代表澎湃新闻的观点或立场,澎湃新闻仅提供信息发布平台。申请澎湃号请用电脑访问http://renzheng.thepaper.cn。





- 报料热线: 021-962866
- 报料邮箱: news@thepaper.cn
互联网新闻信息服务许可证:31120170006
增值电信业务经营许可证:沪B2-2017116
© 2014-2026 上海东方报业有限公司




